大家好,我是小林。
上海有三巨头互联网公司薪资都开的很高,分别是得物、小红书、拼多多这三家,主要都是在高速发展的阶段,待遇开的确实很高。
但是工作强度也很高,比阿里、腾讯、美团等大厂的工作强度都高,之前网上看到一张互联网公司的每周工作时长的排行榜,得物和拼多多的平均工作时长最长,分别为 63.8 小时 与 62.4 小时,第五是小红书。
2024 年互联网公司的每周工作时长的排行榜
上周刚跟大家聊了**得物**,得物 ssp 薪资最高能到 60w 年薪,普通 offer 年薪也能高达 40w+。
这次来看看小红书 25 届后端开发岗的校招薪资
- 36k x 16 + 3.6w 签字费 + 21w(期权,分 4 年发) + 12 x 1k 房补 + 全年加班费约 7w = 70w 总包
- 30k x 16 + 3w 签字费 + 12 x 1k 房补 + 全年加班费约 6w = 58w 总包
- 28k x 16 + 12 x 1k 房补 + 全年加班费约 5w = 50w 总包
小红书工作强度比较大一些,有大小周加班的情况,所以有额外的全年加班费。房补每一月1k,但限制要在上海市中心租房。
目前小红书开奖的数据不多(数据来源offershow+读者分享),所以就找到了上面这三个数据,这里也贴一个去年 24 届小红书开发岗校招的薪资情况,供大家参考参考。
去年 24 届小红书开发岗校招的薪资
各位小伙伴们看完去年小红书的薪资后,想必大家挤破脑袋都想进入小红书,不过小红书的面试难度也特别高,一般人根本招架不住。
今天这位小红书的面经就特别有难度,小红书校招一面,竟然从OS、Redis、Java、MySQL等多个方面进行考量,一般人根本招架不住,接下来让我们一起来看看吧
考察的知识点,我给大家罗列了一下:
- Java:ConcurrentHashMap
- MySQL:存储引擎、锁、主从复制、B+树
- Redis: IO多路复用、线程模型、数据结构、跳表、压缩列表、缓存一致性问题
- OS: IO多路复用
- 算法:最小覆盖子串
OS
讲一下io多路复用
一个进程虽然任一时刻只能处理一个请求,但是处理每个请求的事件时,耗时控制在 1 毫秒以内,这样 1 秒内就可以处理上千个请求,把时间拉长来看,多个请求复用了一个进程,这就是多路复用,这种思想很类似一个 CPU 并发多个进程,所以也叫做时分多路复用。
我们熟悉的 select/poll/epoll 内核提供给用户态的多路复用系统调用,进程可以通过一个系统调用函数从内核中获取多个事件。
select/poll/epoll 是如何获取网络事件的呢?在获取事件时,先把所有连接(文件描述符)传给内核,再由内核返回产生了事件的连接,然后在用户态中再处理这些连接对应的请求即可。
select/poll/epoll 这是三个多路复用接口,都能实现 C10K 吗?接下来,我们分别说说它们。
select/poll
select 实现多路复用的方式是,将已连接的 Socket 都放到一个文件描述符集合,然后调用 select 函数将文件描述符集合拷贝到内核里,让内核来检查是否有网络事件产生,检查的方式很粗暴,就是通过遍历文件描述符集合的方式,当检查到有事件产生后,将此 Socket 标记为可读或可写, 接着再把整个文件描述符集合拷贝回用户态里,然后用户态还需要再通过遍历的方法找到可读或可写的 Socket,然后再对其处理。
所以,对于 select 这种方式,需要进行 2 次「遍历」文件描述符集合,一次是在内核态里,一个次是在用户态里 ,而且还会发生 2 次「拷贝」文件描述符集合,先从用户空间传入内核空间,由内核修改后,再传出到用户空间中。
select 使用固定长度的 BitsMap,表示文件描述符集合,而且所支持的文件描述符的个数是有限制的,在 Linux 系统中,由内核中的 FD_SETSIZE 限制, 默认最大值为 1024,只能监听 0~1023 的文件描述符。poll 不再用 BitsMap 来存储所关注的文件描述符,取而代之用动态数组,以链表形式来组织,突破了 select 的文件描述符个数限制,当然还会受到系统文件描述符限制。
但是 poll 和 select 并没有太大的本质区别,都是使用「线性结构」存储进程关注的 Socket 集合,因此都需要遍历文件描述符集合来找到可读或可写的 Socket,时间复杂度为 O(n),而且也需要在用户态与内核态之间拷贝文件描述符集合,这种方式随着并发数上来,性能的损耗会呈指数级增长。
epoll
先复习下 epoll 的用法。如下的代码中,先用epoll_create 创建一个 epol l对象 epfd,再通过 epoll_ctl 将需要监视的 socket 添加到epfd中,最后调用 epoll_wait 等待数据。
int s = socket(AF_INET, SOCK_STREAM, 0);
bind(s, ...);
listen(s, ...)
int epfd = epoll_create(...);
epoll_ctl(epfd, ...); //将所有需要监听的socket添加到epfd中
while(1) {
int n = epoll_wait(...);
for(接收到数据的socket){
//处理
}
}
epoll 通过两个方面,很好解决了 select/poll 的问题。
第一点,epoll 在内核里使用红黑树来跟踪进程所有待检测的文件描述字,把需要监控的 socket 通过 epoll_ctl() 函数加入内核中的红黑树里,红黑树是个高效的数据结构,增删改一般时间复杂度是 O(logn)。而 select/poll 内核里没有类似 epoll 红黑树这种保存所有待检测的 socket 的数据结构,所以 select/poll 每次操作时都传入整个 socket 集合给内核,而 epoll 因为在内核维护了红黑树,可以保存所有待检测的 socket ,所以只需要传入一个待检测的 socket,减少了内核和用户空间大量的数据拷贝和内存分配。
第二点, epoll 使用事件驱动的机制,内核里维护了一个链表来记录就绪事件,当某个 socket 有事件发生时,通过回调函数内核会将其加入到这个就绪事件列表中,当用户调用 epoll_wait() 函数时,只会返回有事件发生的文件描述符的个数,不需要像 select/poll 那样轮询扫描整个 socket 集合,大大提高了检测的效率。从下图你可以看到 epoll 相关的接口作用:
epoll 的方式即使监听的 Socket 数量越多的时候,效率不会大幅度降低,能够同时监听的 Socket 的数目也非常的多了,上限就为系统定义的进程打开的最大文件描述符个数。因而,epoll 被称为解决 C10K 问题的利器。
边缘触发和水平触发
epoll 支持两种事件触发模式,分别是边缘触发(edge-triggered,ET)和水平触发(level-triggered,LT) 。这两个术语还挺抽象的,其实它们的区别还是很好理解的。
- 使用边缘触发模式时,当被监控的 Socket 描述符上有可读事件发生时,服务器端只会从 epoll_wait 中苏醒一次,即使进程没有调用 read 函数从内核读取数据,也依然只苏醒一次,因此我们程序要保证一次性将内核缓冲区的数据读取完;
- 使用水平触发模式时,当被监控的 Socket 上有可读事件发生时,服务器端不断地从 epoll_wait 中苏醒,直到内核缓冲区数据被 read 函数读完才结束,目的是告诉我们有数据需要读取;
举个例子,你的快递被放到了一个快递箱里,如果快递箱只会通过短信通知你一次,即使你一直没有去取,它也不会再发送第二条短信提醒你,这个方式就是边缘触发;如果快递箱发现你的快递没有被取出,它就会不停地发短信通知你,直到你取出了快递,它才消停,这个就是水平触发的方式。
这就是两者的区别,水平触发的意思是只要满足事件的条件,比如内核中有数据需要读,就一直不断地把这个事件传递给用户;而边缘触发的意思是只有第一次满足条件的时候才触发,之后就不会再传递同样的事件了。
如果使用水平触发模式,当内核通知文件描述符可读写时,接下来还可以继续去检测它的状态,看它是否依然可读或可写。所以在收到通知后,没必要一次执行尽可能多的读写操作。
如果使用边缘触发模式,I/O 事件发生时只会通知一次,而且我们不知道到底能读写多少数据,所以在收到通知后应尽可能地读写数据,以免错失读写的机会。因此,我们会循环从文件描述符读写数据,那么如果文件描述符是阻塞的,没有数据可读写时,进程会阻塞在读写函数那里,程序就没办法继续往下执行。所以,边缘触发模式一般和非阻塞 I/O 搭配使用,程序会一直执行 I/O 操作,直到系统调用(如 read 和 write)返回错误,错误类型为 EAGAIN 或 EWOULDBLOCK。
一般来说,边缘触发的效率比水平触发的效率要高,因为边缘触发可以减少 epoll_wait 的系统调用次数,系统调用也是有一定的开销的的,毕竟也存在上下文的切换。
Redis
Redis怎么实现的io多路复用?
为什么 Redis 中要使用 I/O 多路复用这种技术呢?
因为 Redis 是跑在「单线程」中的,所有的操作都是按照顺序线性执行的,但是由于读写操作等待用户输入 或 输出都是阻塞的,所以 I/O 操作在一般情况下往往不能直接返回,这会导致某一文件的 I/O 阻塞导,致整个进程无法对其它客户提供服务。而 I/O 多路复用就是为了解决这个问题而出现的。为了让单线程(进程)的服务端应用同时处理多个客户端的事件,Redis 采用了 IO 多路复用机制。
这里“多路”指的是多个网络连接客户端,“复用”指的是复用同一个线程(单进程)。I/O 多路复用其实是使用一个线程来检查多个 Socket 的就绪状态,在单个线程中通过记录跟踪每一个 socket(I/O流)的状态来管理处理多个 I/O 流。如下图是 Redis 的 I/O 多路复用模型:
如上图对 Redis 的 I/O 多路复用模型进行一下描述说明:
- 一个 socket 客户端与服务端连接时,会生成对应一个套接字描述符(套接字描述符是文件描述符的一种),每一个 socket 网络连接其实都对应一个文件描述符。
- 多个客户端与服务端连接时,Redis 使用 I/O 多路复用程序 将客户端 socket 对应的 FD 注册到监听列表(一个队列)中。当客服端执行 read、write 等操作命令时,I/O 多路复用程序会将命令封装成一个事件,并绑定到对应的 FD 上。
- 文件事件处理器使用 I/O 多路复用模块同时监控多个文件描述符(fd)的读写情况,当 accept、read、write 和 close 文件事件产生时,文件事件处理器就会回调 FD 绑定的事件处理器进行处理相关命令操作。
例如:以 Redis 的 I/O 多路复用程序 epoll 函数为例。多个客户端连接服务端时,Redis 会将客户端 socket 对应的 fd 注册进 epoll,然后 epoll 同时监听多个文件描述符(FD)是否有数据到来,如果有数据来了就通知事件处理器赶紧处理,这样就不会存在服务端一直等待某个客户端给数据的情形。
- 整个文件事件处理器是在单线程上运行的,但是通过 I/O 多路复用模块的引入,实现了同时对多个 FD 读写的监控,当其中一个 client 端达到写或读的状态,文件事件处理器就马上执行,从而就不会出现 I/O 堵塞的问题,提高了网络通信的性能。
- Redis 的 I/O 多路复用模式使用的是 Reactor 设置模式的方式来实现。
Redis的网络模型是怎样的?
Redis 6.0 版本之前,是用的是单Reactor单线程的模式
单 Reactor 单进程的方案因为全部工作都在同一个进程内完成,所以实现起来比较简单,不需要考虑进程间通信,也不用担心多进程竞争。但是,这种方案存在 2 个缺点:
- 第一个缺点,因为只有一个进程,无法充分利用 多核 CPU 的性能;
- 第二个缺点,Handler 对象在业务处理时,整个进程是无法处理其他连接的事件的,如果业务处理耗时比较长,那么就造成响应的延迟;
所以,单 Reactor 单进程的方案不适用计算机密集型的场景,只适用于业务处理非常快速的场景。
Redis 是由 C 语言实现的,在 Redis 6.0 版本之前采用的正是「单 Reactor 单进程」的方案,因为 Redis 业务处理主要是在内存中完成,操作的速度是很快的,性能瓶颈不在 CPU 上,所以 Redis 对于命令的处理是单进程的方案。
到 Redis 6.0 之后,就将网络IO的处理改成多线程的方式了,目的是为了这是因为随着网络硬件的性能提升,Redis 的性能瓶颈有时会出现在网络 I/O 的处理上。
所以为了提高网络 I/O 的并行度,Redis 6.0 对于网络 I/O 采用多线程来处理。但是对于命令的执行,Redis 仍然使用单线程来处理,所以大家不要误解 Redis 有多线程同时执行命令。
Redis为什么快
官方使用基准测试的结果是,单线程的 Redis 吞吐量可以达到 10W/每秒,如下图所示:
img 之所以 Redis 采用单线程(网络 I/O 和执行命令)那么快,有如下几个原因:
- Redis 的大部分操作都在内存中完成,并且采用了高效的数据结构,因此 Redis 瓶颈可能是机器的内存或者网络带宽,而并非 CPU,既然 CPU 不是瓶颈,那么自然就采用单线程的解决方案了;
- Redis 采用单线程模型可以避免了多线程之间的竞争,省去了多线程切换带来的时间和性能上的开销,而且也不会导致死锁问题。
- Redis 采用了 I/O 多路复用机制处理大量的客户端 Socket 请求,IO 多路复用机制是指一个线程处理多个 IO 流,就是我们经常听到的 select/epoll 机制。简单来说,在 Redis 只运行单线程的情况下,该机制允许内核中,同时存在多个监听 Socket 和已连接 Socket。内核会一直监听这些 Socket 上的连接请求或数据请求。一旦有请求到达,就会交给 Redis 线程处理,这就实现了一个 Redis 线程处理多个 IO 流的效果。
Redis哪些地方使用了多线程
edis 单线程指的是「接收客户端请求->解析请求 ->进行数据读写等操作->发送数据给客户端」这个过程是由一个线程(主线程)来完成的,这也是我们常说 Redis 是单线程的原因。但是,Redis 程序并不是单线程的,Redis 在启动的时候,是会启动后台线程(BIO)的:
- Redis 在 2.6 版本,会启动 2 个后台线程,分别处理关闭文件、AOF 刷盘这两个任务;
- Redis 在 4.0 版本之后,新增了一个新的后台线程,用来异步释放 Redis 内存,也就是 lazyfree 线程。例如执行 unlink key / flushdb async / flushall async 等命令,会把这些删除操作交给后台线程来执行,好处是不会导致 Redis 主线程卡顿。因此,当我们要删除一个大 key 的时候,不要使用 del 命令删除,因为 del 是在主线程处理的,这样会导致 Redis 主线程卡顿,因此我们应该使用 unlink 命令来异步删除大key。
之所以 Redis 为「关闭文件、AOF 刷盘、释放内存」这些任务创建单独的线程来处理,是因为这些任务的操作都是很耗时的,如果把这些任务都放在主线程来处理,那么 Redis 主线程就很容易发生阻塞,这样就无法处理后续的请求了。后台线程相当于一个消费者,生产者把耗时任务丢到任务队列中,消费者(BIO)不停轮询这个队列,拿出任务就去执行对应的方法即可。
image.png
虽然 Redis 的主要工作(网络 I/O 和执行命令)一直是单线程模型,但是在 Redis 6.0 版本之后,也采用了多个 I/O 线程来处理网络请求,这是因为随着网络硬件的性能提升,Redis 的性能瓶颈有时会出现在网络 I/O 的处理上。
所以为了提高网络 I/O 的并行度,Redis 6.0 对于网络 I/O 采用多线程来处理。但是对于命令的执行,Redis 仍然使用单线程来处理,所以大家不要误解 Redis 有多线程同时执行命令。
Redis 官方表示,Redis 6.0 版本引入的多线程 I/O 特性对性能提升至少是一倍以上。
Redis 6.0 版本支持的 I/O 多线程特性,默认情况下 I/O 多线程只针对发送响应数据(write client socket),并不会以多线程的方式处理读请求(read client socket)。要想开启多线程处理客户端读请求,就需要把 Redis.conf 配置文件中的 io-threads-do-reads 配置项设为 yes。
//读请求也使用io多线程
io-threads-do-reads yes
同时, Redis.conf 配置文件中提供了 IO 多线程个数的配置项。
// io-threads N,表示启用 N-1 个 I/O 多线程(主线程也算一个 I/O 线程)
io-threads 4
关于线程数的设置,官方的建议是如果为 4 核的 CPU,建议线程数设置为 2 或 3,如果为 8 核 CPU 建议线程数设置为 6,线程数一定要小于机器核数,线程数并不是越大越好。因此, Redis 6.0 版本之后,Redis 在启动的时候,默认情况下会额外创建 6 个线程(这里的线程数不包括主线程):
- Redis-server :Redis的主线程,主要负责执行命令;
- bio_close_file、bio_aof_fsync、bio_lazy_free:三个后台线程,分别异步处理关闭文件任务、AOF刷盘任务、释放内存任务;
- io_thd_1、io_thd_2、io_thd_3:三个 I/O 线程,io-threads 默认是 4 ,所以会启动 3(4-1)个 I/O 多线程,用来分担 Redis 网络 I/O 的压力。
讲一下Redis底层的数据结构
Redis 提供了丰富的数据类型,常见的有五种数据类型:String(字符串),Hash(哈希),List(列表),Set(集合)、Zset(有序集合) 。
img
img 随着 Redis 版本的更新,后面又支持了四种数据类型:BitMap(2.2 版新增)、HyperLogLog(2.8 版新增)、GEO(3.2 版新增)、Stream(5.0 版新增) 。Redis 五种数据类型的应用场景:
- String 类型的应用场景:缓存对象、常规计数、分布式锁、共享 session 信息等。
- List 类型的应用场景:消息队列(但是有两个问题:1. 生产者需要自行实现全局唯一 ID;2. 不能以消费组形式消费数据)等。
- Hash 类型:缓存对象、购物车等。
- Set 类型:聚合计算(并集、交集、差集)场景,比如点赞、共同关注、抽奖活动等。
- Zset 类型:排序场景,比如排行榜、电话和姓名排序等。
Redis 后续版本又支持四种数据类型,它们的应用场景如下:
- BitMap(2.2 版新增):二值状态统计的场景,比如签到、判断用户登陆状态、连续签到用户总数等;
- HyperLogLog(2.8 版新增):海量数据基数统计的场景,比如百万级网页 UV 计数等;
- GEO(3.2 版新增):存储地理位置信息的场景,比如滴滴叫车;
- Stream(5.0 版新增):消息队列,相比于基于 List 类型实现的消息队列,有这两个特有的特性:自动生成全局唯一消息ID,支持以消费组形式消费数据。
跳表和压缩列表是怎么实现的?
跳表
Redis 只有 Zset 对象的底层实现用到了跳表,跳表的优势是能支持平均 O(logN) 复杂度的节点查找。
链表在查找元素的时候,因为需要逐一查找,所以查询效率非常低,时间复杂度是O(N),于是就出现了跳表。跳表是在链表基础上改进过来的,实现了一种「多层」的有序链表,这样的好处是能快读定位数据。
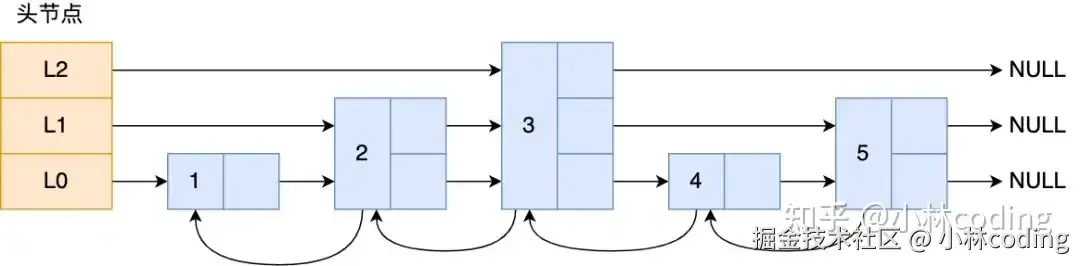
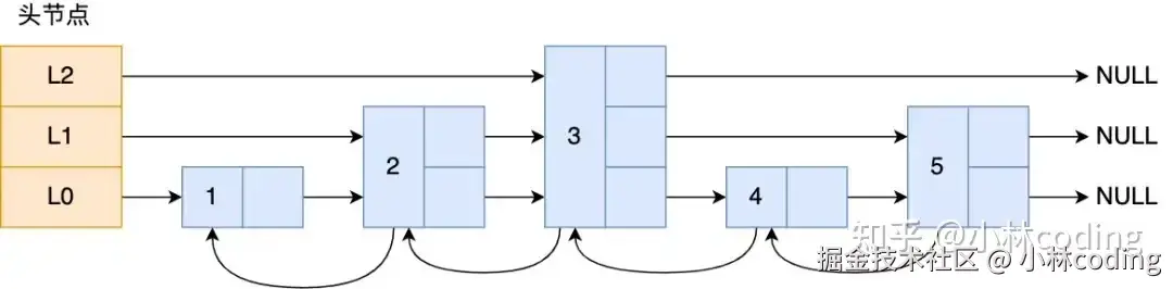
那跳表长什么样呢?我这里举个例子,下图展示了一个层级为 3 的跳表。
图中头节点有 L0~L2 三个头指针,分别指向了不同层级的节点,然后每个层级的节点都通过指针连接起来:
- L0 层级共有 5 个节点,分别是节点1、2、3、4、5;
- L1 层级共有 3 个节点,分别是节点 2、3、5;
- L2 层级只有 1 个节点,也就是节点 3 。
如果我们要在链表中查找节点 4 这个元素,只能从头开始遍历链表,需要查找 4 次,而使用了跳表后,只需要查找 2 次就能定位到节点 4,因为可以在头节点直接从 L2 层级跳到节点 3,然后再往前遍历找到节点 4。
可以看到,这个查找过程就是在多个层级上跳来跳去,最后定位到元素。当数据量很大时,跳表的查找复杂度就是 O(logN)。
那跳表节点是怎么实现多层级的呢?这就需要看「跳表节点」的数据结构了,如下:
typedef struct zskiplistNode {
//Zset 对象的元素值
sds ele;
//元素权重值
double score;
//后向指针
struct zskiplistNode *backward;
//节点的level数组,保存每层上的前向指针和跨度
struct zskiplistLevel {
struct zskiplistNode *forward;
unsigned long span;
} level[];
} zskiplistNode;
Zset 对象要同时保存「元素」和「元素的权重」,对应到跳表节点结构里就是 sds 类型的 ele 变量和 double 类型的 score 变量。每个跳表节点都有一个后向指针(struct zskiplistNode *backward),指向前一个节点,目的是为了方便从跳表的尾节点开始访问节点,这样倒序查找时很方便。
跳表是一个带有层级关系的链表,而且每一层级可以包含多个节点,每一个节点通过指针连接起来,实现这一特性就是靠跳表节点结构体中的zskiplistLevel 结构体类型的 level 数组。
level 数组中的每一个元素代表跳表的一层,也就是由 zskiplistLevel 结构体表示,比如 leve[0] 就表示第一层,leve[1] 就表示第二层。zskiplistLevel 结构体里定义了「指向下一个跳表节点的指针」和「跨度」,跨度时用来记录两个节点之间的距离。
比如,下面这张图,展示了各个节点的跨度。
第一眼看到跨度的时候,以为是遍历操作有关,实际上并没有任何关系,遍历操作只需要用前向指针(struct zskiplistNode *forward)就可以完成了。
Redis 跳表在创建节点的时候,随机生成每个节点的层数,并没有严格维持相邻两层的节点数量比例为 2 : 1 的情况。
具体的做法是,跳表在创建节点时候,会生成范围为[0-1]的一个随机数,如果这个随机数小于 0.25(相当于概率 25%),那么层数就增加 1 层,然后继续生成下一个随机数,直到随机数的结果大于 0.25 结束,最终确定该节点的层数。
这样的做法,相当于每增加一层的概率不超过 25%,层数越高,概率越低,层高最大限制是 64。
虽然我前面讲解跳表的时候,图中的跳表的「头节点」都是 3 层高,但是其实如果层高最大限制是 64,那么在创建跳表「头节点」的时候,就会直接创建 64 层高的头节点。
压缩列表
压缩列表是 Redis 为了节约内存而开发的,它是由连续内存块组成的顺序型数据结构,有点类似于数组。
压缩列表在表头有三个字段:
- zlbytes,记录整个压缩列表占用对内存字节数;
- zltail,记录压缩列表「尾部」节点距离起始地址由多少字节,也就是列表尾的偏移量;
- zllen,记录压缩列表包含的节点数量;
- zlend,标记压缩列表的结束点,固定值 0xFF(十进制255)。
在压缩列表中,如果我们要查找定位第一个元素和最后一个元素,可以通过表头三个字段(zllen)的长度直接定位,复杂度是 O(1)。而查找其他元素时,就没有这么高效了,只能逐个查找,此时的复杂度就是 O(N) 了,因此压缩列表不适合保存过多的元素。另外,压缩列表节点(entry)的构成如下:
压缩列表节点包含三部分内容:
- prevlen,记录了「前一个节点」的长度,目的是为了实现从后向前遍历;
- encoding,记录了当前节点实际数据的「类型和长度」,类型主要有两种:字符串和整数。
- data,记录了当前节点的实际数据,类型和长度都由 encoding 决定;
当我们往压缩列表中插入数据时,压缩列表就会根据数据类型是字符串还是整数,以及数据的大小,会使用不同空间大小的 prevlen 和 encoding 这两个元素里保存的信息,这种根据数据大小和类型进行不同的空间大小分配的设计思想,正是 Redis 为了节省内存而采用的。
压缩列表的缺点是会发生连锁更新的问题,因此连锁更新一旦发生,就会导致压缩列表占用的内存空间要多次重新分配,这就会直接影响到压缩列表的访问性能。
所以说,虽然压缩列表紧凑型的内存布局能节省内存开销,但是如果保存的元素数量增加了,或是元素变大了,会导致内存重新分配,最糟糕的是会有「连锁更新」的问题。
因此,压缩列表只会用于保存的节点数量不多的场景,只要节点数量足够小,即使发生连锁更新,也是能接受的。
虽说如此,Redis 针对压缩列表在设计上的不足,在后来的版本中,新增设计了两种数据结构:quicklist(Redis 3.2 引入) 和 listpack(Redis 5.0 引入)。这两种数据结构的设计目标,就是尽可能地保持压缩列表节省内存的优势,同时解决压缩列表的「连锁更新」的问题。
如何保证缓存的一致性?
缓存是通过牺牲强一致性来提高性能的。这是由CAP理论决定的。缓存系统适用的场景就是非强一致性的场景,它属于CAP中的AP。所以,如果需要数据库和缓存数据保持强一致,就不适合使用缓存。所以使用缓存提升性能,就是会有数据更新的延迟。这需要我们在设计时结合业务仔细思考是否适合用缓存。然后缓存一定要设置过期时间,这个时间太短、或者太长都不好:
- 太短的话请求可能会比较多的落到数据库上,这也意味着失去了缓存的优势。
- 太长的话缓存中的脏数据会使系统长时间处于一个延迟的状态,而且系统中长时间没有人访问的数据一直存在内存中不过期,浪费内存。
但是,通过一些方案优化处理,是可以最终一致性的。
针对删除缓存异常的情况,可以使用 2 个方案避免:
- 删除缓存重试策略(消息队列)
- 订阅 binlog,再删除缓存(Canal+消息队列)
消息队列方案
我们可以引入消息队列,将第二个操作(删除缓存)要操作的数据加入到消息队列,由消费者来操作数据。
- 如果应用删除缓存失败,可以从消息队列中重新读取数据,然后再次删除缓存,这个就是重试机制。当然,如果重试超过的一定次数,还是没有成功,我们就需要向业务层发送报错信息了。
- 如果删除缓存成功,就要把数据从消息队列中移除,避免重复操作,否则就继续重试。
举个例子,来说明重试机制的过程。
重试删除缓存机制还可以,就是会造成好多业务代码入侵。
订阅 MySQL binlog,再操作缓存
「先更新数据库,再删缓存」的策略的第一步是更新数据库,那么更新数据库成功,就会产生一条变更日志,记录在 binlog 里。
于是我们就可以通过订阅 binlog 日志,拿到具体要操作的数据,然后再执行缓存删除,阿里巴巴开源的 Canal 中间件就是基于这个实现的。
Canal 模拟 MySQL 主从复制的交互协议,把自己伪装成一个 MySQL 的从节点,向 MySQL 主节点发送 dump 请求,MySQL 收到请求后,就会开始推送 Binlog 给 Canal,Canal 解析 Binlog 字节流之后,转换为便于读取的结构化数据,供下游程序订阅使用。
下图是 Canal 的工作原理:
将binlog日志采集发送到MQ队列里面,然后编写一个简单的缓存删除消息者订阅binlog日志,根据更新log删除缓存,并且通过ACK机制确认处理这条更新log,保证数据缓存一致性
Java
ConcurrentHashMap为什么是线程安全的?
JDK 1.7 ConcurrentHashMap
在 JDK 1.7 中它使用的是数组加链表的形式实现的,而数组又分为:大数组 Segment 和小数组 HashEntry。Segment 是一种可重入锁(ReentrantLock),在 ConcurrentHashMap 里扮演锁的角色;HashEntry 则用于存储键值对数据。一个 ConcurrentHashMap 里包含一个 Segment 数组,一个 Segment 里包含一个 HashEntry 数组,每个 HashEntry 是一个链表结构的元素。
JDK 1.7 ConcurrentHashMap 分段锁技术将数据分成一段一段的存储,然后给每一段数据配一把锁,当一个线程占用锁访问其中一个段数据的时候,其他段的数据也能被其他线程访问,能够实现真正的并发访问。
JDK 1.8 ConcurrentHashMap
在 JDK 1.7 中,ConcurrentHashMap 虽然是线程安全的,但因为它的底层实现是数组 + 链表的形式,所以在数据比较多的情况下访问是很慢的,因为要遍历整个链表,而 JDK 1.8 则使用了数组 + 链表/红黑树的方式优化了 ConcurrentHashMap 的实现,具体实现结构如下:
JDK 1.8 ConcurrentHashMap JDK 1.8 ConcurrentHashMap 主要通过 volatile + CAS 或者 synchronized 来实现的线程安全的。添加元素时首先会判断容器是否为空:
-
如果为空则使用 volatile 加 CAS 来初始化
-
如果容器不为空,则根据存储的元素计算该位置是否为空。
- 如果根据存储的元素计算结果为空,则利用 CAS 设置该节点;
- 如果根据存储的元素计算结果不为空,则使用 synchronized ,然后,遍历桶中的数据,并替换或新增节点到桶中,最后再判断是否需要转为红黑树,这样就能保证并发访问时的线程安全了。
如果把上面的执行用一句话归纳的话,就相当于是ConcurrentHashMap通过对头结点加锁来保证线程安全的,锁的粒度相比 Segment 来说更小了,发生冲突和加锁的频率降低了,并发操作的性能就提高了。而且 JDK 1.8 使用的是红黑树优化了之前的固定链表,那么当数据量比较大的时候,查询性能也得到了很大的提升,从之前的 O(n) 优化到了 O(logn) 的时间复杂度。
OS
讲一下银行家算法
系统发生死锁是很正常的,我们需要主动去预防死锁,即进行有序的资源分配,使用银行家算法。银行家算法是最有代表性的避免死锁的算法。为什么叫银行家算法呢?就是这个算法的逻辑很像银行放贷的逻辑,也就是尽可能避免坏账的出现。银行家算法的业务逻辑如下。
- 不负荷执行:一个进程的最大需求量不超过系统拥有的总资源数,才会被接纳执行。
- 可分期:一个进程可以分期请求资源,但总请求书不可超过最大需求量。
- 推迟分配:当系统现有资源数小于进程需求时,对进程的需求可以延迟分配,但总让进程在有限时间内获取资源。
听起来有点绕,我们还是举个例子来说明。假如系统中有三类互斥资源 R1、R2、R3,可用资源数分别是 9、8、5,在指定时刻有 P1、P2、P3、P4 和 P5 这五个进程,这些进程的对三类互斥资源的最大需求量和已分配资源数如下表所示,那么系统如何先后运行这五个进程,不会发生死锁问题?
| 进程 | 最大需求量(分别为R1 R2 R3) | 已分配资源数(分别为R1 R2 R3) |
|---|---|---|
| P1 | 6 5 2 | 1 2 1 |
| P2 | 2 2 1 | 2 1 1 |
| P3 | 8 1 1 | 2 1 0 |
| P4 | 1 2 1 | 1 2 0 |
| P5 | 3 4 4 | 1 1 3 |
第一步:分析
首先分析首次需求的资源,系统剩余可用资源数分别是 2、1、0,各进程需要的资源数如下表所示。资源 R1 的剩余可用资源数 = 9 - 1 - 2 - 2 - 1 - 1 = 2。资源 R2 的剩余可用资源数 = 8 - 2 - 1 - 1 - 2 - 1 = 1。资源 R3 的剩余可用资源数 = 5 - 1 - 1 - 0 - 0 - 3 = 0。
| 进程 | 最大需求量 | 已分配资源数 | 首次分配需要的资源数 |
|---|---|---|---|
| P1 | 6 5 2 | 1 2 1 | 5 3 1 |
| P2 | 2 2 1 | 2 1 1 | 0 1 0 |
| P3 | 8 1 1 | 2 1 0 | 6 0 1 |
| P4 | 1 2 1 | 1 2 0 | 0 0 1 |
| P5 | 3 4 4 | 1 1 3 | 2 3 1 |
根据银行家算法不负荷原则【一个进程的最大需求量不超过系统拥有的总资源数,才会被接纳执行】,优先给进程 P2 执行,因为剩余的 0 1 0 资源够让 P2 执行。
第二步:执行 P2
P2 执行之后,释放了刚刚放入的 2 1 0 资源,而且可以释放已分配的 2 1 1 资源,所以此时的资源剩余量。资源 R1 的剩余可用资源数 = 原资源数 - 执行 P2 消耗数 + P2 执行完释放的资源数 = 2 - 0 +(2 + 0) = 4。资源 R2 的剩余可用资源数 = 原资源数 - 执行 P2 消耗数 + P2 执行完释放的资源数 = 1 - 1 + (1 + 1) = 2。资源 R3 的剩余可用资源数 = 原资源数 - 执行 P2 消耗数 + P2 执行完释放的资源数 = 0 - 0 +(0 + 1) = 1。执行完成 P2 后,操作系统剩余可用资源数为 4 2 1。
| 进程 | 最大需求量 | 已分配资源数 | 第二次分配需要的资源数 |
|---|---|---|---|
| P1 | 6 5 2 | 1 2 1 | 5 3 1 |
| P2 | 完成 | 完成 | 完成 |
| P3 | 8 1 1 | 2 1 0 | 6 0 1 |
| P4 | 1 2 1 | 1 2 0 | 0 0 1 |
| P5 | 3 4 4 | 1 1 3 | 2 3 1 |
第三步:执行 P4
此时操作系统剩余可用资源数为 4 2 1,只能执行进程 P4,因为其他进程资源不够。P4 执行之后,释放了刚刚放入的 0 0 1 资源,而且可以释放已分配的 1 2 1 资源,所以此时的资源剩余量。资源 R1 的剩余可用资源数 = 原资源数 - 执行 P4 消耗数 + P4 执行完释放的资源数 = 4 - 0 +(1 + 0) = 5。资源 R2 的剩余可用资源数 = 原资源数 - 执行 P4 消耗数 + P4 执行完释放的资源数 = 2 - 0 + (2 + 0) = 4。资源 R3 的剩余可用资源数 = 原资源数 - 执行 P4 消耗数 + P4 执行完释放的资源数 = 1 - 1 +(1 + 1) = 2。执行完成 P4 后,操作系统剩余可用资源数为 5 4 2。
| 进程 | 最大需求量 | 已分配资源数 | 第三次分配需要的资源数 |
|---|---|---|---|
| P1 | 6 5 2 | 1 2 1 | 5 3 1 |
| P2 | 完成 | 完成 | 完成 |
| P3 | 8 1 1 | 2 1 0 | 6 0 1 |
| P4 | 完成 | 完成 | 完成 |
| P5 | 3 4 4 | 1 1 3 | 2 3 1 |
第四步:执行 P5
此时操作系统剩余可用资源数为 5 4 2,只能执行进程 P5,因为其他进程资源不够。P5 执行之后,释放了刚刚放入的 2 3 1 资源,而且可以释放已分配的 1 1 3 资源,所以此时的资源剩余量。资源 R1 的剩余可用资源数 = 原资源数 - 执行 P5 消耗数 + P5 执行完释放的资源数 = 5 - 2 +(1 + 2) = 6。资源 R2 的剩余可用资源数 = 原资源数 - 执行 P5 消耗数 + P5 执行完释放的资源数 = 4 - 3 + (1 + 3) = 5。资源 R3 的剩余可用资源数 = 原资源数 - 执行 P5 消耗数 + P5 执行完释放的资源数 = 2 - 1 +(3 + 1) = 5。执行完成 P5 后,操作系统剩余可用资源数为 6 5 5。
| 进程 | 最大需求量 | 已分配资源数 | 第三次分配需要的资源数 |
|---|---|---|---|
| P1 | 6 5 2 | 1 2 1 | 5 3 1 |
| P2 | 完成 | 完成 | 完成 |
| P3 | 8 1 1 | 2 1 0 | 6 0 1 |
| P4 | 完成 | 完成 | 完成 |
| P5 | 完成 | 完成 | 完成 |
第五步:执行 P1 或者 P3
此时操作系统剩余可用资源数为 6 5 5,可以执行 P1 或 P3。所以安全执行顺序为 p2 => p4 => p5 => p1 => p3 或 p2 => p4 => p5 => p3 => p1。
在这里插入图片描述 或
在这里插入图片描述
银行家算法总结
银行家算法的核心思想,就是在分配给进程资源前,首先判断这个进程的安全性,也就是预执行,判断分配后是否产生死锁现象。如果系统当前资源能满足其执行,则尝试分配,如果不满足则让该进程等待。通过不断检查剩余可用资源是否满足某个进程的最大需求,如果可以则加入安全序列,并把该进程当前持有的资源回收;不断重复这个过程,看最后能否实现让所有进程都加入安全序列。 安全序列一定不会发生死锁,但没有死锁不一定是安全序列。
讲一下页表
分页是把整个虚拟和物理内存空间切成一段段固定尺寸的大小。这样一个连续并且尺寸固定的内存空间,我们叫页(Page)。在 Linux 下,每一页的大小为 4KB。虚拟地址与物理地址之间通过页表来映射,如下图:
页表是存储在内存里的,内存管理单元 (MMU)就做将虚拟内存地址转换成物理地址的工作。
而当进程访问的虚拟地址在页表中查不到时,系统会产生一个缺页异常,进入系统内核空间分配物理内存、更新进程页表,最后再返回用户空间,恢复进程的运行。
内存分页由于内存空间都是预先划分好的,也就不会像内存分段一样,在段与段之间会产生间隙非常小的内存,这正是分段会产生外部内存碎片的原因。而采用了分页,页与页之间是紧密排列的,所以不会有外部碎片。
但是,因为内存分页机制分配内存的最小单位是一页,即使程序不足一页大小,我们最少只能分配一个页,所以页内会出现内存浪费,所以针对内存分页机制会有内部内存碎片的现象。
在分页机制下,虚拟地址分为两部分,页号和页内偏移。页号作为页表的索引,页表包含物理页每页所在物理内存的基地址,这个基地址与页内偏移的组合就形成了物理内存地址,见下图。
总结一下,对于一个内存地址转换,其实就是这样三个步骤:
- 把虚拟内存地址,切分成页号和偏移量;
- 根据页号,从页表里面,查询对应的物理页号;
- 直接拿物理页号,加上前面的偏移量,就得到了物理内存地址。
下面举个例子,虚拟内存中的页通过页表映射为了物理内存中的页,如下图:
讲下为什么进程之下还要设计线程,线程之间怎么通信的
为什么要设计线程
我们举个例子,假设你要编写一个视频播放器软件,那么该软件功能的核心模块有三个:
- 从视频文件当中读取数据;
- 对读取的数据进行解压缩;
- 把解压缩后的视频数据播放出来;
对于单进程的实现方式,我想大家都会是以下这个方式:
对于单进程的这种方式,存在以下问题:
- 播放出来的画面和声音会不连贯,因为当 CPU 能力不够强的时候,Read 的时候可能进程就等在这了,这样就会导致等半天才进行数据解压和播放;
- 各个函数之间不是并发执行,影响资源的使用效率;
那改进成多进程的方式:
对于多进程的这种方式,依然会存在问题:
- 进程之间如何通信,共享数据?
- 维护进程的系统开销较大,如创建进程时,分配资源、建立 PCB;终止进程时,回收资源、撤销 PCB;进程切换时,保存当前进程的状态信息;
那到底如何解决呢?需要有一种新的实体,满足以下特性:
- 实体之间可以并发运行;
- 实体之间共享相同的地址空间;
这个新的实体,就是线程( Thread ) ,线程之间可以并发运行且共享相同的地址空间。
线程间的通信方式
Linux系统提供了五种用于线程通信的方式:互斥锁、读写锁、条件变量、自旋锁和信号量。
- 互斥锁(Mutex) :互斥量(mutex)从本质上说是一把锁,在访问共享资源前对互斥量进行加锁,在访问完成后释放互斥量上的锁。对互斥量进行加锁以后,任何其他试图再次对互斥锁加锁的线程将会阻塞直到当前线程释放该互斥锁。如果释放互斥锁时有多个线程阻塞,所有在该互斥锁上的阻塞线程都会变成可运行状态,第一个变为运行状态的线程可以对互斥锁加锁,其他线程将会看到互斥锁依然被锁住,只能回去再次等待它重新变为可用。
- 条件变量(Condition Variables) :条件变量(cond)是在多线程程序中用来实现"等待--》唤醒"逻辑常用的方法。条件变量利用线程间共享的全局变量进行同步的一种机制,主要包括两个动作:一个线程等待"条件变量的条件成立"而挂起;另一个线程使“条件成立”。为了防止竞争,条件变量的使用总是和一个互斥锁结合在一起。线程在改变条件状态前必须首先锁住互斥量,函数pthread_cond_wait把自己放到等待条件的线程列表上,然后对互斥锁解锁(这两个操作是原子操作)。在函数返回时,互斥量再次被锁住。
- 自旋锁(Spinlock) :自旋锁通过 CPU 提供的 CAS 函数(Compare And Swap),在「用户态」完成加锁和解锁操作,不会主动产生线程上下文切换,所以相比互斥锁来说,会快一些,开销也小一些。一般加锁的过程,包含两个步骤:第一步,查看锁的状态,如果锁是空闲的,则执行第二步;第二步,将锁设置为当前线程持有;使用自旋锁的时候,当发生多线程竞争锁的情况,加锁失败的线程会「忙等待」,直到它拿到锁。CAS 函数就把这两个步骤合并成一条硬件级指令,形成原子指令,这样就保证了这两个步骤是不可分割的,要么一次性执行完两个步骤,要么两个步骤都不执行。这里的「忙等待」可以用 while 循环等待实现,不过最好是使用 CPU 提供的 PAUSE 指令来实现「忙等待」,因为可以减少循环等待时的耗电量。
- 信号量(Semaphores) :信号量可以是命名的(有名信号量)或无名的(仅限于当前进程内的线程),用于控制对资源的访问次数。通常信号量表示资源的数量,对应的变量是一个整型(sem)变量。另外,还有两个原子操作的系统调用函数来控制信号量的,分别是:P 操作:将 sem 减 1,相减后,如果 sem < 0,则进程/线程进入阻塞等待,否则继续,表明 P 操作可能会阻塞;V 操作:将 sem 加 1,相加后,如果 sem <= 0,唤醒一个等待中的进程/线程,表明 V 操作不会阻塞;
- 读写锁(Read-Write Locks) :读写锁从字面意思我们也可以知道,它由「读锁」和「写锁」两部分构成,如果只读取共享资源用「读锁」加锁,如果要修改共享资源则用「写锁」加锁。所以,读写锁适用于能明确区分读操作和写操作的场景。读写锁的工作原理是:当「写锁」没有被线程持有时,多个线程能够并发地持有读锁,这大大提高了共享资源的访问效率,因为「读锁」是用于读取共享资源的场景,所以多个线程同时持有读锁也不会破坏共享资源的数据。但是,一旦「写锁」被线程持有后,读线程的获取读锁的操作会被阻塞,而且其他写线程的获取写锁的操作也会被阻塞。所以说,写锁是独占锁,因为任何时刻只能有一个线程持有写锁,类似互斥锁和自旋锁,而读锁是共享锁,因为读锁可以被多个线程同时持有。知道了读写锁的工作原理后,我们可以发现,读写锁在读多写少的场景,能发挥出优势。
MySQL
讲一讲mysql的引擎吧,你有什么了解?
MySQL中常用的存储引擎分别是:MyISAM存储引擎、innoDB存储引擎,他们的区别在于:
- 事务:InnoDB 支持事务,MyISAM 不支持事务,这是 MySQL 将默认存储引擎从 MyISAM 变成 InnoDB 的重要原因之一。
- 索引结构:InnoDB 是聚簇索引,MyISAM 是非聚簇索引。聚簇索引的文件存放在主键索引的叶子节点上,因此 InnoDB 必须要有主键,通过主键索引效率很高。但是辅助索引需要两次查询,先查询到主键,然后再通过主键查询到数据。因此,主键不应该过大,因为主键太大,其他索引也都会很大。而 MyISAM 是非聚簇索引,数据文件是分离的,索引保存的是数据文件的指针。主键索引和辅助索引是独立的。
- 锁粒度:InnoDB 最小的锁粒度是行锁,MyISAM 最小的锁粒度是表锁。一个更新语句会锁住整张表,导致其他查询和更新都会被阻塞,因此并发访问受限。
- count 的效率:InnoDB 不保存表的具体行数,执行 select count(*) from table 时需要全表扫描。而MyISAM 用一个变量保存了整个表的行数,执行上述语句时只需要读出该变量即可,速度很快。
讲一下mysql里的锁?
在 MySQL 里,根据加锁的范围,可以分为全局锁、表级锁和行锁三类。
-
全局锁:通过flush tables with read lock 语句会将整个数据库就处于只读状态了,这时其他线程执行以下操作,增删改或者表结构修改都会阻塞。全局锁主要应用于做全库逻辑备份,这样在备份数据库期间,不会因为数据或表结构的更新,而出现备份文件的数据与预期的不一样。
-
表级锁:MySQL 里面表级别的锁有这几种:
- 表锁:通过lock tables 语句可以对表加表锁,表锁除了会限制别的线程的读写外,也会限制本线程接下来的读写操作。
- 元数据锁:当我们对数据库表进行操作时,会自动给这个表加上 MDL,对一张表进行 CRUD 操作时,加的是 MDL 读锁;对一张表做结构变更操作的时候,加的是 MDL 写锁;MDL 是为了保证当用户对表执行 CRUD 操作时,防止其他线程对这个表结构做了变更。
- 意向锁:当执行插入、更新、删除操作,需要先对表加上「意向独占锁」,然后对该记录加独占锁。意向锁的目的是为了快速判断表里是否有记录被加锁。
-
行级锁:InnoDB 引擎是支持行级锁的,而 MyISAM 引擎并不支持行级锁。
- 记录锁,锁住的是一条记录。而且记录锁是有 S 锁和 X 锁之分的,满足读写互斥,写写互斥
- 间隙锁,只存在于可重复读隔离级别,目的是为了解决可重复读隔离级别下幻读的现象。
- Next-Key Lock 称为临键锁,是 Record Lock + Gap Lock 的组合,锁定一个范围,并且锁定记录本身。
MySQL主从复制了解吗
MySQL 的主从复制依赖于 binlog ,也就是记录 MySQL 上的所有变化并以二进制形式保存在磁盘上。复制的过程就是将 binlog 中的数据从主库传输到从库上。这个过程一般是异步的,也就是主库上执行事务操作的线程不会等待复制 binlog 的线程同步完成。
MySQL 集群的主从复制过程梳理成 3 个阶段:
- 写入 Binlog:主库写 binlog 日志,提交事务,并更新本地存储数据。
- 同步 Binlog:把 binlog 复制到所有从库上,每个从库把 binlog 写到暂存日志中。
- 回放 Binlog:回放 binlog,并更新存储引擎中的数据。
具体详细过程如下:
- MySQL 主库在收到客户端提交事务的请求之后,会先写入 binlog,再提交事务,更新存储引擎中的数据,事务提交完成后,返回给客户端“操作成功”的响应。
- 从库会创建一个专门的 I/O 线程,连接主库的 log dump 线程,来接收主库的 binlog 日志,再把 binlog 信息写入 relay log 的中继日志里,再返回给主库“复制成功”的响应。
- 从库会创建一个用于回放 binlog 的线程,去读 relay log 中继日志,然后回放 binlog 更新存储引擎中的数据,最终实现主从的数据一致性。
在完成主从复制之后,你就可以在写数据时只写主库,在读数据时只读从库,这样即使写请求会锁表或者锁记录,也不会影响读请求的执行。
主从延迟都有什么处理方法?
强制走主库方案:对于大事务或资源密集型操作,直接在主库上执行,避免从库的额外延迟。
B+树的特点是什么?
- B+树是一种自平衡的多路查找树,所有叶节点都位于同一层,保证了树的平衡,使得搜索、插入和删除操作的时间复杂度为对数级别的。
- 非叶节点仅包含索引信息,不存储具体的数据记录,它们只用来引导搜索到正确的叶节点。非叶节点的子树指针与关键字数量相同,每个子树指针指向一个子树,子树中的所有键值都在某个区间内。
- 所有数据记录都存储在叶节点中,且叶节点中的数据是按关键字排序的。叶节点包含实际的数据和关键字,它们是数据存储和检索的实体单元。叶节点之间通过指针相互链接,形成一个链表,便于范围查询和顺序遍历。
手撕
- 最小覆盖子串
必看图解
- 👉《图解网络》 :500 张图 + 15 万字贯穿计算机网络重点知识
- 👉《图解系统》:400 张图 + 16 万字贯穿操作系统重点知识
- 👉《图解MySQL》:重点突击 MySQL 索引、事务、锁、日志等面试高频知识
- 👉《图解Redis》:重点突击 Redis 数据结构、持久化、集群、缓存等面试高频知识
- 👉《Java后端面试题》:涵盖字节、阿里、腾讯、美团、快手、京东、小红书等大厂的面试题
- 👉《吊打面试官》:涵盖消息队列、系统设计、场景题、计算机基础、数据库等面试题