【AI大模型】国产黑马:DeepSeek-V3与GPT-4o、Claude-3.5-Sonnet的全面对比分析

2,116 阅读4分钟

12月26日,深度求索公司正式推出了其最新的开源模型——DeepSeek-V3,凭借671B的参数和创新的MoE架构,迅速引起了openAI等大厂公司的关注。今天我们将深入探讨DeepSeek-V3的性能表现,并且与市场上最顶尖的闭源模型GPT-4o和Claude-3.5-Sonnet进行全面对比,看看这款新模型是否真的如传闻中那样出色。 在这里插入图片描述

一、DeepSeek-V3的亮点

1. 性能对标顶尖模型

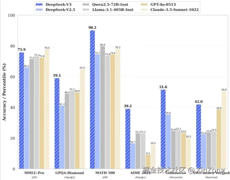
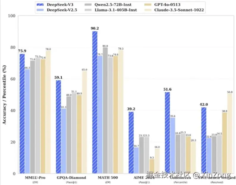
DeepSeek-V3在多项评测中表现出色,尤其是在与GPT-4o和Claude-3.5-Sonnet的对比中,显示出不俗的竞争力。根据独立评测机构Artificial Analysis的评估,DeepSeek-V3在质量指数上达到了80,超越了GPT-4o和Llama 3.3 70B,仅次于谷歌的Gemini 2.0 Flash和OpenAI的o1系列模型。 一站式国产模型:DeepSeek-V3

2. 训练成本的优势

DeepSeek-V3的训练成本仅为558万美元,这在当前的AI模型市场中可谓是一个惊人的数字。相比之下,Meta的Llama-3.1训练成本超过5亿美元,DeepSeek-V3的性价比无疑让人刮目相看。这一低成本的背后,得益于深度求索公司在优化策略上的创新,包括高效的负载均衡、FP8混合精度训练和通信优化等。 在这里插入图片描述

3. 开源模型的新标杆

DeepSeek-V3不仅在性能上与顶尖闭源模型相媲美,更在某些特定任务中超越了GPT-4o,成为开源模型的新标杆。这一成就的取得,标志着开源AI模型在性能和应用上的巨大进步。

二、DeepSeek-V3与竞争对手的对比

为了更直观地了解DeepSeek-V3的表现,我们将其与GPT-4o和Claude-3.5-Sonnet进行详细对比。

指标DeepSeek-V3GPT-4oClaude-3.5-Sonnet
参数量671B175B175B
训练成本558万美元10亿美元5亿美元
质量指数808275
每100万个Token的价格0.48美元18美元18美元
每秒生成Token数量87.510090
首字响应时间1.14秒0.9秒1.0秒
上下文窗口13万Token200万Token200万Token

1. 质量与性能

从表格中可以看出,DeepSeek-V3在质量指数上略低于GPT-4o,但在训练成本和每100万个Token的价格上具有明显优势。虽然在生成速度和首字响应时间上稍显逊色,但其性价比的优势使得DeepSeek-V3在实际应用中更具吸引力。 在这里插入图片描述

2. 价格优势

DeepSeek-V3的每100万个Token价格仅为0.48美元,远低于GPT-4o和Claude-3.5-Sonnet的18美元。这一价格优势使得DeepSeek-V3在商业应用中更具竞争力,尤其对于中小企业和开发者而言,能够大幅降低使用成本。

3. 上下文窗口的局限性

尽管DeepSeek-V3在多个维度表现出色,但其上下文窗口仅支持13万个Token,远低于Claude-3.5-Sonnet的200万Token。这一局限性可能会影响其在某些复杂任务中的表现,尤其是在需要处理大量上下文信息的场景中。

在这里插入图片描述

三、DeepSeek-V3的应用前景

随着AI技术的不断发展,DeepSeek-V3凭借其高性价比和开源特性,展现出广阔的应用前景。无论是在自然语言处理、文本生成,还是在智能客服、内容创作等领域,DeepSeek-V3都有潜力成为开发者的首选工具。

四、总结

希望这篇文章能够帮助你更好地理解DeepSeek-V3的优势与潜力。如果你对AI模型有更多的疑问或想法,欢迎在评论区留言讨论!

相关文章

【OpenAI】(一)获取OpenAI API Key的多种方式全攻略:从入门到精通,再到详解教程!!

【VScode】(二)VSCode中的智能AI-GPT编程利器,全面揭秘CodeMoss & ChatGPT中文版

【CodeMoss】(三)集成13种AI大模型(GPT4、o1等)、支持Open API调用、自定义助手、文件上传等强大功能,助您提升工作效率! >>> - CodeMoss & ChatGPT-AI中文版