【OpenGL ES】GLSL基础语法

271 阅读12分钟

1 前言

​ 本文将介绍 GLSL 中数据类型、数组、结构体、宏、运算符、向量运算、矩阵运算、函数、流程控制、精度限定符、变量限定符(in、out、inout)、函数参数限定符等内容,另外提供了一个 include 工具,方便多文件管理 glsl 代码,实现代码的精简、复用。

​ Unity 中 Shader 介绍详见 → 【Unity3D】Shader常量、变量、结构体、函数,渲染管线介绍详见 → 【OpenGL ES】渲染管线

2 数据类型

2.1 基本数据类型

2.1.1 基本数据类型

类型说明案例
void空类型,即不返回任何值void fun() { }
bool布尔类型 true、falsebool a = true;
int带符号的整数int a = 0;
float带符号的浮点数float a = 1.0; float b = 2.;
vec2、vec3、vec42 维、3 维、4 维浮点数向量vec2 a = vec2(1., 2.);
vec2 b = vec2(1.); // ⇔ vec2(1., 1.)
vec3 c = vec3(a, 3.); // ⇔ vec3(1., 2., 3.)
bvec2、bvec3、bvec42 维、3 维、4 维布尔向量bvec2 a = bvec2(true, false);
bvec2 b = bvec2(true); // ⇔ bvec2(true, true)
bec3 c = bvec3(a, true); // ⇔ bvec3(true, false, true)
ivec2、ivec3、ivec42 维、3 维、4 维整数向量ivec2 a = ivec2(1, 2);
ivec2 b = ivec2(1); // ⇔ ivec2(1, 1)
ivec3 c = ivec3(a, 3); // ⇔ ivec3(1, 2, 3)
mat2、mat3、mat42x2、3x3、4x4 浮点数矩阵 (列向量)mat2 a = mat2(1., 2., 3., 4.);
mat2 b = mat2(1.); // ⇔ mat2(1., 1., 1., 1.)
sampler2D2D 纹理sampler2D sampler;
samplerCube盒纹理samplerCube sampler;

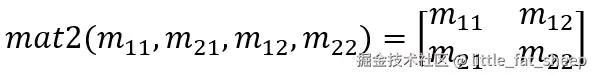
​ 说明:mat2、mat3、mat4 中的元素都是按照列向量的顺序排列的,即 mat2 m = mat2(m11, m21, m12, m22) 对应的公式如下。

img

2.1.2 向量分量访问

​ GLSL 中的向量(vec2、vec3、vec4)可以表示一个空间坐标 (x, y, z, w),也可以表示一个颜色 (r, g, b, a),还可以表示一个纹理坐标 (s, t ,p, q),所以 GLSL 提供了多样的分量访问方式。

vec4 v = vec4(1.0, 2.0, 3.0, 4.0);
float x1 = v.x; // 1.0
float x2 = v.r; // 1.0
float x3 = v.s; // 1.0
float x4 = v[0]; // 1.0

vec3 xyz = v.xyz; // vec3(1.0, 2.0, 3.0)
vec3 stq = v.stq; // vec3(1.0, 2.0, 3.0)
vec3 rgb = v.rgb; // vec3(1.0, 2.0, 3.0)
vec3 abc = vec3(v[0], v[1], v[2]); // vec3(1.0, 2.0, 3.0)

2.1.3 数据类型转换

​ GLSL 可以使用构造函数进行显式类型转换。

// 0或0.0转换为false, 非0转换为true
bool a1 = bool(1.0); // true
bool a2 = bool(0); // false

// true转换为1或1.0, false转换为0或0.0
int a3 = int(true); // 1
float a4 = float(false); // 0.0

int a5 = int(2.0); // 2
float a6 = float(1); // 1.0

2.2 数组

​ GLSL 只支持一维数组。

// float 数组
float[3] a = float[] (1.0, 2.0, 3.0);
float b[3] = float[] (1.0, 2.0, 3.0);
float c[3] = float[3] (1.0, 2.0, 3.0);

// vec 数组
vec2[2] d = vec2[] (vec2(0.0), vec2(1.0));

2.3 结构体

struct light {
    vec4 color;
    vec3 pos;
};
const light lgt = light(vec4(1.0), vec3(0.0));

​ 说明:结构体中的字段不可用 const 修饰。

2.4 内置变量

范围变量说明
顶点着色器的 Output 变量highp vec4 gl_Position;顶点坐标信息
顶点着色器的 Output 变量mediump float gl_PointSize;顶点大小 (只在 GL_POINTS 图元模式下有效)
片元着色器的 Input 变量mediump vec4 gl_FragCoord;片元在屏幕空间的坐标,假设屏幕宽高分别为 width、height x: 片元的x坐标,值域 [0, width - 1] y: 片元的x坐标,值域 [0, height - 1] z: 片元的深度坐标,值域 [0, 1] w: 总是 1,通常用于透视除法
片元着色器的 Input 变量bool gl_FrontFacing;标志当前图元是否是正面图元的一部分
片元着色器的 Output 变量mediump vec4 gl_FragColor;设置当前片点的颜色

2.5 宏

​ 与 C 语言一样,GLSL 中也可以通过 #define 定义宏,如下。

#define PI 3.14159265359

​ 另外,GLSL 也提供了一些内置宏。

__LINE__ // 当前源码中的行号
__VERSION__ // 当前glsl版本号, 如: 300
GL_ES // 当前运行环境是否是 OPGL ES, 1 表示是
GL_FRAGMENT_PRECISION_HIGH // 当前系统的片元着色器是否支持高浮点精度, 1表示支持

3 运算符

3.1 基础运算符

优先级 (越小越高)运算符说明结合性
1()聚组: a * (b + c)N/A
2[]
()
.
++ --
数组下标
方法参数: fun(arg1, arg2)
属性访问
自增 (a++) / 自减 (a--)
L - R
3++ --
+ -
!
自增 (++a) / 自减 (--a)
正 (+a) 负 (-a) 号
取反 (!a)
R - L
4*/
%
乘法 / 除法运算
整数求余运算 (浮点数求余用 mod 函数)
L - R
5+ -加法 / 减法运算L - R
7< > <= >=关系运算符L - R
8== !=相等性运算符L - R
12&&逻辑与L - R
13^^逻辑排他或 (用处基本等于 !=)L - R
14||逻辑或L - R
15? :三目运算符L - R
16= += -= *= /=赋值和复合赋值L - R
17,顺序分配运算L - R

​ 说明:GLSL 中没有隐式类型转换,因此任何表达式左右两侧的类型必须一致,以下表达式都是错误的。

// 以下代码运行时会报错
int a = 2.;
int b = 1. + 2;
float c = 2;
float d = 2. + 1;
bool e = 0;
vec2 f = vec2(1., 2.) * 2;

3.2 向量运算符

// 标量与向量运算
vec2 a = vec2(1., 2.) + 3.; // vec2(4., 5.)
vec2 b = 3. + vec2(1., 2.); // vec2(4., 5.)
vec2 c = vec2(1., 2.) * 3.; // vec2(3., 6.)
vec2 d = 3. * vec2(1., 2.); // vec2(3., 6.)

// 向量与向量运算
vec2 e = vec2(1., 2.) + vec2(3., 4.); // vec2(4., 6.)
vec2 f = vec2(1., 2.) * vec2(3., 4.); // vec2(3., 8.)

3.3 矩阵运算符

// 标量与矩阵运算
mat2 a = mat2(1.) + 2.; // mat2(3.)
mat2 b = 2. + mat2(1.); // mat2(3.)
mat2 c = mat2(1.) * 2.; // mat2(2.)
mat2 d = 2. * mat2(1.); // mat2(2.)

// 向量与矩阵运算
vec2 e = vec2(1., 2.) * mat2(1., 2., 3., 4.); // vec2(5., 11.)
vec2 f = mat2(1., 2., 3., 4.) * vec2(1., 2.); // vec2(7., 10.)

// 矩阵与矩阵运算(矩阵对应元素运算)
mat2 g = mat2(1.) + mat2(2.); // mat2(3.)
mat2 h = matrixCompMult(mat2(1.), mat2(2.)); // mat2(2.)

// 矩阵与矩阵运算(矩阵乘法)
mat2 i = mat2(1., 2., 3., 4.) * mat2(5., 6., 7., 8.); // mat2(23., 34., 31., 46.)
mat2 j = mat2(5., 6., 7., 8.) * mat2(1., 2., 3., 4.); // mat2(19., 22., 43., 50.)

img

4 函数

4.1 自定义函数

​ GLSL 允许在程序的最外部声明函数,函数不能嵌套、不能递归调用,且必须声明返回值类型(无返回值时声明为 void)在其他方面 GLSL 函数与 C 语言函数非常类似。

vec4 getPosition() { 
    vec4 pos = vec4(0.,0.,0.,1.);
    return pos;
}

void doubleSize(inout float size) {
    size = size * 2.0;
}

4.2 内置函数

1)数值运算

sign(x)、abs(x) // 符号、绝对值
min(a, b)、max(a, b) // 最值函数
ceil(x)、floor(x)、round(x) // 取整函数
fract(x) // 取小数部分
mod(x, y) // 取余数
sqrt(x)、pow(x)、inversesqrt(x) // 幂函数, inversesqrt(x)=1/sqrt(x)
exp(x)、exp2(x) // 指数函数(e^x、2^x)
log(x)、log2(x) // 对数函数
degrees(x)、radians(x) // 角度转换函数
sin(x)、cos(x)、tan(x)、asin(x)、acos(x)、atan(x) // 三角函数
sinh(x)、cosh(x)、tanh(x) // 双曲线函数
clamp(x, min, max) // 将x约束在min和max之间, 超过边界就取边界值
smoothstep(min, max, x) // 平滑比例, 公式: k=saturate((x-min)/(max-min)), y=k*k*(3-2*k)
mix(a, b, f) // 混合, 公式: y=(1-f)*a+f*b
step(a, b) // 如果a>b, 返回0; 如果a<=b, 返回1; 当a、b是向量时, 每个分量独立判断, 如: step(fixed2(1,1),fixed(0,2))=(0,1)

​ 说明:以上函数输入的可以是:float、vec2、vec3、vec4,且可以逐分量操作;对于整数求余运算,只能用 %;对于浮点数求余运算,只能用 mod。

2)逻辑运算

bvec z = lessThan(x, y) // 逐分量比较x < y, 将结果写入z的对应位置
bvec z = lessThanEqual(x, y) // 逐分量比较x <= y, 将结果写入z的对应位置
bvec z = greaterThan(x, y) // 逐分量比较x > y, 将结果写入z的对应位置
bvec z = greaterThanEqual(x, y) // 逐分量比较x >= y, 将结果写入z的对应位置
bvec z = equal(x, y) // 逐分量比较x == y, 将结果写入z的对应位置
bvec z = notEqual(x, y) // 逐分量比较x != y, 将结果写入z的对应位置
bvec y = not(x) // bool矢量的逐分量取反
bool y = any(x) // 如果x的任意一个分量是true, 则结果为true
bool y = all(x) // 如果x的所有分量是true, 则结果为true

3)向量运算

distance(pos1, pos2) // 计算pos1与pos2之间的距离
length(vec) // 计算向量的模长
normalize(vec) // 计算向量的单位向量
dot(v1, v2) // 向量点乘
cross(v1, v2) // 向量叉乘
reflect(i, n) // 根据入射向量和法线向量, 计算反射向量(i和n不需要归一化)
refract(i, n, ratio); // 根据入射向量、法线向量、折射率比值, 计算折射向量(i和n需要归一化, ratio为入射介质折射率/折射介质折射率, 或sin(折射角)/sin(入射角))

4)矩阵运算

// 矩阵与矩阵运算(矩阵对应元素运算)
mat2 a = mat2(1.) + mat2(2.); // mat2(3.)
mat2 b = matrixCompMult(mat2(1.), mat2(2.)); // mat2(2.)

// 矩阵与矩阵运算(矩阵乘法)
mat2 c = mat2(1., 2., 3., 4.) * mat2(5., 6., 7., 8.); // mat2(23., 34., 31., 46.)
mat2 d = mat2(5., 6., 7., 8.) * mat2(1., 2., 3., 4.); // mat2(19., 22., 43., 50.)

img

5)纹理查询函数

vec4 texture(sampler2D sampler, vec2 coord);
vec4 texture2D(sampler2D sampler, vec2 coord);
vec4 texture2DProj(sampler2D sampler, vec3 coord);
vec4 texture2DProj(sampler2D sampler, vec4 coord);
vec4 textureCube(samplerCube sampler, vec3 coord);

5 流程控制

​ GLSL 的流控制与 C 语言非常相似,主要有 if、for、while、continue、break,不同的是 GLSL 中多了 discard。使用 discard 会退出片元着色器,不会执行后面的操作,片元也不会写入帧缓冲区。

for (int i = 0; i < 10; i++) {
    sum += a[i];
    if (sum > 5.0)
        break;
}

while (i < 10) {
    sum += a[i];
    if (i % 3 == 1)
        continue;
    i++;
}

do {
    sum += a[i];
    if (sum > 5.0)
        discard;
    i++;
} while (i < 10)

6 限定符

6.1 精度限定符

​ 片元着色器中,对于浮点数 GLSL 有 highp(高)、mediump(中)、lowp(低) 三种精度。

lowp float color;
varying mediump vec2 Coord;
lowp ivec2 foo(lowp mat3);
highp mat4 m;

​ 在片元着色器的第一行加上 precision highp float,表示设定了默认的精度,所有没有显式表明精度的变量都会按照默认精度处理。

precision highp float;

​ 通过判断系统环境,来选择合适的精度。

#ifdef GL_ES
#ifdef GL_FRAGMENT_PRECISION_HIGH
precision highp float;
#else
precision mediump float;
#endif
#endif

6.2 变量限定符

限定符说明
none默认的变量限定符,可省略,可读写。
const修饰的变量为只读类型,变量在定义时必须初始化。
attribute只能在顶点着色器中使用,修饰全局只读变量,一般用于修饰顶点属性,如:顶点的位置、法线、纹理坐标、颜色等。
uniform修饰全局只读变量,一般用于修饰程序传递给 shader 的变量,如:屏幕宽高比、光源位置等。
varying修饰需要进行光栅化插值的变量,在片元着色器中是只读的,如:纹理坐标等。
// 顶点着色器
attribute vec4 a_position;
attribute vec2 a_texCoord0;
varying vec2 v_texCoord0;

void main() {
    gl_Position = vec4(a_position, 1.0);
    v_texCoord0 = a_texCoord0;
}

// 片元着色器
precision highp float;
uniform sampler2D u_texture;
varying vec2 v_texCoord0;

void main() {
  gl_FragColor = texture(u_texture, v_texCoord0);
}

6.3 函数参数限定符

​ 函数的参数默认以拷贝的形式传递,即值传递,我们可以为参数添加限定符实现引用传递,GLSL 中提供的参数限定符如下。

限定符说明
in默认的限定符,参数是值传递,在函数中可读写。
out参数是引用传递,在函数中只能写(write-only)。
inout参数是引用传递,在函数中可读写(read-write)。

​ 除了函数的参数可以用 in、out、inout 修饰,全局变量也可以用这些限定符修饰,如下。

// 顶点着色器
in vec3 a_position;
in vec2 a_texCoord0;
out vec2 v_texCoord0;

void main() {
    gl_Position = vec4(a_position, 1.0);
    v_texCoord0 = a_texCoord0;
}

// 片元着色器
precision highp float;
uniform sampler2D u_texture;
in vec2 v_texCoord0;
out vec4 o_fragColor;

void main() {
    o_fragColor = texture(u_texture, v_texCoord0);
}

7 include

GLSL 中没有提供 #include 功能,如以下代码会运行报错。

#include <shaders/utils/constant.glsl>

要想实现一个 glsl 文件依赖另一个 glsl 文件,可以使用以下工具加载 glsl 字符串。

​ ShaderUtils.java

import android.content.Context;

import java.util.HashSet;
import java.util.regex.Matcher;
import java.util.regex.Pattern;

/**
 * Shader工具类
 * @author little fat sheep
 */
public class ShaderUtils {
    // 匹配: #include <xxx> 或 #include “xxx”, 并且不以"//"开头
    private static final String INCLUDE_REGEX = "(?m)^(?!//\\s*)#include\\s+(<([^>]+)>|\"([^\"]+)\")";

    /**
     * 通过asset加载shader
     * @param vertexShader 顶点着色器路径, 如: "shaders/origin_vert.glsl"
     * @param fragmentShader 片元着色器路径, 如: "shaders/origin_frag.glsl"
     */
    public static String[] loadShader(Context context, String vertexShader, String fragmentShader) {
        String vertex = StringUtils.loadString(context, vertexShader);
        String fragment = StringUtils.loadString(context, fragmentShader);
        String vertex1 = replaceIncludeFiles(context, vertex);
        String fragment1 = replaceIncludeFiles(context, fragment);
        return new String[] { vertex1, fragment1 };
    }

    /**
     * 通过资源id加载shader
     * @param vertexShader 顶点着色器资源id, 如: R.raw.origin_vertex
     * @param fragmentShader 片元着色器资源id, 如: R.raw.origin_fragment
     */
    public static String[] loadShader(Context context, int vertexShader, int fragmentShader) {
        String vertex = StringUtils.loadString(context, vertexShader);
        String fragment = StringUtils.loadString(context, fragmentShader);
        String vertex1 = replaceIncludeFiles(context, vertex);
        String fragment1 = replaceIncludeFiles(context, fragment);
        return new String[] { vertex1, fragment1 };
    }

    /**
     * 将shader字符串中#include的文件替换为文件内容
     */
    public static String replaceIncludeFiles(Context context, String shaderContent) {
        Pattern pattern = Pattern.compile(INCLUDE_REGEX);
        HashSet<String> set = new HashSet<>(); // 用于去掉重复的include
        return replaceIncludeFiles(context, shaderContent, pattern, set);
    }

    /**
     * 将shader字符串中#include的文件替换为文件内容(include的文件中可能也有include, 需要递归调用)
     */
    private static String replaceIncludeFiles(Context context, String shaderContent, Pattern pattern, HashSet<String> set) {
        Matcher matcher = pattern.matcher(shaderContent);
        StringBuffer sb = new StringBuffer(shaderContent.length());
        while (matcher.find()) {
            String angleBrackets = matcher.group(2); // 尖括号内的路径
            String quotationMarks = matcher.group(3); // 引号内的路径
            String file = angleBrackets != null ? angleBrackets : quotationMarks;
            if (set.contains(file)) {
                matcher.appendReplacement(sb, ""); // 删除重复的include
            } else {
                set.add(file);
                String includeShader = StringUtils.loadString(context, file); // 加载include文件中的字符串
                String quoteShader = Matcher.quoteReplacement(includeShader); // 替换字符串中的转义字符
                String wholeShader = replaceIncludeFiles(context, quoteShader, pattern, set); // 递归替换字串中的include
                matcher.appendReplacement(sb, wholeShader); // 将字符串添加到sb中
            }
        }
        matcher.appendTail(sb);
        return sb.toString();
    }
}

​ StringUtils.java

import android.content.Context;

import java.io.BufferedReader;
import java.io.IOException;
import java.io.InputStream;
import java.io.InputStreamReader;

/**
 * 字符串工具类
 * @author little fat sheep
 */
public class StringUtils {
    /**
     * 根据资源路径读取字符串
     * @param assetPath 资源路径, 如: "shaders/origin_vert.glsl"
     */
    public static String loadString(Context context, String assetPath) {
        String str = "";
        try (InputStream inputStream = context.getAssets().open(assetPath)) {
            str = loadString(inputStream);
        } catch (IOException e) {
            e.printStackTrace();
        }
        return str;
    }

    /**
     * 根据资源id读取字符串
     * @param rawId 资源id, 如: R.raw.origin_vertex
     */
    public static String loadString(Context context, int rawId) {
        String str = "";
        try (InputStream inputStream = context.getResources().openRawResource(rawId)) {
            str = loadString(inputStream);
        } catch (IOException e) {
            e.printStackTrace();
        }
        return str;
    }

    private static String loadString(InputStream inputStream) {
        StringBuilder sb = new StringBuilder();
        try (BufferedReader br = new BufferedReader(new InputStreamReader(inputStream))) {
            String line;
            while ((line = br.readLine()) != null) {
                sb.append(line).append("\n");
            }
        } catch (IOException e) {
            e.printStackTrace();
        }
        return sb.toString();
    }
}

​ 声明:本文转自【OpenGL ES】GLSL基础语法