死磕去中心银行usual

300 阅读22分钟

重点

死磕系列文章主要分析技术,无任何投资建议

简介

Usual 是一个安全且去中心化的法定稳定币发行者,通过 $USUAL 代币重新分配所有权和治理权。

Usual 的设计理念是将权力和所有权重新分配给用户和第三方,类似于一个场景: Tether 的 TVL提供者拥有公司及其相关收入。可通过Usual 治理代币来参与决定:

  • 风险政策: 决定稳定币运营中可以接受的风险程度。
  • 抵押品性质: 决定使用哪些类型的资产作为稳定币的抵押品。
  • 流动性激励策略: 决定如何激励用户提供流动性,以维持稳定币的市场深度。

usual 的创新

通过抵押模型控制破产风险

传统法币支持的稳定币由于其抵押资产存放在商业银行,而商业银行采用部分准备金制度,因此存在潜在的风险。Usual 稳定币则通过直接投资短期债券并辅以风险控制和保险基金,降低了这些风险。

法币支持的稳定币风险,可能存在的风险如下:

  • 部分准备金制度: 商业银行并非将所有存款都作为准备金保留,而是只保留一部分,其余部分用于贷款和其他投资活动。这意味着银行的资产负债表存在杠杆,一旦出现大规模的挤兑或其他金融危机,银行由于抵押不足,可能无法偿还所有存款,从而导致破产。
  • 系统性风险:银行的倒闭不仅会影响储户,还会通过金融体系蔓延到其他领域,例如 DeFi。硅谷银行(SVB)的倒闭就是一个典型的例子,它表明了银行风险可能对整个金融系统造成冲击。
  • 稳定币的安全性受损:如果银行出现问题,稳定币的价值就无法维持与法币的挂钩

Usual 稳定币的优势:

  • Usual 稳定币的抵押资产不存放在商业银行,而是直接投资于短期债券。这避免了部分准备金制度带来的风险。短期债券通常被认为是相对安全的资产,因为它们的到期日较短,受利率波动的影响较小
  • Usual 强调其稳定币是 100% 由安全且短期的资产作为抵押的,这增强了其稳定性和安全性。

利润共享

Usual 的目标是让用户成为协议基础设施、资金和治理的所有者。通过其治理代币重新分配 100% 的价值和控制权,Usual 确保其社区掌握主导权。

Usual 的目标是让用户成为协议的真正所有者,包括:

  • 协议基础设施: 用户拥有对协议底层技术和运行方式的控制权。
  • 资金: 用户拥有对协议资金的控制权。
  • 治理: 用户拥有参与协议治理的权利,例如通过投票决定协议的未来发展方向。

公平价值分配:通常寻求创建一个更加公平的金融体系,其中产生的价值在所有用户之间更加公平地分享,而不是集中在少数股东之间。

如果是将代币收益直接分给了代币持有者,那么会有以下问题:

  • 短期激励,投机者会等收益分配完毕,抛售代币,对币价造成下行压力。
  • 缺乏一些长期资金进行市场推广,技术开发。
  • 本质还是越有钱的越发财。
  • 最主要的会弱化代币价值,投机行为增加,容易波动。

对于usual 的金库模式来说:

  • 长期激励: 抵押的债券产生的利息归于金库,代币持有者无法短期获取收益。
  • 金库的资金实际为代币提供了实际的资产支撑,增强其内在价值。这部分为实际现金流。
  • 会产生一些未来现金流的预期:比如说TVL和协议收入的潜在增长

重新改变所有权

Usual 的核心机制是将稳定币的抵押品(例如短期债券)产生的收益(例如利息)集中到一个协议金库中。与其他协议直接将收益分配给代币持有者不同,Usual 将这些收益保留在金库中,这部分收益就构成了 USUAL代币的内在价值支撑。USUAL 代币的内在价值支撑。USUAL 代币持有者因此拥有了对协议本身、金库资金以及未来收入的所有权和决策权。这使得代币持有者的利益与协议的长期发展紧密结合,从而促进可持续增长。

核心产品

Usual主要围绕以下三个核心产品:

  • 常见的稳定币:专为支付、交易对手和抵押品用途而设计。
  • 常见的 LST:一种能产生收益的产品。
  • 常规治理代币:赋予持有者协议内的决策权。

image-20250105215021054

  • 用户流程: USDC 与 USD0 进行兑换,并可以通过质押赚取 USD0++,最终让用户获得该协议代币 $USUAL 的所有权,用于治理。
  • **基础设施层:**多抵押聚合器收集流动性并从用户的 USDC 中投资于链上国库券,其中 100% 的收入将进入协议的金库,由 $USUAL 持有者管理。
  • 分配模型: USUAL以通货紧缩的方式发行,其中90%的协议收入用于支持运营、质押者和流动性提供者,而10%分配给USUAL 以通货紧缩的方式发行,其中 90% 的协议收入用于支持运营、质押者和流动性提供者,而 10% 分配给 USUAL* 持有者。

USD0

USD0 是 Usual Protocol 推出的首个 Liquid Deposit Token (LDT)。USD0 以 1:1 的比例由现实世界资产 (RWA) 支持,期限极短,确保稳定性和安全性。

假设 Usual Protocol 使用短期美国国库券作为 RWA 支持 USD0。这些国库券的到期日可能只有几天或几周,这意味着如果需要,Usual 可以迅速出售这些国库券来支持 USD0 的赎回,从而维持其与美元的 1:1 挂钩。

USD0 是全球首个将多种美国国库券代币聚合起来的 RWA 稳定币。它提供了一种安全且远离银行破产风险的解决方案,因为它不依赖于传统银行系统。USD0 完全可转让且无需许可,这意味着任何人都可以自由地使用和交易 USD0,并且可以方便地集成到各种 DeFi 协议中。

  • 例子: 假设有多个机构发行了代表不同期限美国国库券的代币,Usual 可以将这些代币聚合起来,作为 USD0 的抵押品。用户可以通过存入其他稳定币(如 USDC)来铸造 USD0,或者直接存入这些国库券代币。

USD0:常规协议的稳定资产

USD0 是 Usual 协议中与美元挂钩的稳定币,旨在作为协议内的支付方式、交易对手和抵押代币。它提供了比 USDC 和 USDT 更好的替代方案,同时符合美国和欧盟的法规。这种机构级稳定币可供散户投资者和 DeFi 用户使用。

USD0: 安全性高

  • 使用短期债券作为USD0发型的主要抵押品,实际与M0 密切相关 ,同时短期债券的价值受到利率变动的影响较小。
  • 确保 1:1 的面值覆盖率。在去中心化发行中,将风险政策的验证交给治理代币持有者。

目前Usual 通过隔夜回购来控制风险,隔夜回购是指将证券(例如美国国库券)出售给交易对手,并约定在第二天以略高的价格购回的交易。这是一种非常短期的借贷方式,风险较低。如果交易对手违约,Usual 仍然拥有作为抵押品的国库券。主要赚的是短期收益,同时还提高了资金利用效率。暗含了复利行为。

USD0:利用现实世界资产(RWA)增强DeFi

  • 聚合不同机构的代币化RWA,将其转换为无需许可、链上可验证可组合的稳定币

  • 连接了传统金融和Defi, 使传统用户可以接触到Defi,Defi用户可以接触到RWA

  • 通过抵押传统金融的安全资产,弥补RWA和DeFi的流动性缺口,增大了互操作性。

USDO:价值社会化

  • Usual不将利润私有化,而是将产生的价值社会化,将权力和利益重新分配给社区。Usual 旨在建立一个用户可以从他们使用和信任的发行人的成功中受益的模式。Usual 将稳定币抵押品产生的收益分配给 $USUAL 代币持有者,而不是由协议运营方独占

与 Hashnote 的初始抵押合作

Usual 的第一个初始抵押品合作伙伴是 Hashnote。Usual 的长期目标是实现 USD0 的完全去中心化,并实现资产多元化,以进一步降低风险。未来的抵押品选择将由 $USUAL 代币持有者通过治理投票决定。

首先了解下USYC,USYC 是 Hashnote International Short Duration Yield Fund Ltd.(“SDYF”)的链上代表。SDYF 主要投资于逆回购和美国政府支持的证券。** SDYF 基金会将资金投资于隔夜逆回购协议和美国国库券等短期、低风险的资产。USYC 代币则代表了该基金在链上的份额。USYC 的铸造/兑换时间为 T+0 至 T+1,这意味着用户可以在当天或第二天完成铸造或兑换操作,流动性较好。USYC 的铸造/兑换时间为 T+0 至 T+1,这意味着用户可以在当天或第二天完成铸造或兑换操作,流动性较好。

实际上也就是Usual 找了RWA发行商,买了他代币,比如USYC,然后作为抵押品存放在协议金库中,如果说有风险,本质还是在USYC上。

如何铸造USDO

image-20241223132750945

Mint Usual USD Stablecoin (USDO): 铸造 Usual 美元稳定币 (USD0)。

Ticker: USDO: 代币代码是 USDO。

Issuer: Usual DAO: 发行方是 Usual 去中心化自治组织 (DAO)。

Token: ERC-20: 代币标准是 ERC-20

Network/chain: Ethereum mainnet: 以太坊主网。

Collateralization ratio: 100% backed by short duration US Treasuries and Reverse Repo on US Treasuries provided by Hashnote's USYC: 抵押率是 100%,由 Hashnote 的 USYC 提供的短期美国国债和基于美国国债的回购协议支持。这是 USD0 价值稳定的关键。

Mint: Instant 1:1 with USYC or with USDC depending of USYC in the Mint Engine: 可以使用 USYC 或 USDC 以 1:1 的比例即时铸造 USD0,具体取决于铸造引擎中是否有足够的 USYC。

Redemption: Instant in USYC: 可以即时使用 USYC 赎回 USD0。

Minting fee: 0%: 铸造费用为 0%。

**Minting rewards if CP: 10 bips in USUALperUSDO如果通过抵押品提供者(CP)铸造,则每铸造1USD0可获得10个基点(0.1USUAL per USDO:** 如果通过抵押品提供者 (CP) 铸造,则每铸造 1 个 USD0 可获得 10 个基点(0.1%)的 USUAL 代币奖励。这个机制旨在激励用户提供抵押品。

Redemption fee: 10 bps during Pre-Launch Phase: 在预发布阶段,赎回费用为 10 个基点(0.1%)。

Current collateral duration 0.003 year: 当前抵押品期限为 0.003 年,这是一个非常短的期限,强调了抵押品的短期性和流动性。

【直接铸造】

  • USYC: 用户直接使用 USYC进行铸造。
  • 1 USYC → 1 USDO: 1 个 USYC 可以铸造 1 个 USD0。

这个流程表示用户直接把 USYC 存入 Usual 协议,协议按照 1:1 的比例铸造出 USD0 给用户。

【间接铸造】

  • $USDC: 用户使用 USDC 进行铸造。
  • 1 USDC → 1 USDO: 1 个 USDC 可以铸造 1 个 USD0。
  • Provider: 抵押品提供者,这里指的是提供 USYC 作为抵押品的一方。

这个流程相对复杂一些,它表示用户存入 USDC 后,协议通过抵押品提供者提供的 USYC 作为抵押(这里面涉及到和provider的交互),间接铸造出 USD0 给用户。即使用户没有 USYC,也可以通过 USDC 参与 USD0 的铸造。这个机制实际也提高 USD0 的易用性和流动性,吸引更多用户参与。

如何出售USD0

image-20241224135828936

【主要出售方式】

  • 1 USDO → 1$ USYC: 1 个 USD0 可以赎回 1 个价值的 USYC。这是最直接的出售方式。

这个流程表示用户将 USD0 交还给 Usual 协议,协议将等值的 USYC返还给用户。这是协议设计的核心赎回机制,确保 USD0 与其抵押品之间的 1:1 锚定关系。

【次要出售方式】

  • market price(市场价格): 表示通过市场价格进行兑换。
  • Curve: 指 Curve Finance,一个去中心化交易平台,尤其擅长稳定币之间的兑换。(这项目创始人是不是之前借助AAVE出货的)
  • $USDC: 用户最终收到的是 USDC。

这个流程表示用户可以通过 Curve 等去中心化交易平台,将 USD0 兑换成 USDC。这种方式不直接与 Usual 协议交互,而是利用市场上的流动性进行兑换。这个看用户本身了,也没必要就是用Curve ,看自己想兑换什么。

如何提供RWA抵押品

【一级市场准入】

USD0 是一种 100% 由真实世界资产 (RWA) 支持的稳定币。希望铸造 USD0 的用户必须将 RWA 直接存入协议。

假设 Usual Protocol 接受美国国库券作为 RWA。如果一个机构拥有价值 100 万美元的美国国库券,理论上它可以将这些国库券存入协议,并铸造出 100 万 USD0。直接存入 RWA 的方式对于机构用户可能可行,但对于普通 DeFi 用户来说存在一些不便:

  • 获取 RWA 的难度: 普通用户可能难以直接购买和持有美国国库券等 RWA。
  • 操作复杂性: 将 RWA 转移到链上并存入协议的过程可能比较复杂。

为了解决这些问题,Usual Protocol 引入了“抵押品提供者 (CP)”机制。该机制允许特定的实体(例如 Hashnote)预先向协议提供大量的 RWA 作为抵押品,从而方便其他 DeFi 用户更便捷地铸造 USD0。

抵押品提供者的作用:

  • 提供 RWA 储备: 抵押品提供者充当了一个“RWA 储备库”,预先向协议提供大量 RWA。
  • 简化铸造流程: 其他 DeFi 用户可以通过更便捷的方式(例如存入 USDC 等其他加密货币)来铸造 USD0,而无需自己去处理 RWA。
  • 确保无滑点铸造: 由于有充足的 RWA 储备,用户可以以 1:1 的比例无滑点地铸造 USD0。

【抵押品提供机制】

  • 提供抵押品涉及以下步骤:
    • 存入 RWA:抵押品提供者将 RWA 存入铸币引擎,以供将来铸币。 抵押品提供者首先需要将 RWA 存入 Usual Protocol 的铸币引擎。这些 RWA 将作为 USD0 的储备金。
      • 例子: Hashnote 将其价值 1 亿美元的美国国库券存入 Usual Protocol 的铸币引擎。
    • 铸造触发器:当用户存入 USDC 来铸造 USD0 时,该交易会触发存入的 RWA 的使用。 当其他用户想要铸造 USD0 时,他们不需要直接存入 RWA,而是可以存入其他稳定币(例如 USDC)。用户存入 USDC 的行为会触发协议使用之前抵押品提供者存入的 RWA 进行结算。
      • 例子: 一个 DeFi 用户存入 100 万 USDC 到 Usual Protocol,想要铸造 USD0。协议会自动使用 Hashnote 之前存入的美国国库券来支持这次铸造。
    • 结算和奖励:结算后,抵押品提供者将获得与其提供的 RWA 等值的 USDC(1:1),以及 USUAL 代币形式的奖励。 在完成 USD0 的铸造后,协议会将与使用的 RWA 等值的 USDC 返还给抵押品提供者,并以 $USUAL 代币的形式给予奖励。
      • 例子: 由于上述用户存入了 100 万 USDC 并铸造了 100 万 USD0,协议会将 100 万 USDC 返还给 Hashnote,并根据一定的规则给予 Hashnote 一定数量的 $USUAL 代币作为奖励。
  • 抵押品提供者可以选择重新购买 USYC 并将其重新存入作为抵押品,从而维持周期并有助于协议的流动性和稳定性。 抵押品提供者可以使用收到的 USDC 重新购买 USYC(代表美国国库券的代币),然后再次将其存入协议作为抵押品,形成一个循环,从而持续为协议提供流动性和稳定性。

稍微举个例子说明下:

CP (抵押品提供者) 首先存入 RWA (以 USYC 的形式体现): CP 将价值 100 万美元的 RWA 存入 Usual 协议的铸币引擎。这些 RWA 以 USYC 的形式存在。所以,是存入 100 万美元 等值 的 USYC,而不是换取。这是第一步,也是前提。

用户存入 USDC 触发铸造:其他用户 存入 USDC 并想要铸造 USD0 时,这个行为会 触发 协议使用 CP 之前存入的 USYC 作为抵押品。

协议结算: 协议使用 CP 提供的 USYC 作为抵押,铸造 USD0 给用户。同时,协议将 等值 的 USDC 返还给 CP,并给予 CP 一定数量的 $USUAL 代币作为奖励。

CP 可选择循环操作: CP 收到返还的 USDC 后,可以选择在市场上 购买 USYC,然后再次将其存入 Usual 协议作为抵押品,从而形成一个循环,并继续赚取 $USUAL 奖励。

也就是说实际CP是可以通过不断的操作USYC,来赚取USUAL代币奖励。

反挤兑机制

1. 背景:抵押品损失与挤兑风险

在加密货币抵押的稳定币系统中,稳定币的价值由抵押的加密资产支撑。如果抵押资产的价格大幅下跌,会导致稳定币的抵押率下降,甚至出现资不抵债的情况。这可能会引发持有者的恐慌性抛售(即挤兑),导致稳定币价格进一步下跌,形成恶性循环。

2. 反挤兑机制(CBR)的核心思想

CBR 的核心思想是建立一个“保险基金”,通过调整稳定币(这里称为 LDT,流动存款代币)的赎回价值来应对抵押品损失。简单来说,就是当抵押品价值下跌时,不是直接让所有持有者都遭受损失,而是先用保险基金来承担一部分损失,并相应调整每个 LDT 的赎回价值,以尽可能地保护持有者的利益。

3. 保险基金的运作方式

保险基金通过“销毁 LDT”来提高每个剩余 LDT 的可回收赎回价值。销毁 LDT 意味着减少 LDT 的总供应量。在抵押品总价值不变的情况下,减少供应量会提高每个 LDT 所代表的抵押品价值。

4. 赎回价值的计算公式

公式 SLDT = min (∑n i=1 PCollaterali × CCollaterali / (SupplyLDT − InsuranceLDT), FLDT) 是这段内容的核心。我们来逐个解释:

  • SLDT:LDT 的可回收赎回价值(Settlement value of LDT)。这是机制要计算和调整的目标。
  • ∑n i=1 PCollaterali × CCollaterali:所有抵押品的总价值。其中,PCollaterali 是第 i 种抵押品的价格,CCollaterali 是第 i 种抵押品的数量。这个求和公式计算了所有抵押品的总价值。
  • SupplyLDT:LDT 的总供应量。
  • InsuranceLDT:DAO(去中心化自治组织)为保险基金预留的 LDT 数量。这部分 LDT 用于在必要时进行销毁。
  • FLDT:LDT 的预期公平价格(Fair price of LDT)。这是一个参考价格,通常是 1(例如 1 美元)。

公式的含义是:LDT 的可回收赎回价值 SLDT 取以下两个值中的较小值:

  • 抵押品总价值除以扣除保险基金后的 LDT 供应量。这个值反映了每个剩余 LDT 实际对应的抵押品价值。
  • LDT 的预期公平价格 FLDT。这个值起到了一个上限的作用,防止赎回价值过高。

5. 机制的运作示例

假设:

  • 抵押品总价值为 100 美元。
  • LDT 的总供应量为 100 个。
  • 保险基金中有 10 个 LDT。
  • LDT 的预期公平价格为 1 美元。

根据公式,SLDT = min (100 / (100 - 10), 1) = min (1.11, 1) = 1。此时,每个 LDT 的赎回价值为 1 美元。

现在,假设抵押品价值下跌到 80 美元。

SLDT = min (80 / (100 - 10), 1) = min (0.89, 1) = 0.89。此时,每个 LDT 的赎回价值调整为 0.89 美元。这意味着,即使抵押品价值下跌,持有者仍然可以赎回 0.89 美元的价值,而不是更低的价值。

此公式,如果价格下跌的时候,只有减少市场的流通量,才能增大赎回价值,那么就是需要销毁别人手中的LDT,这显然不可能,那么他也更不可能释放自己的10个非流通的到市场上,这样会更贬值。 所以这里是存疑的(他没办法销毁)。

这里面除非他在市场上有很多的LDT,然后可以销毁掉,才能阻挡价格的疯狂下跌。所以他的预留部分我不是很理解,有什么用,至少对下跌过程中是没有用的,上涨倒是能卖点,然后后面可以下跌时候注销。

6. 暂停铸币引擎

如果可回收赎回价值低于 1,DAO 有权暂停铸币引擎。这是为了防止新的铸币者在铸造时就面临亏损。在这种情况下,新的 LDT 将在二级市场上进行交易,而不是通过抵押新的资产来铸造。

USD0 流动性质押代币

USD0++

  • USD0++ 是 USD0 的质押版本,期限为 4 年,以 USD0 作为本金,充当 LST

    USD0++ 是将 USD0 锁定 4 年后获得的代币,本质上是一种 4 年期的债券凭证,其本金是锁定的 USD0。它是一种流动性质押代币,意味着即使 USD0 被锁定,用户仍然可以通过 USD0++ 在二级市场上进行交易。

  • 收益分配:USD0++ 以每日以 USUAL代币支付的息票形式分配收益。此收益是可变的,取决于二级市场上的USUAL 代币支付的息票形式分配收益。此收益是可变的,取决于二级市场上的 USUAL 代币价格。

    USD0++ 的持有者每天都会收到以 USUAL代币形式支付的收益(类似于债券的息票)。这个收益率是可变的,并且与二级市场上USUAL 代币形式支付的收益(类似于债券的息票)。这个收益率是可变的,并且与二级市场上 USUAL 代币的价格相关。 这部分是不锁定USD0++持有者的收益方式。

解除质押

在提前解除质押功能实施之前,USD0++ 可以随时解除质押。用户将通过销毁其累积的 USUAL 收益来提前解除质押的 USD0。销毁的 USUAL 的一部分将与 USUAL 持有者共享。

用户赎回 USD0++ 时,需要“归还”一定数量的 USUAL 代币,这些 USUAL 代币会被部分销毁,剩余部分分配给 USUAL* 和 USUALx。归还的 USUAL 数量不是固定的,而是根据市场情况动态调整的。

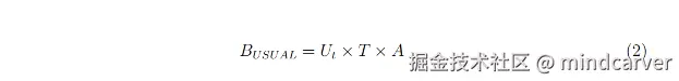
image-20241227145644379

image-20241227145630188

公式及参数解释:

  • BUSUAL: 赎回 USD0++ 需要归还的 USUAL 数量。
  • Ut: 每个 USD0++ 代币当前的 USUAL 奖励。这个奖励是动态变化的,取决于协议的收益等因素。
  • T: 时间成本因子,DAO 设置为 180。这个可以理解为赎回者放弃未来 180 天的 USUAL 奖励的补偿。
  • A: 调整因子,根据每周的赎回情况进行调整,用来控制销毁量。
  • θt: 净赎回量,由用户赎回的量 X 调整而来。
  • θtarget,t: 目标净赎回量,是 DAO 设置的每周赎回的 TVL 百分比。
  • X: 用户赎回的 USD0++ 数量。
  • Redemptionst-i: 过去 7 天内每天的赎回量。
  • Mintst-i: 过去 7 天内每天的铸造量。
  • redemptiontarget: DAO 设置的每周赎回的 TVL 百分比。
  • Supply++t: 当前 USD0++ 的总供应量。

公式分解:

  1. BUSUAL = Ut × T × A: 这是计算需要归还的 USUAL 数量的总公式。它由三个部分组成:
    • Ut × T: 这是基本的 USUAL 归还量,基于当前的奖励和时间成本。
    • A: 调整因子,用来根据实际赎回情况进行调整。
  2. A 的计算:
    • 如果 θt < θtarget,t (实际净赎回量小于目标净赎回量),A = 0。这意味着不需要额外销毁 USUAL。
    • 如果 θt = θtarget,t (实际净赎回量等于目标净赎回量),A = 1。这意味着按照基本量销毁 USUAL。
    • 如果 θt > θtarget,t (实际净赎回量大于目标净赎回量),A = 1。这意味着也按照基本量销毁 USUAL。
  3. θt 的计算:
    • θt = X + max(0, ∑ Redemptionst-i - ∑ Mintst-i): 这个公式计算的是调整后的净赎回量。它考虑了用户本次的赎回量 X,并加上过去 7 天的净赎回量(赎回量减去铸造量)。如果过去 7 天是净铸造,则 max(0, ...) 部分为 0。
  4. θtarget,t 的计算:
    • θtarget,t = redemptiontarget · Supply++t: 这个公式计算的是目标净赎回量,是 DAO 设置的每周赎回的 TVL 百分比乘以当前 USD0++ 的总供应量。

假设:

  • Ut = 0.01 USUAL/USD0++
  • T = 180
  • redemptiontarget = 0.05 (每周目标赎回 5% 的 USD0++)
  • Supply++t = 10000 USD0++
  • 用户赎回 X = 100 USD0++
  • 过去 7 天的赎回量总和为 400 USD0++
  • 过去 7 天的铸造量总和为 200 USD0++

计算步骤:

  1. 计算 θtarget,t: θtarget,t = 0.05 * 10000 = 500 USD0++
  2. 计算 θt: θt = 100 + max(0, 400 - 200) = 100 + 200 = 300 USD0++
  3. 计算 A: 由于 θt (300) < θtarget,t (500), 因此 A = 0。
  4. 计算 BUSUAL: BUSUAL = 0.01 * 180 * 0 = 0 USUAL

在这个例子中,由于实际净赎回量小于目标净赎回量,因此不需要归还 USUAL 进行销毁。

再举一个例子:

其他参数不变,假设过去 7 天的赎回量总和为 600 USD0++。

  1. 计算 θtarget,t: 仍然是 500 USD0++。
  2. 计算 θt: θt = 100 + max(0, 600 - 200) = 100 + 400 = 500 USD0++
  3. 计算 A: 由于 θt (500) = θtarget,t (500), 因此 A = 1。
  4. 计算 BUSUAL: BUSUAL = 0.01 * 180 * 1 = 1.8 USUAL

在这个例子中,由于实际净赎回量等于目标净赎回量,因此需要归还 1.8 USUAL 进行销毁(其中 0.6 USUAL 被销毁,0.6 USUAL 分配给 USUAL*,0.6 USUAL 分配给 USUALx)。

BIG 机制

BIG 机制本质上是一种“保险”或“收益底线”。它确保 USD0++ 持有者在特定条件下,可以获得其底层资产(即 USD0 的抵押品,例如美国国库券)产生的无风险收益。即使 USUAL代币的价格表现不佳,导致以USUAL 代币的价格表现不佳,导致以 USUAL 形式分配的收益部分为 0,BIG 也能保证持有者获得至少相当于无风险收益的回报。

收益机制

【投机策略】

不锁定USD0++ ,每日claim USUAL

【无风险策略】

锁定USD0++至少6个月,每6个月选择USUAL 或者USD0,USD0的话就是不低于约定的无风险收益,比如2%,或者选择累积的USUAL,有可能远大于无风险收益,这就是aplpha收益。实际他的无风险收益主要就是由底层的RWA收益保证的。

平价套利权(PAR)

核心问题:USD0++ 价格可能低于 USD0,缺乏自动套利

  • USD0++ 是通过锁定 USD0 获得的,正常情况下有锁定期。
  • 锁定期意味着用户在到期前无法将 USD0++ 兑换回 USD0。
  • 如果市场对 USD0++ 的需求下降,导致其价格低于 USD0 的价格,传统的套利机制(低买高卖)无法自动发挥作用,因为无法自由买卖 USD0++。

2. PAR 机制:DAO 的干预权力

  • 为了解决上述问题,Usual DAO(去中心化自治组织)被赋予了“平价套利权 (PAR)”。
  • PAR 机制允许 DAO 在 USD0++ 到期前 解锁 底层的 USD0,从而打破锁定期带来的限制。
  • 这是人为的干预机制,目的是在市场失灵(缺乏自动套利)的情况下,通过 DAO 的决策来恢复价格平衡。

3. PAR 机制的具体操作:解锁 USD0 并允许兑换

  • 当 USD0++ 的市场价格严重偏离 USD0 的价格(即“脱钩”)时,DAO 可以启动 PAR 机制。
  • DAO 通过治理投票等方式决定是否启动 PAR 机制。
  • 一旦启动,DAO 授权解锁一部分底层锁定的 USD0。
  • 解锁的 USD0 允许 USD0++ 持有者以接近 1:1 的比例将其兑换回 USD0。
  • 这种操作增加了市场上的 USD0 供给,减少了 USD0++ 的供给,从而推高 USD0++ 的价格,使其回升到接近 1 USD0 的水平。

4. 市场估值部分:BIG 机制的辅助作用

  • USD0++ 的价格由市场自由决定,虽然基于 USD0 并提供 $USUAL 和 BIG 奖励,但由于锁定期,价格可能波动。
  • BIG 机制保证持有者至少可以获得无风险收益,这有助于稳定 USD0++ 的价格。
  • PAR 机制是对 BIG 机制的补充,用于应对极端情况下的价格脱钩。
  • 结合 BIG 机制和 PAR 机制,USD0++ 的预期公允价值应该是接近平价的。

5. 流动性债券的 PAR 和赎回机制:协议直接干预市场

  • Usual 协议拥有在特定情况下解锁流动性债券 (LBT,即 USD0++) 的权力。
  • 如果 USD0++ 的市场价格远低于其公允价值,Usual 可以通过“赎回债券”的方式进行干预。
  • “赎回债券”是指协议使用国库中的资金,以接近平价的价格从市场上购回 USD0++。
  • 这种操作直接减少了市场上的 USD0++ 供应量,并增加了其需求,从而推高其价格。
  • 由于协议以低于公允价值的价格购回 USD0++,因此这笔操作也为国库带来了利润。

PAR 机制是 Usual 协议维持 USD0++ 和 USD0 之间 1:1 锚定关系的重要工具。它赋予 DAO 在市场失灵时进行人为干预的权力,通过解锁 USD0 或直接从市场上赎回 USD0++ 来恢复价格稳定。BIG 机制则从另一个角度提供支撑,保证持有者至少获得无风险收益,共同维护 USD0++ 价格的稳定。最后补充的“赎回债券”机制,更是强调了协议可以直接使用资金干预市场,稳定币价,并为国库盈利

治理代币usual

USUAL代币铸造机制

每日 USUAL 分配量

USUALdist,t = (d / 365) × Mt × Supply++t × Pt

其中:

  • USUALdist,t: 第 t 天分配的 USUAL 代币数量。
  • d: 全球分配率,是一个固定值,设定为 0.25。
  • 365: 一年中的天数。
  • Mt: 第 t 天的铸造率。
  • Supply++t: 第 t 天 USD0++ 的总供应量。
  • Pt: 第 t 天 USD0 在主市场的价格。

公式分解:

  1. (d / 365): 这部分计算的是 每日分配比例。由于 d 是 0.25,这意味着在四年内完成所有 USUAL 的铸造分配(1 / 0.25 = 4)。将 d 除以 365,就得到了每天的分配比例。
  2. Mt: 这是 每日铸造率
  3. Supply++t: 这是 USD0++ 的总供应量。USD0++ 是 Usual 协议中的稳定币,其供应量也会随着市场需求而变化。USD0++ 的供应量越高,意味着协议中锁定的资产可能也越多,因此 USUAL 的分配量也会相应增加。
  4. Pt: 这是 USD0 在主市场的价格。USD0 的价格波动也会影响 USUAL 的分配量。这可能是为了在 USD0 价格下跌时,通过增加 USUAL 的分配来激励用户,或者在 USD0 价格上涨时,适当减少分配,以维持市场的平衡。

供应因子

St = min [ (Supply0++ × P0) / (Supplyt++ × Pt) , 1 ]

其中:

  • St: 第 t 天的供应因子。
  • Supply0++: USD0++ 的初始供应量。这是 USD0++ 刚开始发行时的供应量,是一个固定值。
  • Supplyt++: 第 t 天 USD0++ 的供应量。这是一个动态变化的数值,反映了当前市场上 USD0++ 的总数量。
  • P0: USD0 在初始时的价格。通常稳定币的初始价格目标是 1 美元,所以 P0 通常为 1。
  • Pt: 第 t 天 USD0 在主市场的价格。这是一个动态变化的数值,反映了当前市场上 USD0 的实际价格。

假设:

  • Supply0++ = 1000000 USD0++
  • P0 = 1 美元

现在我们考虑两种情况:

  • 情况一:USD0++ 供应量增加,Supplyt++ = 2000000 USD0++,Pt = 1 美元

    St = min [ (1000000 × 1) / (2000000 × 1) , 1 ] = min [ 0.5 , 1 ] = 0.5

  • 情况二:USD0++ 供应量减少,Supplyt++ = 500000 USD0++,Pt = 1 美元

    St = min [ (1000000 × 1) / (500000 × 1) , 1 ] = min [ 2 , 1 ] = 1

  • 情况三:USD0++ 供应量增加,Supplyt++ = 2000000 USD0++,Pt = 0.8 美元

    St = min [ (1000000 × 1) / (2000000 × 0.8) , 1 ] = min [ 0.625 , 1 ] = 0.625

也就是说当USD0++ 供应量增加,铸造率就会降低。

利率因子

Rt = min [ max [rt, rmin] , P90(πt) ] / r0

其中:

  • Rt: 第 t 天的利率因子。
  • rt: 第 t 天的基础利率。这是指 USD0 抵押品的基础利率,例如美国联邦基金利率(影响 LDT USD0 的基础抵押品利率)。
  • rmin: 由 DAO 设置的利率下限。这是一个固定的最小值,确保即使基础利率非常低,USUAL 也会以一定的速率铸造。
  • P90(πt): 过去 60 天每日利率的 0.9 分位数。这是一个动态变化的上限值,用于平滑利率剧烈波动对 USUAL 分配的影响。
  • πt: 过去 60 天的每日利率集合,定义为 {ri | i = t-1, t-2, t-3, ..., t-60}。
  • r0: 初始利率,用于标准化 Rt。

公式分解和内容解释:

  1. max [rt, rmin]: 这部分计算的是 实际使用的利率

    • 如果 rt 大于或等于 rmin,则使用 rt
    • 如果 rt 小于 rmin,则使用 rmin

    这个 max 函数确保了实际使用的利率 不会低于 rmin,即使市场利率非常低,USUAL 也会以一定的速率铸造。

  2. P90(πt): 这部分计算的是 过去 60 天每日利率的 0.9 分位数

    • 分位数是指将一组数据分成若干等份的数值点。0.9 分位数意味着将过去 60 天的利率数据从小到大排序后,取第 54 个数值(60 * 0.9 = 54)。
    • 使用 0.9 分位数作为上限,可以有效地 平滑利率的剧烈波动。例如,如果某一天利率突然大幅上升,但由于过去 60 天的利率大部分都比较低,所以 0.9 分位数不会立即大幅上升,从而避免了 Rt 的剧烈波动。
  3. min [ max [rt, rmin] , P90(πt) ]: 这部分计算的是 最终使用的利率

    • 如果 max [rt, rmin] 小于或等于 P90(πt),则使用 max [rt, rmin]
    • 如果 max [rt, rmin] 大于 P90(πt),则使用 P90(πt)

    这个 min 函数确保了最终使用的利率 不会超过过去 60 天利率的 0.9 分位数,从而限制了 Rt 的上限。

  4. Rt = min [ max [rt, rmin] , P90(πt) ] / r0: 这部分计算的是 标准化后的利率因子 Rt。将最终使用的利率除以初始利率 r0,可以将 Rt 标准化,使其成为一个相对值。

举例说明:

假设:

  • r0 = 0.05 (初始利率为 5%)
  • rmin = 0.02 (利率下限为 2%)

现在我们考虑几种情况:

  • 情况一:rt = 0.06 (当前利率为 6%),P90(πt) = 0.07

    Rt = min [ max [0.06, 0.02] , 0.07 ] / 0.05 = min [ 0.06 , 0.07 ] / 0.05 = 0.06 / 0.05 = 1.2

  • 情况二:rt = 0.01 (当前利率为 1%),P90(πt) = 0.04

    Rt = min [ max [0.01, 0.02] , 0.04 ] / 0.05 = min [ 0.02 , 0.04 ] / 0.05 = 0.02 / 0.05 = 0.4

  • 情况三:rt = 0.10 (当前利率为 10%),P90(πt) = 0.08

    Rt = min [ max [0.10, 0.02] , 0.08 ] / 0.05 = min [ 0.10 , 0.08 ] / 0.05 = 0.08 / 0.05 = 1.6

Rt 根据市场利率 rt 进行动态调整,但受到 rminP90(πt) 的限制,以避免铸造率的剧烈波动。使用 0.9 分位数作为上限,可以有效地平滑利率的剧烈波动对 USUAL 分配的影响,避免分配量的大幅波动。

规模因子

γt = γ / τt

其中:

  • γt: 第 t 天的规模因子。
  • γ: 基准规模因子,由 DAO 设定。
  • τt: 时间因子,表示两次铸造之间的时间间隔(以天为单位)。

公式 (12): 时间因子 τt

τt = (Timestampt - Timestampt-1) / DFS

其中:

  • τt: 时间因子。
  • Timestampt: 当前铸造的 UNIX 时间戳。UNIX 时间戳是一个表示从 1970 年 1 月 1 日 00:00:00 UTC 到当前时间的总秒数的整数。
  • Timestampt-1: 上一次铸造的 UNIX 时间戳。
  • DFS: 每天的秒数,固定为 86400 (60 秒/分钟 × 60 分钟/小时 × 24 小时/天)。

公式分解和内容解释:

  1. 公式 (12) 计算时间因子 τt:
    • Timestampt - Timestampt-1 计算的是两次铸造之间的时间差(以秒为单位)。
    • 除以 DFS (86400) 将时间差转换为天数。
  2. 公式 (11) 计算规模因子 γt:
    • 将基准规模因子 γ 除以时间因子 τt 得到 γt

假设:

  • γ = 0.8 (DAO 决定稍微加速通货膨胀)
  • Timestampt-1 = 1678886400 (上一次铸造的 UNIX 时间戳,对应 2023 年 3 月 15 日 00:00:00 UTC)
  • Timestampt = 1678972800 (当前铸造的 UNIX 时间戳,对应 2023 年 3 月 16 日 00:00:00 UTC)
  • DFS = 86400

计算:

  1. 计算时间因子 τt:

    τt = (1678972800 - 1678886400) / 86400 = 86400 / 86400 = 1

  2. 计算规模因子 γt:

    γt = 0.8 / 1 = 0.8

在这个例子中,由于 γ 小于 1,γt 也小于 1,这将导致 USUAL 的铸造率 Mt 增加,从而加速 USUAL 的发行。

再假设:

  • γ = 1.2 (DAO 决定稍微减缓通货膨胀)
  • Timestampt-1 = 1678886400
  • Timestampt = 1679059200 (对应 2023 年 3 月 17 日 00:00:00 UTC,间隔两天)

计算:

  1. 计算时间因子 τt:

    τt = (1679059200 - 1678886400) / 86400 = 172800 / 86400 = 2

  2. 计算规模因子 γt:

    γt = 1.2 / 2 = 0.6

在这个例子中,虽然 γ 大于 1,但由于铸造间隔了两天,导致 τt 等于 2,最终 γt 小于 1,这将导致 USUAL 的铸造率 Mt 仍然会减少,但是减缓的程度不如每日铸造的情况。

上限因子

κt = (M0 × max [rt, rmin]) / (r0 × γt)

其中:

  • κt: 第 t 天的上限因子。
  • M0: 初始铸造率。
  • rt: 第 t 天的基础利率。
  • rmin: 由 DAO 设置的利率下限。
  • r0: USD0 的初始基础利率。
  • γt: 第 t 天的规模因子。
  1. max [rt, rmin]: 这部分计算的是 实际使用的利率

    • 如果 rt 大于或等于 rmin,则使用 rt
    • 如果 rt 小于 rmin,则使用 rmin

    这个 max 函数确保了实际使用的利率 不会低于 rmin

  2. M0 × max [rt, rmin]: 这部分计算的是 根据当前利率调整后的初始铸造率

    • 如果 rt 大于 r0,则这部分的值会 大于 M0
    • 如果 rt 等于 r0,则这部分的值 等于 M0
    • 如果 rt 小于 r0 且大于等于 rmin,则这部分的值会 小于 M0
    • 如果 rt 小于 rmin,则这部分的值为 M0 * rmin
  3. r0 × γt: 这部分是 初始利率与规模因子的乘积

    • γt 的值会影响这部分的大小,从而影响 κt 的值。
  4. κt = (M0 × max [rt, rmin]) / (r0 × γt): 这部分计算的是 最终的上限因子 κt

假设:

  • M0 = 0.01 (初始铸造率为 1%)
  • r0 = 0.05 (初始利率为 5%)
  • rmin = 0.02 (利率下限为 2%)
  • γt = 1 (规模因子暂时为 1)

现在我们考虑几种情况:

  • 情况一:rt = 0.06 (当前利率为 6%)

    κt = (0.01 × max [0.06, 0.02]) / (0.05 × 1) = (0.01 × 0.06) / 0.05 = 0.012

  • 情况二:rt = 0.01 (当前利率为 1%)

    κt = (0.01 × max [0.01, 0.02]) / (0.05 × 1) = (0.01 × 0.02) / 0.05 = 0.004

  • 情况三:rt = 0.06,γt = 0.8 (规模因子调整为 0.8)

    κt = (0.01 × max [0.06, 0.02]) / (0.05 × 0.8) = (0.01 × 0.06) / 0.04 = 0.015

在这个例子中,可以看到 κt 的值会随着利率 rt 和规模因子 γt 的变化而变化。

关于铸造机制的思考

USUAL 的铸造机制是一个动态系统,旨在根据市场状况和协议状态灵活调整 USUAL 的发行量。其核心目标是:

  • 控制 USUAL 的通货膨胀。
  • 激励用户参与协议。
  • 维护分配的公平性。
  • 确保协议的长期可持续性。

每日 USUAL 的分配量 (USUALdist,t) 由以下公式计算:

USUALdist,t = (d / 365) × Mt × Supply++t × Pt   (6)

其中:

  • USUALdist,t: 第 t 天分配的 USUAL 代币数量。
  • d: 全局分配率,固定为 0.25 (意味着 4 年内分配完毕)。
  • 365: 一年中的天数。
  • Mt: 第 t 天的铸造率。这是核心的动态变量,由以下公式计算:
Mt = min [M0 × St × Rt^(γt), κt]   (7)
  • Supply++t: 第 t 天 USD0++ 的总供应量。
  • Pt: 第 t 天 USD0 在主市场的价格。

各个子因子及其公式:

  1. 供应因子 (St): 与 USD0++ 的供应量成反比,促进稀缺性。
St = min [ (Supply0++ × P0) / (Supplyt++ × Pt) , 1 ]   (8)
  1. 利率因子 (Rt): 与市场利率成正比,维护分配的公平性。
Rt = min [ max [rt, rmin] , P90(πt) ] / r0   (9)
  1. 规模因子 (γt): 由 DAO 治理调整,控制铸造速度。
γt = γ / τt   (11)
τt = (Timestampt - Timestampt-1) / DFS   (12)
  1. 上限因子 (κt): 限制铸造率的上限。
κt = (M0 × max [rt, rmin]) / (r0 × γt)   (13)

各个变量变化的影响:

现在我们来分析各个变量的变化如何影响 USUAL 的每日分配量 (USUALdist,t):

  1. d (全局分配率): 固定为 0.25,不会影响动态变化,只影响总的分配量。
  2. Mt (铸造率): 这是最复杂的因素,受到多个子因子的影响:
    • M0 (初始铸造率): M0 越高,Mt 的潜在上限越高,从而可能增加 USUALdist,t。
    • St (供应因子):
      • Supplyt++ 增加(USD0++ 供应量增加),St 减少,Mt 减少,USUALdist,t 减少。
      • Pt 降低(USD0 价格下降),St 增加(但受限于 1),如果增加导致 St 超过其他因素的影响,则可能增加 Mt,但同时 Pt 的下降会直接大幅减少 USUALdist,t,所以综合来看,USUALdist,t 仍然会减少。
    • Rt (利率因子):
      • rt 增加(基础利率增加),Rt 增加,Mt 增加,USUALdist,t 增加。
      • rmin 提高(利率下限提高),提高了 Rt 的下限,可能增加 Mt,从而增加 USUALdist,t
      • P90(πt) 降低(过去 60 天利率的 0.9 分位数降低),降低了 Rt 的上限,可能减少 Mt,从而减少 USUALdist,t
      • r0 提高(初始利率提高),降低了 Rt,可能减少 Mt,从而减少 USUALdist,t
    • γt (规模因子):
      • γ 降低(基准规模因子降低),γt 增加,可能增加 Mt,从而增加 USUALdist,t
      • τt 增加(铸造间隔变长),γt 降低,可能减少 Mt,从而减少 USUALdist,t
    • κt (上限因子): κt 限制了 Mt 的最大值,防止其过高。κt 本身也受到 M0rtrminr0γt 的影响,其变化趋势与 Mt 类似,但最终目的是限制 Mt
  3. Supply++t (USD0++ 总供应量): Supply++t 增加,USUALdist,t 直接增加。
  4. Pt (USD0 价格): Pt 降低(USD0 价格下降),USUALdist,t 直接大幅减少。这是最重要的影响因素之一,旨在应对稳定币脱锚风险。

usual的价值

目前代币存在的问题:

  • 纯复制项目,都是博的短期,容易被抛售。
  • 协议产生的收入和代币绑定的治理权联系薄弱。
  • 代币过多,导致FDV过高,且缺乏长期逻辑支撑。
  • 团队拿太多,高通胀导致普通用户被稀释持有量。

Usual 的优势:

【1:代币分配和发行机制】

  • 无 VC 主导: 90% 的 $USUAL 分配给用户,而非风险投资机构,避免了中心化控制和早期投资者的大量抛售。

  • 与现金流挂钩: USUAL的发行量与稳定币抵押品产生的未来现金流直接相关,只有当协议产生收入时,才会发行新的USUAL 的发行量与稳定币抵押品产生的未来现金流直接相关,只有当协议产生收入时,才会发行新的 USUAL。

    专注于长期所有权: 激励长期持有者,避免短期投机行为对代币价格的冲击。

    通货紧缩发行模型: $USUAL 的发行速度会逐渐降低,甚至可能出现通缩,提高代币的稀缺性和价值。发行量低于比特币,更显稀缺性。

【2:现金流】

  • 协议收入的直接权利: USUAL治理代币赋予持有者对协议资金的控制权,协议产生的收入可能通过某种方式分配给USUAL 治理代币赋予持有者对协议资金的控制权,协议产生的收入可能通过某种方式分配给 USUAL 持有者。
  • 每代币收益 (EPT) 随 TVL 增加: 随着 TVL 的增长,协议收入也会增加,从而提高每个 USUAL代币的收益,提高USUAL 代币的收益,提高 USUAL 的内在价值。

【3:代币的实际用途】

  • 质押机制: 质押 USUAL可以获得未来USUAL 可以获得未来 USUAL 发行量的 10% 作为奖励,并激活治理权。

  • 提前解锁选项: USD0++ 持有者可以通过销毁部分 $USUAL 奖励,提前解锁质押的 USD0,提供更大的灵活性。

  • 衡量投票: $USUAL 持有者可以通过投票参与协议的治理,影响协议的发展方向。

  • 资金管理: $USUAL 持有者还可以通过投票决定如何管理协议的资金和收入,例如代币销毁或收入分配等。

经济模型

首先USUAL的目的是为了创造稀缺性,平衡早期和长期持有者的利益,他的主要特点如下:

与 USD0 的 TVL 和协议收入挂钩:

  • USD0 的 TVL 越高,协议产生的收入越多,且 100% 进入协议金库。
  • $USUAL 的发行是基于未来收入的预期,而非凭空创造。
  • 用户质押 USD0,实际上是在为协议创造未来的收入潜力,也因此获得了发行 $USUAL 的权利。

通货紧缩机制:

  • 随着 USD0++ 的 TVL 增加,USUAL的发行率逐渐下降,即每锁定1美元USD0,新发行的USUAL 的发行率逐渐下降,即每锁定 1 美元 USD0,新发行的 USUAL 数量越来越少,增加了 $USUAL 的稀缺性。
  • TVL 增长带来的收入增加会提高每个 USUAL代币的收益(EPT),从而推高USUAL 代币的收益 (EPT),从而推高 USUAL 的价格。

动态排放调整:

  • $USUAL 的排放不是固定的,而是根据 USD0++ 的 TVL 增长和 USD0 底层资产的利率变化进行动态调整,更加灵活和适应市场变化。
  • 目标是使 $USUAL 变得越来越稀缺,提高其内在价值。

社区导向和长期激励:

  • Usual 协议完全控制其金库收入。
  • 90% 的代币通过各种方式分配给社区,鼓励社区参与。
  • 早期参与者受益较多,而发行量的减少则有利于长期持有者,构建可持续的生态系统。

发行控制:

  • 设置最高门槛以防止过度通货膨胀。
  • 根据利率调整发行量,保持公平。
  • 铸币率(发行率)可通过 DAO 治理进一步调整,赋予 $USUAL 持有者更多权力。

所以简单总结,USUAL价值 = (USD0++ TVL ↑ → 发行率 ↓ → 稀缺性 ↑) + (协议收入 ↑ → 每代币收益 ↑),TVL 增长带来的稀缺性增加,以及协议收入增长带来的每代币收益提高。

各方赚钱

USUAL协议:

  • 和USYC合作
  • 作为USYC的分销商
  • 吸纳用户存款,投资传统低风险金融资产,赚利息

CP:

  • 通过USUAL协议不断的操作USYC,来赚取USUAL代币,实际他是一个循环,他提供了一个循环通道,这是一个有意思的点

CP可能会遭受的风险

  • RWA价值波动,受到市场利率影响,导致其RWA价值下跌
  • USUAL协议项目方 跑路
  • USD0 价格大幅下跌,如果手上持有的是USD0 ,那实际之前抵押的USYC 实际是亏损的。

普通用户:

USD0++ 质押收益: 用户将 USD0 质押以获得 USD0++,USD0++ 是一种流动性质押代币 (LST)。虽

**USUAL代币奖励:用户通过质押USD0或参与其他协议活动,可以获得USUAL 代币奖励:** 用户通过质押 USD0 或参与其他协议活动,可以获得 USUAL 代币作为奖励。$USUAL 代币的价值来自:

  • 协议收入分配: $USUAL 持有者有权分享协议金库的收入。
  • 通货紧缩机制: 随着 TVL 的增长,$USUAL 的发行率下降,使其更加稀缺,从而推高其价格。
  • 治理权: $USUAL 持有者可以参与协议的治理,影响协议的发展方向。
  • 提前解锁 USD0++: 通过销毁部分 $USUAL 奖励,可以提前解锁 USD0++,提供更大的灵活性。

项目概况

融资

Usual 宣布已完成由 Binance Labs 和 Kraken Ventures 领投的 1000 万美元的 A 轮融资。

TVL

这小子有点猛,离DAI 也不远了,到底是币价先到,还是TVL先到。

image-20250105215152540

个人看法

先看看USUAL 的产品收益:

image-20241225133449441

第一点:上图看上去诱人的很,USDO++的收益都有这么高,看来USUAL的贡献不小,奖励结算换USUAL的人很多。

第二点: 国债的收益率如何保证稳定,尤其还是美国国债,一旦大幅贬值,我能想到的连锁反应:

  • 金库里持有的美国国债贬值,可能导致金库的资产不足以支撑所有流通的USD0,那么,USD0可能脱锚,那么可能就不是1美元了,之后USUAL必定出现价格暴跌。
  • 对于USD0持有者,实际资产会贬值
  • 对于USD0++ 持有者,上述情景会导致USDO++ 大幅抛售,实际可能跌幅大于USD0,同时导致USD0与USD0++ 不会以1比1维持,你去解锁收益,实际是拿的BIG保证的无风险收益,USDC结算的,但是有可能出现无法兑付收益,因为那个时候大家都不要USUAL代币

第三点:如若出现上述情况,USUAL协议会启动PAR机制,回购USD0++ 或者解锁USD0来稳定局面,即使你人工干预,也未必能顶得住USD0++的抛售和USD0的抛售,届时可能发生死亡螺旋。

第四点:针对我之前网上看到质疑USUAL协议凭空发行USD0兑换USDC行为,我去看了官方实现合约,USD0的发行是需要RWA资产作为背书的,他需要获取所有支持USD0的RWA资产,没法凭空发行。

总结

USD0、抵押品(国债)和 USUAL 之间的关系

USD0 是一种稳定币,其价值旨在与美元保持 1:1 的锚定。为了实现这一目标,USD0 需要有相应的抵押品作为支撑。在这个例子中,我们假设抵押品是国债。

  • 抵押品(国债)支撑 USD0 的价值: USD0 的发行需要有等值的抵押品作为 backing。例如,要发行 1 个 USD0,就需要有价值 1 美元的国债作为抵押。这样,即使 USD0 在市场上的交易价格出现波动,持有者仍然可以通过赎回机制将 USD0 兑换成等值的抵押品(国债),从而维持其价值的稳定性。
  • USUAL 代币的铸造与 USD0 的供应量和协议收入相关: USUAL 是一种实用代币,用于激励用户参与协议和进行治理。USUAL 的铸造率不是固定的,而是根据市场情况和协议状态动态调整的,其中一个重要的影响因素就是 USD0 的供应量。如前文所述,当 USD0 的供应量增加时,USUAL 的铸造率会相应降低,以控制通货膨胀。此外,协议的收入(例如通过交易手续费等方式获得)也会影响 USUAL 的铸造,收入越高,铸造的 USUAL 越多。
  • USUAL 的价值与协议的成功和市场需求相关: USUAL 的价值取决于市场对其的供需关系,以及市场对协议未来发展的预期。如果协议发展良好,用户参与度高,对 USUAL 的需求就会增加,从而推高其价格。反之,如果协议发展不佳,用户参与度低,对 USUAL 的需求就会减少,从而导致其价格下跌。

国债价值大幅降低的影响

现在我们来分析在国债价值大幅降低的情况下,会对 USD0、USUAL 代币的铸造以及 USUAL 代币的价格产生什么影响:

  1. 对 USD0 的影响:

    • 如果抵押品不足: 如果国债价值的大幅降低导致 USD0 的抵押品不足以支撑其 1:1 的锚定,就会发生 脱锚 现象,即 USD0 的价格会低于 1 美元。这会导致用户恐慌性抛售 USD0,进一步加剧其价格下跌。

    • 协议需要采取措施:

      为了应对这种情况,协议需要采取措施来补充抵押品,例如:

      • 出售其他储备资产。
      • 通过发行新的 USD0 并以更高的价格出售来补充抵押品。
      • 启动清算机制,将剩余的抵押品按比例分配给 USD0 持有者。
  2. 对 USUAL 代币铸造的影响:

    • USD0 供应量可能减少: 如果发生脱锚并导致用户大量赎回 USD0,USD0 的供应量会减少。根据公式 (8),供应因子 St 可能会上升(但最高为 1),这在一定程度上会 提高 USUAL 的铸造率 Mt
    • 协议收入可能受到影响: 如果 USD0 的稳定性受到质疑,用户参与协议的意愿可能会降低,从而导致协议收入减少。这可能会 降低 USUAL 的铸造率 Mt
    • 综合影响: 因此,国债价值大幅降低对 USUAL 代币铸造的综合影响取决于上述两个因素的相对强度。如果 USD0 供应量减少的影响更大,则 USUAL 的铸造率可能会略有上升;如果协议收入减少的影响更大,则 USUAL 的铸造率可能会下降。
  3. 对 USUAL 代币价格的影响:

    • 市场信心可能受到打击: 国债价值大幅降低可能会打击市场对协议的信心,认为协议的风险较高,从而导致对 USUAL 的需求减少,使其价格下跌。
    • USUAL 铸造量变化的影响: 如前所述,USUAL 铸造量的变化对 USUAL 的价格有一定的影响。如果铸造量增加,可能会略微稀释 USUAL 的价值,从而对其价格产生一定的下行压力。反之,如果铸造量减少,则可能略微支撑 USUAL 的价格。
    • 综合影响: 因此,国债价值大幅降低对 USUAL 代币价格的综合影响主要取决于市场信心的变化,以及 USUAL 铸造量的变化。通常情况下,市场信心受到的打击可能是主要因素,导致 USUAL 价格下跌。