刚拿下 NeurIPS 最佳论文,字节就开源 VAR 文生图版本,拿下 SOTA 击败扩散模型

262 阅读8分钟

自回归文生图,迎来新王者——

新开源模型 Infinity,字节商业化技术团队出品,超越 Diffusion Model。

值得一提的是,这其实是从前段时间斩获 NeurIPS 最佳论文 VAR 衍生而来的文生图版本

在预测下一级分辨率的基础上,Infinity 用更加细粒度的 bitwise tokenizer 建模图像空间。同时他们将词表扩展到无穷大,增大了 Image tokenizer 的表示空间,大大提高了自回归文生图的上限。他们还将模型大小扩展到 20B。

结果,不仅在图像生成质量上直接击败了 Stabel Diffusion3,在推理速度上,它完全继承了 VAR 的速度优势,2B 模型上比同尺寸 SD3 快了 3 倍,比 Flux dev 快 14 倍,8B 模型上比同尺寸的 SD3.5 快了 7 倍。

目前模型和代码都已开源,也提供了体验网站。

来看看具体细节。

自回归文生图新王者

在过去自回归模型和扩散模型的对比中,自回归模型广受诟病的问题是生成图像的画质不高,缺乏高频细节。

在这一背景下,Infinity 生成的图像细节非常丰富,还能够生成各种长宽比图像,解掉了大家过去一直疑虑的 VAR 不支持动态分辨率的问题。

具体性能上面,作为纯粹的离散自回归文生图模型,Infinity 在一众自回归方法中一鸣惊人,远远超过了 HART、LlamaGen、Emu3 等方法。

与此同时,Infinity 也超过了 SDXL,Stable diffusion3 等 Diffusion 路线的 SOTA 方法。

人类评测上,用户从画面整体、指令遵循、美感三个方面对于 Infinity 生成图像和 HART、PixArt-Sigma、SD-XL、SD3-Meidum 生成图像进行了双盲对比。

其中 HART 是一个同样基于 VAR 架构,融合了 diffusion 和自回归的方法。PixArt-Sigma、SD-XL、SD3-Meidum 是 SOTA 的扩散模型。

Infinity 以接近 90% 的 beat rate 击败了 HART 模型。显示了 Infinity 在自回归模型中的强势地位。

此外,Inifnity 以 75%、80%、65% 的 beat rate 击败了 SOTA 的扩散模型如 PixArt-Sigma、SD-XL、SD3-Meidum 等,证明了 Infinity 能够超过同尺寸的扩散模型。

那么,这背后具体是如何实现的?

Bitwise Token 自回归建模提升了模型的高频表示

大道至简,Infinity 的核心创新,就是提出了一个 Bitwise Token 的自回归框架——

抛弃原有的 “Index-wise Token”,用 + 1 或 - 1 构成的细粒度的“Bitwise Token” 预测下一级分辨率。

在这个框架下,Infinity 表现出很强的 scaling 特性,通过不断地 scaling 视觉编码器(Visual Tokenizer)和 transformer,获得更好的表现。

在 Bitwise Token 自回归框架中,关键技术是一个多尺度的比特粒度视觉编码器(Visual Tokenizer)。

它将 H×W×3 大小的图像编码、量化为多尺度的特征:1×1×d,2×2×d,…,h×w×d。其中 d 是视觉编码器的维度,每一维是 + 1 或 - 1。词表的大小是 2d。过去的方法中,会继续将 d 维的特征组合成一个 Index-wise Token(索引的范围是 0~2d-1,用这个 Index-wise Token 作为标签进行多分类预测,总共类别是词表大小,即 2d。

Index-wise Token 存在模糊监督的问题。如下图所示,当量化前的连续特征发生微小扰动后(0.01 变成 - 0.1),Index-wise Token 的标签会发生剧烈变化(9 变成 1),使得模型优化困难。

而 Bitwise Token 仅有一个比特标签发生翻转,其他比特标签仍能提供稳定监督。相比于 Index-wise Token,Bitwise Token 更容易优化。

研究人员在相同的实验设置下对比了 Index-wise Token 和 Bitwise Token。

结果显示,预测 Bitwise Token 能够让模型学到更细粒度的高频信号,生成图像的细节更加丰富。

无穷大词表扩展了 Tokenizer 表示空间

从信息论的角度来看,扩散模型采用的连续 Visual Tokenizer 表示空间无穷大,而自回归模型采用的离散 Visual Tokenizer 表示空间有限。

这就导致了自回归采用的 Tokenizer 对于图像的压缩程度更高,对于高频细节的还原能力差。为了提升自回归文生图的上限,研究人员尝试扩大词表以提升 Visual Tokenizer 的效果。

但是基于 Index-wise Token 的自回归框架非常不适合扩大词表。基于 Index-wise Token 的自回归模型预测 Token 的方式如下图左边所示,模型参数量和词表大小正相关。

当 d=32 的时候,词表大小为 232,预测 Index-wise Token 的 transformer 分类器需要有 2048×232=8.8×1012=8.8T 的参数量!

光一个分类器的参数量就达到了 50 个 GPT3 的参数量,这种情况下扩充词表到无穷大显然是不可能的。

研究人员的解决方法简单粗暴,如上图右边所示,丢掉索引,直接预测比特!有了 Bitwise Token 自回归建模后,研究人员采用 d 个 + 1 或 - 1 的二分类器,并行地预测下一级分辨率 + 1 或 - 1 的比特标签。做出这样的改变后,参数量一下从 8.8T 降到了 0.13M。所以说,采用 Bitwise Token 建模自回归后,词表可以无限大了。

有了无限大词表,离散化的 Visual Tokenizer 落后于连续的问题似乎没有这么严重了:

如上表所示,当词表大小放大到后,离散的视觉编码器在 ImageNet 上重建的 FID 居然超过了 Stable Diffusion 提出的连续的 VAE。

视频详情

从可视化效果来看,无限大词表(Vd=232),相比于小词表,对于高频细节(如上图中的人物眼睛、手指)重建效果有质的提升

Model Scaling 稳步提升效果

解决了制约生成效果天花板的视觉编码器的问题后,研究人员开始了缩放词表和缩放模型的一系列实验。

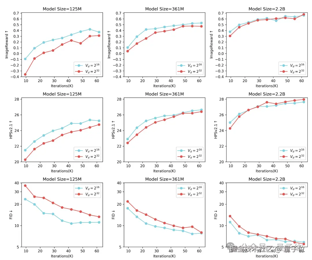
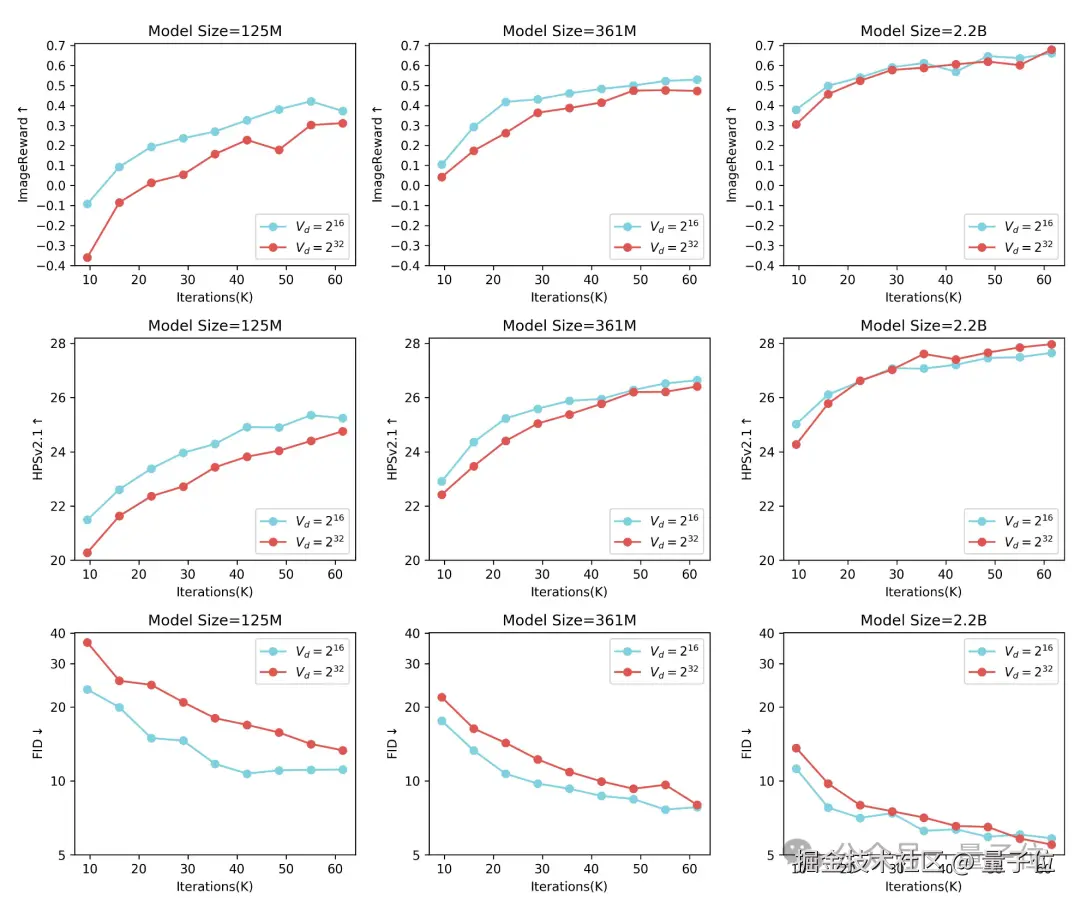
研究发现,对于 125M 的小模型,使用 Vd=216 的小词表,相比于 Vd=232 的大词表,收敛的更快更好。

但是随着模型的增大,大词表的优势逐渐体现出来。当模型增大到 2B 并且训练迭代超过 50K 以后,大词表取得了更好的效果。最终 Infinity 采取 Vd=232 的大词表,考虑到 232 已经超过了 int32 的数值范围,可以认为是无穷大的数,这也是 Infinity 的命名由来。

总结来看,(无穷)大词表加大模型,加上充分的训练后,效果要明显好于小词表加大模型。

除了 scaling 词表以外,研究人员还做了对 Infinity 模型大小的 scaling 实验。

他们在完全相同的实验设定下比较了 125M、361M、940M、2.2B、4.7B 五个不同尺寸大小的模型。

可以看到,随着模型的增大和训练资源的增加,验证集损失稳步下降,验证集准确率稳定提升。另外,研究人员发现验证集 Loss 和各项测试指标存在很强的线性关系,线性相关系数高达 0.98。

下图每个九宫格对应同一个提示词在不同模型大小、不同训练步数的生成图像。

  • 从上往下分别是:逐渐增大模型规模,对应 125M、1B、5B 模型生成的图像。

  • 从左往右分别是模型训练的步数逐渐增多后生成的图像。

我们能明显看出:Infinity 有着良好的 scaling 特性,更大的模型、更多的训练,能够生成语义结构、高频细节更好的图像

另外 Infinity 还提出了比特自我矫正技术,让视觉自回归文生图模型具有了自我矫正的能力,缓解了自回归推理时的累计误差问题。

Infinity 还能够生成各种长宽比图像,解决了 VAR 不支持动态分辨率的问题。

下图列出了 Infinity 和其他文生图模型对比的例子。

可以看到,Infinity 在指令遵循,文本渲染、画面美感等方面都具有更好的表现。

除了效果以外,Infinity 完全继承了 VAR 预测下一级分辨率的速度优势,相比于扩散模型在推理速度上具有显著的优势。

2B 模型生成 1024x1024 的图像用时仅为 0.8s,相比于同尺寸的 SD3-Medium 提升了 3 倍,相比于 12B 的 Flux Dev 提升了 14 倍。8B 模型比同尺寸的 SD3.5 快了 7 倍。20B 模型生成 1024x1024 的图像用时 3s,比 12B 的 Flux Dev 还是要快将近 4 倍。

目前,在 GitHub 仓库中,Infinity 的训练和推理代码、demo、模型权重均已上线。

Infinity 2B 和 20B 的模型都已经开放了网站体验,感兴趣的同学可以试一试效果。

开源地址: github.com/FoundationV…
项目页面: foundationvision.github.io/infinity.pr…
体验网站: opensource.bytedance.com/gmpt/t2i/in…