K路归并及败者树:图数据库中的高效排序策略

400 阅读8分钟

在大规模图数据处理的场景下,如何高效地排序海量数据是一个核心问题。传统排序算法在面对大规模数据时往往显得力不从心,因此需要更复杂和高效的方法来应对这一挑战。

在Gdmbase的开发过程中,我们面临一个典型问题:需要对来自多个节点的有序数据进行合并排序。这些节点内的数据已经是有序的,但由于我们无法预估数据的具体规模,无法将所有数据一次性加载到内存中进行统一排序,因此,直接排序并不可行。在这种情况下,多路归并成为了理想的选择。

K路归并和败者树是应对此类问题的高效排序策略。通过这些算法,我们可以在保证内存占用低的前提下,实现多个有序数据源的高效合并排序。本文将深入介绍这两种算法在图数据库中的应用,以及它们如何帮助我们解决数据合并中的挑战。

K路归并

K路归并(K-way Merge)是一种扩展的归并排序算法,用于将多个(通常是K个)有序序列合并为一个更大的有序序列。与二路归并(只合并两个有序序列)不同,K路归并可以同时处理K个序列,这在需要处理大规模数据时显得非常有效。

其广泛应用于外部排序和分布式系统中。在这些场景下,数据量超出内存的处理能力,因此需要分批次地进行排序和合并。例如,大型数据集的排序可以分为两个阶段:首先对数据进行分块,并对每个块独立排序;然后使用K路归并将这些排序好的块合并成一个最终的有序序列。

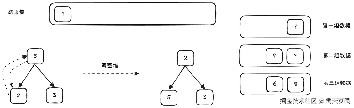
以下讨论均基于从小到大排序,对于K路归并,很容易想到对于每次排序,仅获取K路中最小值并将其插入最终的结果中即可实现K路排序的效果,但是每次都将K个元素做比较获取其中的最小值未免有些复杂。是否存在一种数据结构能够保存上次比较结果,并用于下次比较,加快排序效率?最容易想到便是“最小堆”。

基于最小堆和败者树

基于堆的K路归并是一种高效的算法,用于将K个已排序的序列合并成一个有序的序列。由最小堆的性质而言,堆顶总是最小的元素,移除堆顶后,将最后一个元素替换到堆顶并调整节点使其符合最小堆,由于堆的高度为o(log k),最坏的情况需要从根节点一直调整到叶节点,因此通过最小堆排序的时间复杂度为o(nlog k),通过该数据结构加速找到当前所有序列中最小的元素,并将其添加到合并结果中。

败者树和堆的理论时间复杂度虽然都是o(nlog k)。然而,在常数因子和实现细节上,败者树通常具有更低的常数因子,因此可能在实际应用中表现更好,特别是在K较小的情况下,即在每次插入新元素时,只有logK次比较,因为树的高度为logK。在大规模图数据处理场景中,特别是需要频繁合并和更新的大型有序数据集,败者树可以显著提高效率。以下是基于堆的K路归并的详细步骤和关键点。

基于堆的K路归并步骤

1.初始化最小堆:

  • 为每个输入的有序序列,取出它的第一个元素,并将这些元素插入到一个最小堆中。每个元素需要包含两个信息:该元素的值和它来自的序列的索引,以便在后续步骤中追踪和更新。
  • 最小堆的作用是维护当前K个序列的最小元素,以确保每次从堆中取出的都是所有序列中的最小值。

  1. 合并过程:

  • 反复执行以下操作,直到堆为空:
  • 从最小堆中取出堆顶元素(即当前最小的元素),将该元素添加到合并结果序列中。
  • 从该元素所在的序列中取出下一个元素,如果该序列还有剩余的元素,则将这个新元素插入到最小堆中。这样可以保持堆中始终有K个(或者剩余的非空序列数)元素。

  • 这个过程一直进行,直到所有序列中的元素都被处理完。

3.终止条件:

  • 当最小堆为空时,表示所有序列的所有元素都已合并到结果序列中,K路归并过程结束。

示例

// Element 包含了一个元素的值及其所在数组的索引和在该数组中的位置
type Element struct {
value      int
arrayIndex int
elementIndex int
}
// MinHeap 实现了heap.Interface接口,并保存了Element
type MinHeap []Element
// Len 是最小堆中元素的数量
func (h MinHeap) Len() int { return len(h) }
// Less 比较两个Element的值
func (h MinHeap) Less(i, j int) bool { return h[i].value < h[j].value }
// Swap 交换两个Element的位置
func (h MinHeap) Swap(i, j int) { h[i], h[j] = h[j], h[i] }
// Push 将新元素添加到堆中
func (h *MinHeap) Push(x interface{}) {
*h = append(*h, x.(Element))
}
// Pop 移除并返回堆顶元素
func (h *MinHeap) Pop() interface{} {
old := *h
n := len(old)
element := old[n-1]
*h = old[0 : n-1]
return element
}
// KWayMerge 合并K个已排序的数组
func KWayMerge(arrays [][]int) []int {
var minHeap MinHeap
heap.Init(&minHeap)
// 将每个数组的第一个元素加入堆中
for i, array := range arrays {
if len(array) > 0 {
heap.Push(&minHeap, Element{value: array[0], arrayIndex: i, elementIndex: 0})
}
}
var result []int
// 取堆顶元素,并将其从对应的数组中移除,同时将下一个元素加入堆中
for minHeap.Len() > 0 {
smallest := heap.Pop(&minHeap).(Element)
result = append(result, smallest.value)
if nextIndex := smallest.elementIndex + 1; nextIndex < len(arrays[smallest.arrayIndex]) {
nextElement := arrays[smallest.arrayIndex][nextIndex]
heap.Push(&minHeap, Element{value: nextElement, arrayIndex: smallest.arrayIndex, elementIndex: nextIndex})
}
}
return result
}

基于败者树的K路归并

败者树(Loser Tree)是一种完全二叉树的变体,叶节点是需要排序的元素,非叶节点用于记录两个子节点中败者,与堆不同的是,败者树中的根节点表示的是失败者,而堆则是我们需要的最小值,所以在败者树中往往需要在根节点上再加一个节点表示比赛的最终胜者。

败者树的主要特点和步骤如下:

  1. 构建树结构:将每个有序序列的首元素放入一个数组,构成败者树的叶节点。然后自底向上构建树的内部节点,每个内部节点保存的是两个子节点中较大元素的索引。

  1. 合并过程:

  • 从树根开始,输出对应叶节点的元素(即当前K个序列中的最小值)。

  • 将输出元素所在序列的下一个元素替换到相应的叶节点。
  • 更新树结构,重新计算内部节点的值,确保根节点始终保存当前最小值。

示例

// Element 包含了一个元素的值及其所在数组的索引和在该数组中的位置
type Element struct {
value        int
arrayIndex   int
elementIndex int
}
// LoserTree 结构体
type LoserTree struct {
// 存储元素的索引,-1表示该位置没有有效元素
nodes    []int
leaves   []Element
leafSize int
}
// NewLoserTree 创建败者树
func NewLoserTree(arrays [][]int) *LoserTree {
leafSize := len(arrays)
leaves := make([]Element, leafSize)
nodes := make([]int, leafSize)
// 初始化叶子节点
for i := range arrays {
if len(arrays[i]) > 0 {
leaves[i] = Element{value: arrays[i][0], arrayIndex: i, elementIndex: 0}
} else {
// 使用最大值填充空的叶子节点
leaves[i] = Element{value: math.MaxInt, arrayIndex: i, elementIndex: 0}
}
nodes[i] = -1
}
tree := &LoserTree{nodes: nodes, leaves: leaves, leafSize: leafSize}
tree.build()
return tree
}
// build 构建败者树
func (lt *LoserTree) build() {
for i := 0; i < lt.leafSize; i++ {
lt.nodes[i] = -1
}
for i := 0; i < lt.leafSize; i++ {
lt.adjust(i)
}
}
// adjust 调整败者树
func (lt *LoserTree) adjust(s int) {
t := (s + lt.leafSize) / 2
for t > 0 {
if lt.nodes[t] == -1 {
lt.nodes[t] = s
break
}
if lt.leaves[s].value > lt.leaves[lt.nodes[t]].value {
s, lt.nodes[t] = lt.nodes[t], s
}
t /= 2
}
lt.nodes[0] = s
}
// Next 取出当前最小元素并更新败者树
func (lt *LoserTree) Next(arrays [][]int) (int, bool) {
// nodes[0]存储的是最小元素的索引
minIndex := lt.nodes[0]
if minIndex == -1 || lt.leaves[minIndex].value == math.MaxInt {
return 0, false
}
// 取出最小元素的值
minValue := lt.leaves[minIndex].value
nextElementIndex := lt.leaves[minIndex].elementIndex + 1
// 更新最小元素的值
if nextElementIndex < len(arrays[lt.leaves[minIndex].arrayIndex]) {
lt.leaves[minIndex].value = arrays[lt.leaves[minIndex].arrayIndex][nextElementIndex]
lt.leaves[minIndex].elementIndex = nextElementIndex
} else {
// 若该序列元素已经取完,则使用最大值填充
lt.leaves[minIndex].value = math.MaxInt
}
// 调整败者树
lt.adjust(minIndex)
return minValue, true
} 

结论

K路归并和败者树是处理大规模图数据排序的高效工具,在数据量超出内存容量的场景下展现了出色的性能。K路归并通过堆结构实现了多源数据的逐步合并,而败者树则进一步优化了比较和更新的效率,使得大规模图数据处理更为顺畅。在图数据Gdmbase的开发中,这两种算法的灵活运用不仅解决了多节点数据合并的问题,还显著提升了整体处理速度和资源利用率。

对于开发者而言,掌握这些排序策略不仅能应对当前的数据挑战,还能为未来的数据增长做好准备。在大数据时代,算法优化是性能提升的关键,而我们不断优化每一个细节,正是为了让Gdmbase达到更高的效率与性能,为用户带来更优质的体验。

GDMBASE - 分布式原生图数据库