Java 数据结构——TreeMap

229 阅读28分钟


Java 数据结构——TreeMap
1 . TreeMap概述2. 红黑树回顾3. TreeMap 的说明书4. TreeMap的主要内部构成comparatorrootsizemodCountEntry5. TreeMap构造函数默认构造函数指定 Comparator基于Map 的创建基于SortedMap 创建二 常用方法1. put方法2. get 方法3. remove方法4. 遍历三 例子自然顺序自定义排序四. 总结

Java 数据结构——TreeMap

前面我们分别讲了Map接口的两个实现类HashMap和LinkedHashMap本章我们讲一下Map接口另一个重要的实现类TreeMap

TreeMap,虽然也是个 Map,但存在感太低了,导致TreeMap我只在面试之前学习一下,哈哈

TreeMap或许不如HashMap那么常用,但存在即合理,它也有自己的应用场景,TreeMap可以实现元素的自动排序

之前 LinkedHashMap 那篇文章里提到过了,HashMap 是无序的,所有有了 LinkedHashMap,加上了双向链表后,就可以保持元素的插入顺序或者访问顺序,那 TreeMap 呢,TreeMap 由红黑树实现,可以保持元素的自然顺序,这里指的是实现了 Comparable 接口的自然排序,或者是由Comparator定义的自定义排序,关于Comparable和Comparator可以查看深度剖析—Comparable和Comparator一文掌握Comparator的数十种用法

在开始之前我们先看一个例子,还是我们前面在学习LinkedHashMap 时引入的例子,我们想在页面展示一周内的消费变化情况,用echarts面积图进行展示。如下:

image-20201127231231411

我们是借助LinkedHashMap维持了元素的插入顺序,然后我们就得到了想要的顺序,从星期一到星期日,但是这个要求我们的插入顺序就必须是我们想要的顺序,但是有时候我们不能做到这一点,例如周二是大促,数据量大对账系统还没有计算出来

public  void test() {
    LinkedHashMap<String, Integer> map = new LinkedHashMap<>();
    map.put("星期一", 40);
    map.put("星期三", 35);
    // 对账系统在周三的时候才计算出来
    map.put("星期二", 43);
    map.put("星期四", 55);
    map.put("星期五", 45);
    map.put("星期六", 35);
    map.put("星期日", 30);
    for (Map.Entry<String, Integer> entry : map.entrySet()){
        System.out.println("key: " + entry.getKey() + ", value: " + entry.getValue());
    }
}
​

这个时候我们看看发生了什么,结果不对了

key: 星期一, value: 40
key: 星期三, value: 35
key: 星期二, value: 43
key: 星期四, value: 55
key: 星期五, value: 45
key: 星期六, value: 35
key: 星期日, value: 30

接下来我们看一下TreeMap 是能否满足我们的要求,这里我们对程序稍微改动一下,星期一 到星期日 依次用1到7代替,因为要根据key 进行排序,如果你不满意这个操作也可以重新键一个map 维护数字和日期的关系,等输出的时候再将数字替换成日期

@Test
public  void test() {
    TreeMap<String, Integer> map = new TreeMap<>();
    map.put("1", 40);
    map.put("3", 35);
    // 对账系统在周三的时候才计算出来
    map.put("2", 43);
    map.put("4", 55);
    map.put("5", 45);
    map.put("6", 35);
    map.put("7", 30);
    System.out.println(map);
}

输出结果

key: 1, value: 40
key: 2, value: 43
key: 3, value: 35
key: 4, value: 55
key: 5, value: 45
key: 6, value: 35
key: 7, value: 30

1 . TreeMap概述

  1. TreeMap存储K-V键值对,通过红黑树(R-B tree)实现;
  2. TreeMap继承了NavigableMap接口,NavigableMap接口继承了SortedMap接口,可支持一系列的导航定位以及导航操作的方法,当然只是提供了接口,需要TreeMap自己去实现;
  3. TreeMap实现了Cloneable接口,可被克隆,实现了Serializable接口,可序列化;
  4. TreeMap因为是通过红黑树实现,红黑树结构天然支持排序,默认情况下通过Key值的自然顺序进行排序;
  5. TreeMap实现SortedMap接口,能够把它保存的记录根据键排序,默认是按键值的升序排序,也可以指定排序的比较器,当用Iterator遍历TreeMap时,得到的记录是排过序的。
  6. 如果使用排序的映射,建议使用TreeMap。在使用TreeMap时,key必须实现Comparable接口或者在构造TreeMap传入自定义的Comparator,否则会在运行时抛出java.lang.ClassCastException类型的异常。
  7. TreeMap中的元素默认按照keys的自然排序排列(对Integer来说,其自然排序就是数字的升序;对String来说,其自然排序就是按照字母表排序)

2. 红黑树回顾

红黑树(英语:Red–black tree)是一种自平衡的二叉查找树(Binary Search Tree又名二叉排序树,结构复杂,但却有着良好的性能,完成查找、插入和删除的时间复杂度均为 log(n)。

img

上图中这棵树,就是一颗典型的二叉查找树:

1)左子树上所有节点的值均小于或等于它的根结点的值。

2)右子树上所有节点的值均大于或等于它的根结点的值。

3)左、右子树也分别为二叉查找树。

不过,二叉查找树有一个不足,就是容易变成瘸子,就是一侧多,一侧少,就像下图这样

img

查找的效率就要从 log(n) 变成 o(n) 了,对吧?必须要平衡一下,于是就有了平衡二叉树,左右两个子树的高度差的绝对值不超过 1,就像下图这样:

img

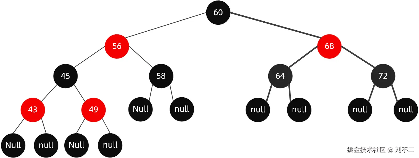
因为TreeMap的存储结构是红黑树,我们回顾一下红黑树的特点以及基本操作,红黑树的原理可参考深度剖析数据结构—红黑树。下图为典型的红黑树:

img

红黑树规则特点:

  1. 节点分为红色或者黑色;
  2. 根节点必为黑色;
  3. 叶子节点都为黑色,且为null;
  4. 连接红色节点的两个子节点都为黑色(红黑树不会出现相邻的红色节点);
  5. 从任意节点出发,到其每个叶子节点的路径中包含相同数量的黑色节点;
  6. 新加入到红黑树的节点为红色节点;

红黑树自平衡基本操作:

  1. 变色:在不违反上述红黑树规则特点情况下,将红黑树某个node节点颜色由红变黑,或者由黑变红;
  2. 左旋:逆时针旋转两个节点,让一个节点被其右子节点取代,而该节点成为右子节点的左子节点
  3. 右旋:顺时针旋转两个节点,让一个节点被其左子节点取代,而该节点成为左子节点的右子节点

3. TreeMap 的说明书

/**
 * A Red-Black tree based {@link NavigableMap} implementation. The map is sorted according to the {@linkplain Comparable natural ordering} of its keys, or by a {@link Comparator} provided at map
 * creation time, depending on which constructor is used.
 * 基于NavigableMap实现的红黑树,这个map按照key 的自然顺序或者是Map 被创建的时候提供的Comparator进行排序,排序的方式取决于用的是那个构造方法
 * <p>This implementation provides guaranteed log(n) time cost for the {@code containsKey}, {@code get}, {@code put} and {@code remove} operations. 
 * 这个实现保证了containsKey,get,put,remove 方法都是log(n) 的时间复杂度
 * Algorithms are adaptations of those in Cormen, Leiserson, and Rivest's <em>Introduction to Algorithms</em>.
 * 红黑树的实现是对 Cormen, Leiserson和Rivest 算法的改进
 * <p>Note that the ordering maintained by a tree map, like any sorted map, and whether or not an explicit comparator is provided, 
 * 需要注意的是tree map 维护的顺序和任何sorted map一样,无论是否提供显式比较器,
 * must be <em>consistent  with {@code equals}</em> if this sorted map is to correctly implement the {@code Map} interface. 
 * 如果这个TreeMap要正确的实现Map 接口,则需要和equals 方法保持一致,
 * (See {@code Comparable} or {@code Comparator} for a precise definition of <em>consistent with equals</em>.)  
 * 查看Comparable或者Comparator来查看与equals保持一致的定义
 * This is so because the {@code Map} interface is defined in terms of the {@code equals} operation, 
 * 这个也是因为Map 接口是根据equals的操作定义的, 
 * but a sorted map performs all key comparisons using its {@code compareTo} (or {@code compare}) method, so two keys that are deemed equal by this method are, from the standpoint of the sorted map, equal.  
 * 但是sorted map 执行key 的compareTo或者compare 方法来进行key 的比较,因此,从sorted map的角度来看,这个方法认为相等的两个键是相等的
 * The behavior of a sorted map <em>is</em> well-defined even if its ordering is inconsistent with {@code equals}; it just fails to obey the general contract of the {@code Map} interface.
 *
 * <p><strong>Note that this implementation is not synchronized.</strong> If multiple threads access a map concurrently, and at least one of the
 * threads modifies the map structurally, it <em>must</em> be synchronized externally.  (A structural modification is any operation that adds or
 * deletes one or more mappings; merely changing the value associated with an existing key is not a structural modification.)  This is
 * typically accomplished by synchronizing on some object that naturally encapsulates the map.
 * If no such object exists, the map should be "wrapped" using the
 * {@link Collections#synchronizedSortedMap Collections.synchronizedSortedMap}
 * method.  This is best done at creation time, to prevent accidental
 * unsynchronized access to the map: <pre>
 *   SortedMap m = Collections.synchronizedSortedMap(new TreeMap(...));</pre>
 * 这一段是讲TreeMap 不是线程安全的,如果你需要在多线程环境中使用,可以通过对一个object 对象加锁,如果你找不到这个样的对象,你可以使用它的包装类,调用方法是 SortedMap m = Collections.synchronizedSortedMap(new TreeMap(...))
 * 由于这一段我们在前面将其他集合的时候,已经翻译了很多遍了,所以在这里就简要说一下,没有逐字逐句的翻译
 * <p>The iterators returned by the {@code iterator} method of the collections
 * returned by all of this class's "collection view methods" are
 * <em>fail-fast</em>: if the map is structurally modified at any time after
 * the iterator is created, in any way except through the iterator's own
 * {@code remove} method, the iterator will throw a {@link
 * ConcurrentModificationException}.  Thus, in the face of concurrent
 * modification, the iterator fails quickly and cleanly, rather than risking
 * arbitrary, non-deterministic behavior at an undetermined time in the future.
 *
 * <p>Note that the fail-fast behavior of an iterator cannot be guaranteed
 * as it is, generally speaking, impossible to make any hard guarantees in the
 * presence of unsynchronized concurrent modification.  Fail-fast iterators
 * throw {@code ConcurrentModificationException} on a best-effort basis.
 * Therefore, it would be wrong to write a program that depended on this
 * exception for its correctness:   <em>the fail-fast behavior of iterators
 * should be used only to detect bugs.</em>
 *上面的两段,前面的文章我们也翻译过了,可自行查看
 * <p>All {@code Map.Entry} pairs returned by methods in this class and its views represent snapshots of mappings at the time they were
 * produced. They do <strong>not</strong> support the {@code Entry.setValue} method. (Note however that it is possible to change mappings in the
 * associated map using {@code put}.)
 * 所有被TreeMap 中的方法和其视图 返回的Map.Entry 代表的是它们在创建是的快照,所以不支持使用 Entry.setValue(需要注意的实它们可以在对应的map 的put 方法中使用)
 *
 * @author  Josh Bloch and Doug Lea
 * @see Map
 * @see HashMap
 * @see Hashtable
 * @see Comparable
 * @see Comparator
 * @see Collection
 * @since 1.2
 */
public class TreeMap<K,V> extends AbstractMap<K,V> implements NavigableMap<K,V>, Cloneable, java.io.Serializable
{ ... ... }

4. TreeMap的主要内部构成

comparator

我们前面提到TreeMap是可以自动排序的,默认情况下comparator为null(例如无参构造)

这个时候按照key的自然顺序进行排序,然而并不是所有情况下都可以直接使用key的自然顺序,1 是key 的自然排序不满足我们的要求,2 key 没有实现Comparable 当然就没有自然排序一说了

所以有时候我们想让Map的自动排序按照我们自己的规则, 这个时候你就需要传递Comparator的实现类,然后由comparator来实现排序的逻辑

private final Comparator<? super K> comparator;

root

TreeMap的存储结构既然是红黑树,那么必然会有唯一的根节点,而root 就是TreeMap的根节点

private transient Entry<K,V> root;

size

Map中key-val对的数量,也即是红黑树中节点Entry的数量,现在很多集合都统一使用size 表示元素的多少了,而不像早期的java 版本中,你能看到各种各样表示大小的变量

private transient int size = 0;

modCount

/**
 * 红黑树结构的调整次数
 */
private transient int modCount = 0;

Entry

上面的主要成员变量根节点root是Entry类的实体,我们来看一下Entry类的源码,和HashMap 一样,都要自己的实现,HahsMap 中加Node

static final class Entry<K,V> implements Map.Entry<K,V> {
    //key,val是存储的原始数据
    K key;
    V value;
    //定义了节点的左孩子
    Entry<K,V> left;
    //定义了节点的右孩子
    Entry<K,V> right;
    //通过该节点可以反过来往上找到自己的父亲
    Entry<K,V> parent;
    //默认情况下为黑色节点,可调整
    boolean color = BLACK;
​
    /**
     * 构造器,使用key 和 value 以及parent 创建一个 黑色节点
     */
    Entry(K key, V value, Entry<K,V> parent 创建一个 黑色节点) {
        this.key = key;
        this.value = value;
        this.parent = parent;
    }
​
    /**
     * 获取节点的key值
     */
    public K getKey() {return key;}
​
    /**
     * 获取节点的value值
     */
    public V getValue() {return value;}
​
    /**
     * 用新值替换当前值,并返回当前值
     */
    public V setValue(V value) {
        V oldValue = this.value;
        this.value = value;
        return oldValue;
    }
    /**
     * 判断相等,类型一致且key-value 都相等
     */
    public boolean equals(Object o) {
        if (!(o instanceof Map.Entry))
            return false;
        Map.Entry<?,?> e = (Map.Entry<?,?>)o;
        return valEquals(key,e.getKey()) && valEquals(value,e.getValue());
    }
  
    /**
     * 计算hash 值
     */
    public int hashCode() {
        int keyHash = (key==null ? 0 : key.hashCode());
        int valueHash = (value==null ? 0 : value.hashCode());
        return keyHash ^ valueHash;
    }
​
    public String toString() {
        return key + "=" + value;
    }
}

Entry静态内部类实现了Map的内部接口Entry,提供了红黑树存储结构的java实现,通过left属性可以建立左子树,通过right属性可以建立右子树,通过parent可以往上找到父节点。

大体的实现结构图如下:

img

5. TreeMap构造函数

默认构造函数

默认构造函数,按照key的自然顺序排列

/**
 * Constructs a new, empty tree map, using the natural ordering of its
 * keys.  All keys inserted into the map must implement the {@link
 * Comparable} interface.  Furthermore, all such keys must be
 * <em>mutually comparable</em>: {@code k1.compareTo(k2)} must not throw
 * a {@code ClassCastException} for any keys {@code k1} and
 * {@code k2} in the map.  If the user attempts to put a key into the
 * map that violates this constraint (for example, the user attempts to
 * put a string key into a map whose keys are integers), the
 * {@code put(Object key, Object value)} call will throw a
 * {@code ClassCastException}.
 */
public TreeMap() {
    comparator = null;
}

指定 Comparator

传递Comparator具体实现,按照该实现的排序逻辑进行排序

/**
 * Constructs a new, empty tree map, ordered according to the given
 * comparator.  All keys inserted into the map must be <em>mutually
 * comparable</em> by the given comparator: {@code comparator.compare(k1,
 * k2)} must not throw a {@code ClassCastException} for any keys
 * {@code k1} and {@code k2} in the map.  If the user attempts to put
 * a key into the map that violates this constraint, the {@code put(Object
 * key, Object value)} call will throw a
 * {@code ClassCastException}.
 *
 * @param comparator the comparator that will be used to order this map.
 *        If {@code null}, the {@linkplain Comparable natural
 *        ordering} of the keys will be used.
 */
public TreeMap(Comparator<? super K> comparator) {
    this.comparator = comparator;
}

基于Map 的创建

传递一个map实体构建TreeMap,按照默认规则排序

/**
 * Constructs a new tree map containing the same mappings as the given
 * map, ordered according to the <em>natural ordering</em> of its keys.
 * All keys inserted into the new map must implement the {@link
 * Comparable} interface.  Furthermore, all such keys must be
 * <em>mutually comparable</em>: {@code k1.compareTo(k2)} must not throw
 * a {@code ClassCastException} for any keys {@code k1} and
 * {@code k2} in the map.  This method runs in n*log(n) time.
 *
 * @param  m the map whose mappings are to be placed in this map
 * @throws ClassCastException if the keys in m are not {@link Comparable},
 *         or are not mutually comparable
 * @throws NullPointerException if the specified map is null
 */
public TreeMap(Map<? extends K, ? extends V> m) {
    comparator = null;
    putAll(m);
}

基于SortedMap 创建

传递一个map实体构建TreeMap,按照传递的map的排序规则进行排序

/**
 * Constructs a new tree map containing the same mappings and
 * using the same ordering as the specified sorted map.  This
 * method runs in linear time.
 *
 * @param  m the sorted map whose mappings are to be placed in this map,
 *         and whose comparator is to be used to sort this map
 * @throws NullPointerException if the specified map is null
 */
public TreeMap(SortedMap<K, ? extends V> m) {
    comparator = m.comparator();
    try {
        buildFromSorted(m.size(), m.entrySet().iterator(), null, null);
    } catch (java.io.IOException cannotHappen) {
    } catch (ClassNotFoundException cannotHappen) {
    }
}

二 常用方法

1. put方法

put方法为Map的核心方法,TreeMap的put方法大概流程如下:

img

我们来分析一下源码

/**
 * Associates the specified value with the specified key in this map.
 * If the map previously contained a mapping for the key, the old
 * value is replaced.
 * 将指定的值与该map 中的指定键相关联,如果该map以及包含了该key 的映射,则老的值将被替换
 * @param key key with which the specified value is to be associated
 * @param value value to be associated with the specified key
 * @return the previous value associated with {@code key}, or {@code null} if there was no mapping for {@code key}.
 * (A {@code null} return can also indicate that the map previously associated {@code null} with {@code key}.)
 * 返回key 先前对应的value ,如果返回值是null 说明map 中不包含这样的映射或者说是key 先前对应的value 就是null
 * @throws ClassCastException if the specified key cannot be compared with the keys currently in the map
 * 如果要插入的key 不能和已经在map 中存在的key 比较则抛出 ClassCastException
 * @throws NullPointerException if the specified key is null and this map uses natural ordering, or its comparator
 *         does not permit null keys 如果comparator不许null值,或者使用自然排序,则当key 为空的时候,抛出NullPointerException
 */public V put(K key, V value) {
    Entry<K,V> t = root;
    /**
     * 如果根节点都为null,还没建立起来红黑树,我们先new Entry并赋值给root把红黑树建立起来,这个时候红黑树中已经有一个节点了,同时修改操作+1。
     * 创建的时候由于是root 节点,所以parent 是null
     */
    if (t == null) {
       // 类型检测,其实这个时候因为是第一个节点其实是不需要比较大小的,但是这里依然调用了这个方法,主要目的是为了检测key 的雷士是否合适
        compare(key, key); 
        root = new Entry<>(key, value, null);
        size = 1;
        modCount++;
        return null;
    }
    /**
     * 如果节点不为null,定义一个cmp,这个变量用来进行二分查找时的比较;定义parent,是new Entry时必须要的参数
     */
    int cmp;
    Entry<K,V> parent;
    // cpr表示有无自己定义的排序规则,分两种情况遍历执行
    Comparator<? super K> cpr = comparator;
    if (cpr != null) {
        /**
         * 从root节点开始遍历,通过二分查找逐步向下找
         * 第一次循环:从根节点开始,这个时候parent就是根节点,然后通过自定义的排序算法
         * cpr.compare(key, t.key)比较传入的key和根节点的key值,如果传入的key<root.key,那么
         * 继续在root的左子树中找,从root的左孩子节点(root.left)开始:如果传入的key>root.key,
         * 那么继续在root的右子树中找,从root的右孩子节点(root.right)开始;如果恰好key==root.key,
         * 那么直接根据root节点的value值即可。
         * 后面的循环规则一样,当遍历到的当前节点作为起始节点,逐步往下找
         *
         * 需要注意的是:这里并没有对key是否为null进行判断,建议自己的实现Comparator时应该要考虑在内
         */
        do {
            parent = t;
            cmp = cpr.compare(key, t.key);
            if (cmp < 0)
                t = t.left;
            else if (cmp > 0)
                t = t.right;
            else
                return t.setValue(value);
        } while (t != null);
    }
    else {
        //从这里看出,当默认排序时,key值是不能为null的
        if (key == null)
            throw new NullPointerException();
        @SuppressWarnings("unchecked")
        Comparable<? super K> k = (Comparable<? super K>) key;
        //这里的实现逻辑和上面一样,都是通过二分查找,就不再多说了
        do {
            parent = t;
            cmp = k.compareTo(t.key);
            if (cmp < 0)
                t = t.left;
            else if (cmp > 0)
                t = t.right;
            else
                return t.setValue(value);
        } while (t != null);
    }
    /**
     * 能执行到这里,说明前面并没有找到相同的key,节点已经遍历到最后了,我们只需要new一个Entry放到
     * parent下面即可,但放到左子节点上还是右子节点上,就需要按照红黑树的规则来。
     */
    Entry<K,V> e = new Entry<>(key, value, parent);
    if (cmp < 0)
        parent.left = e;
    else
        parent.right = e;
    /**
     * 节点加进去了,并不算完,我们在前面红黑树原理章节提到过,一般情况下加入节点都会对红黑树的结构造成
     * 破坏,我们需要通过一些操作来进行自动平衡处置,如【变色】【左旋】【右旋】
     */
    fixAfterInsertion(e);
    size++;
    modCount++;
    return null;
}

put方法源码中通过fixAfterInsertion(e)方法来进行自平衡处理,我们回顾一下插入时自平衡调整的逻辑,下表中看不懂的名词可以参考关于红黑树(R-B tree)原理,看这篇如何

无需调整【变色】即可实现平衡【旋转+变色】才可实现平衡
情况1:当父节点为黑色时插入子节点空树插入根节点,将根节点红色变为黑色父节点为红色左节点,叔父节点为黑色,插入左子节点,那么通过【左左节点旋转】
情况2:-父节点和叔父节点都为红色父节点为红色左节点,叔父节点为黑色,插入右子节点,那么通过【左右节点旋转】
情况3:--父节点为红色右节点,叔父节点为黑色,插入左子节点,那么通过【右左节点旋转】
情况4:--父节点为红色右节点,叔父节点为黑色,插入右子节点,那么通过【右右节点旋转】

接下来我们看一看这个方法

private void fixAfterInsertion(Entry<K,V> x) {
    //新插入的节点为红色节点
    x.color = RED;
    //我们知道父节点为黑色时,并不需要进行树结构调整,只有当父节点为红色时,才需要调整
    while (x != null && x != root && x.parent.color == RED) {
        //如果父节点是左节点,对应上表中情况1和情况2
        if (parentOf(x) == leftOf(parentOf(parentOf(x)))) {
            Entry<K,V> y = rightOf(parentOf(parentOf(x)));
            //如果叔父节点为红色,对应于“父节点和叔父节点都为红色”,此时通过变色即可实现平衡
            //此时父节点和叔父节点都设置为黑色,祖父节点设置为红色
            if (colorOf(y) == RED) {
                setColor(parentOf(x), BLACK);
                setColor(y, BLACK);
                setColor(parentOf(parentOf(x)), RED);
                x = parentOf(parentOf(x));
            } else {
                //如果插入节点是黑色,插入的是右子节点,通过【左右节点旋转】(这里先进行父节点左旋)
                if (x == rightOf(parentOf(x))) {
                    x = parentOf(x);
                    rotateLeft(x);
                }
                //设置父节点和祖父节点颜色
                setColor(parentOf(x), BLACK);
                setColor(parentOf(parentOf(x)), RED);
                //进行祖父节点右旋(这里【变色】和【旋转】并没有严格的先后顺序,达成目的就行)
                rotateRight(parentOf(parentOf(x)));
            }
        } else {
            //父节点是右节点的情况
            Entry<K,V> y = leftOf(parentOf(parentOf(x)));
            //对应于“父节点和叔父节点都为红色”,此时通过变色即可实现平衡
            if (colorOf(y) == RED) {
                setColor(parentOf(x), BLACK);
                setColor(y, BLACK);
                setColor(parentOf(parentOf(x)), RED);
                x = parentOf(parentOf(x));
            } else {
                //如果插入节点是黑色,插入的是左子节点,通过【右左节点旋转】(这里先进行父节点右旋)
                if (x == leftOf(parentOf(x))) {
                    x = parentOf(x);
                    rotateRight(x);
                }
                setColor(parentOf(x), BLACK);
                setColor(parentOf(parentOf(x)), RED);
                //进行祖父节点左旋(这里【变色】和【旋转】并没有严格的先后顺序,达成目的就行)
                rotateLeft(parentOf(parentOf(x)));
            }
        }
    }
    //根节点必须为黑色
    root.color = BLACK;
}

源码中通过 rotateLeft 进行【左旋】,通过 rotateRight 进行【右旋】。都非常类似,我们就看一下【左旋】的代码,【左旋】规则如下:“逆时针旋转两个节点,让一个节点被其右子节点取代,而该节点成为右子节点的左子节点”。

private void rotateLeft(Entry<K,V> p) {
    if (p != null) {
        /**
         * 断开当前节点p与其右子节点的关联,重新将节点p的右子节点的地址指向节点p的右子节点的左子节点
         * 这个时候节点r没有父节点
         */
        Entry<K,V> r = p.right;
        p.right = r.left;
        //将节点p作为节点r的父节点
        if (r.left != null)
            r.left.parent = p;
        //将节点p的父节点和r的父节点指向同一处
        r.parent = p.parent;
        //p的父节点为null,则将节点r设置为root
        if (p.parent == null)
            root = r;
        //如果节点p是左子节点,则将该左子节点替换为节点r
        else if (p.parent.left == p)
            p.parent.left = r;
        //如果节点p为右子节点,则将该右子节点替换为节点r
        else
            p.parent.right = r;
        //重新建立p与r的关系
        r.left = p;
        p.parent = r;
    }
}

就算是看了上面的注释还是并不清晰,看下图你就懂了

img

2. get 方法

get方法是通过二分查找的思想,我们看一下源码

public V get(Object key) {
    Entry<K,V> p = getEntry(key);
    return (p==null ? null : p.value);
}
/**
 * 从root节点开始遍历,通过二分查找逐步向下找
 * 第一次循环:从根节点开始,这个时候parent就是根节点,然后通过k.compareTo(p.key)比较传入的key和
 * 根节点的key值;
 * 如果传入的key<root.key, 那么继续在root的左子树中找,从root的左孩子节点(root.left)开始;
 * 如果传入的key>root.key, 那么继续在root的右子树中找,从root的右孩子节点(root.right)开始;
 * 如果恰好key==root.key,那么直接根据root节点的value值即可。
 * 后面的循环规则一样,当遍历到的当前节点作为起始节点,逐步往下找
 */
//默认排序情况下的查找
final Entry<K,V> getEntry(Object key) {
    
    if (comparator != null)
        return getEntryUsingComparator(key);
    if (key == null)
        throw new NullPointerException();
    @SuppressWarnings("unchecked")
    Comparable<? super K> k = (Comparable<? super K>) key;
    Entry<K,V> p = root;
    while (p != null) {
        int cmp = k.compareTo(p.key);
        if (cmp < 0)
            p = p.left;
        else if (cmp > 0)
            p = p.right;
        else
            return p;
    }
    return null;
}
/**
 * 从root节点开始遍历,通过二分查找逐步向下找
 * 第一次循环:从根节点开始,这个时候parent就是根节点,然后通过自定义的排序算法
 * cpr.compare(key, t.key)比较传入的key和根节点的key值,如果传入的key<root.key,那么
 * 继续在root的左子树中找,从root的左孩子节点(root.left)开始:如果传入的key>root.key,
 * 那么继续在root的右子树中找,从root的右孩子节点(root.right)开始;如果恰好key==root.key,
 * 那么直接根据root节点的value值即可。
 * 后面的循环规则一样,当遍历到的当前节点作为起始节点,逐步往下找
 */
//自定义排序规则下的查找
final Entry<K,V> getEntryUsingComparator(Object key) {
    @SuppressWarnings("unchecked")
    K k = (K) key;
    Comparator<? super K> cpr = comparator;
    if (cpr != null) {
        Entry<K,V> p = root;
        while (p != null) {
            int cmp = cpr.compare(k, p.key);
            if (cmp < 0)
                p = p.left;
            else if (cmp > 0)
                p = p.right;
            else
                return p;
        }
    }
    return null;
}

3. remove方法

remove方法可以分为两个步骤,先是找到这个节点,直接调用了上面介绍的getEntry(Object key),这个步骤我们就不说了,直接说第二个步骤,找到后的删除操作。

public V remove(Object key) {
    Entry<K,V> p = getEntry(key);
    if (p == null)
        return null;
​
    V oldValue = p.value;
    deleteEntry(p);
    return oldValue;
}

通过deleteEntry(p)进行删除操作,删除操作的原理我们在前面已经讲过

  1. 删除的是根节点,则直接将根节点置为null;
  2. 待删除节点的左右子节点都为null,删除时将该节点置为null;
  3. 待删除节点的左右子节点有一个有值,则用有值的节点替换该节点即可;
  4. 待删除节点的左右子节点都不为null,则找前驱或者后继,将前驱或者后继的值复制到该节点中,然后删除前驱或者后继(前驱:左子树中值最大的节点,后继:右子树中值最小的节点);
private void deleteEntry(Entry<K,V> p) {
    modCount++;
    size--;
  //当左右子节点都不为null时,通过successor(p)遍历红黑树找到前驱或者后继
    if (p.left != null && p.right != null) {
        Entry<K,V> s = successor(p);
        //将前驱或者后继的key和value复制到当前节点p中,然后删除节点s(通过将节点p引用指向s)
        p.key = s.key;
        p.value = s.value;
        p = s;
    } 
    Entry<K,V> replacement = (p.left != null ? p.left : p.right);
    /**
     * 至少有一个子节点不为null,直接用这个有值的节点替换掉当前节点,给replacement的parent属性赋值,给
     * parent节点的left属性和right属性赋值,同时要记住叶子节点必须为null,然后用fixAfterDeletion方法
     * 进行自平衡处理
     */
    if (replacement != null) {
        //将待删除节点的子节点挂到待删除节点的父节点上。
        replacement.parent = p.parent;
        if (p.parent == null)
            root = replacement;
        else if (p == p.parent.left)
            p.parent.left  = replacement;
        else
            p.parent.right = replacement;
        p.left = p.right = p.parent = null;
        /**
         * p如果是红色节点的话,那么其子节点replacement必然为红色的,并不影响红黑树的结构
         * 但如果p为黑色节点的话,那么其父节点以及子节点都可能是红色的,那么很明显可能会存在红色相连的情
         * 况,因此需要进行自平衡的调整
         */
        if (p.color == BLACK)
            fixAfterDeletion(replacement);
    } else if (p.parent == null) {//这种情况就不用多说了吧
        root = null;
    } else { 
        /**
         * 如果p节点为黑色,那么p节点删除后,就可能违背每个节点到其叶子节点路径上黑色节点数量一致的规则,
         * 因此需要进行自平衡的调整
         */ 
        if (p.color == BLACK)
            fixAfterDeletion(p);
        if (p.parent != null) {
            if (p == p.parent.left)
                p.parent.left = null;
            else if (p == p.parent.right)
                p.parent.right = null;
            p.parent = null;
        }
    }
}

操作的操作其实很简单,场景也不多,我们看一下删除后的自平衡操作方法fixAfterDeletion

private void fixAfterDeletion(Entry<K,V> x) {
    /**
     * 当x不是root节点且颜色为黑色时
     */
    while (x != root && colorOf(x) == BLACK) {
        /**
         * 首先分为两种情况,当前节点x是左节点或者当前节点x是右节点,这两种情况下面都是四种场景,这里通过
         * 代码分析一下x为左节点的情况,右节点可参考左节点理解,因为它们非常类似
         */
        if (x == leftOf(parentOf(x))) {
            Entry<K,V> sib = rightOf(parentOf(x));
​
            /**
             * 场景1:当x是左黑色节点,兄弟节点sib是红色节点
             * 兄弟节点由红转黑,父节点由黑转红,按父节点左旋,
             * 左旋后树的结构变化了,这时重新赋值sib,这个时候sib指向了x的兄弟节点
             */
            if (colorOf(sib) == RED) {
                setColor(sib, BLACK);
                setColor(parentOf(x), RED);
                rotateLeft(parentOf(x));
                sib = rightOf(parentOf(x));
            }
​
            /**
             * 场景2:节点x、x的兄弟节点sib、sib的左子节点和右子节点都为黑色时,需要将该节点sib由黑变
             * 红,同时将x指向当前x的父节点
             */
            if (colorOf(leftOf(sib))  == BLACK &&
                colorOf(rightOf(sib)) == BLACK) {
                setColor(sib, RED);
                x = parentOf(x);
            } else {
                /**
                 * 场景3:节点x、x的兄弟节点sib、sib的右子节点都为黑色,sib的左子节点为红色时,
                 * 需要将sib左子节点设置为黑色,sib节点设置为红色,同时按sib右旋,再将sib指向x的
                 * 兄弟节点
                 */
                if (colorOf(rightOf(sib)) == BLACK) {
                    setColor(leftOf(sib), BLACK);
                    setColor(sib, RED);
                    rotateRight(sib);
                    sib = rightOf(parentOf(x));
                }
                /**
                 * 场景4:节点x、x的兄弟节点sib都为黑色,而sib的左右子节点都为红色或者右子节点为红色、
                 * 左子节点为黑色,此时需要将sib节点的颜色设置成和x的父节点p相同的颜色,
                 * 设置x的父节点为黑色,设置sib右子节点为黑色,左旋x的父节点p,然后将x赋值为root
                 */
                setColor(sib, colorOf(parentOf(x)));
                setColor(parentOf(x), BLACK);
                setColor(rightOf(sib), BLACK);
                rotateLeft(parentOf(x));
                x = root;
            }
        } else {//x是右节点的情况
            Entry<K,V> sib = leftOf(parentOf(x));
​
            if (colorOf(sib) == RED) {
                setColor(sib, BLACK);
                setColor(parentOf(x), RED);
                rotateRight(parentOf(x));
                sib = leftOf(parentOf(x));
            }
​
            if (colorOf(rightOf(sib)) == BLACK &&
                colorOf(leftOf(sib)) == BLACK) {
                setColor(sib, RED);
                x = parentOf(x);
            } else {
                if (colorOf(leftOf(sib)) == BLACK) {
                    setColor(rightOf(sib), BLACK);
                    setColor(sib, RED);
                    rotateLeft(sib);
                    sib = leftOf(parentOf(x));
                }
                setColor(sib, colorOf(parentOf(x)));
                setColor(parentOf(x), BLACK);
                setColor(leftOf(sib), BLACK);
                rotateRight(parentOf(x));
                x = root;
            }
        }
    }
​
    setColor(x, BLACK);
}

当待操作节点为左节点时,上面描述了四种场景,而且场景之间可以相互转换,如deleteEntry后进入了场景1,经过场景1的一些列操作后,红黑树的结构并没有调整完成,而是进入了场景2,场景2执行完成后跳出循环,将待操作节点设置为黑色,完成。我们下面用图来说明一下四种场景帮助理解,当然大家最好自己手动画一下。

场景1:

当x是左黑色节点,兄弟节点sib是红色节点,需要兄弟节点由红转黑,父节点由黑转红,按父节点左旋,左旋后树的结构变化了,这时重新赋值sib,这个时候sib指向了x的兄弟节点。

img

但经过这一系列操作后,并没有结束,而是可能到了场景2,或者场景3和4

场景2:

节点x、x的兄弟节点sib、sib的左子节点和右子节点都为黑色时,需要将该节点sib由黑变红,同时将x指向当前x的父节点

img

经过场景2的一系列操作后,循环就结束了,我们跳出循环,将节点x设置为黑色,自平衡调整完成。

场景3:

节点x、x的兄弟节点sib、sib的右子节点都为黑色,sib的左子节点为红色时,需要将sib左子节点设置为黑色,sib节点设置为红色,同时按sib右旋,再将sib指向x的兄弟节点

img

并没有完,场景3的一系列操作后,会进入到场景4

场景4:

节点x、x的兄弟节点sib都为黑色,而sib的左右子节点都为红色或者右子节点为红色、左子节点为黑色,此时需要将sib节点的颜色设置成和x的父节点p相同的颜色,设置x的父节点颜色为黑色,设置sib右孩子的颜色为黑色,左旋x的父节点p,然后将x赋值为root

img

四种场景讲完了,删除后的自平衡操作不太好理解,代码层面的已经弄明白了,但如果让我自己去实现的话,还是差了一些,还需要再研究。

4. 遍历

遍历比较简单,TreeMap的遍历可以使用map.values(), map.keySet(),map.entrySet(),map.forEach(),这里不再多说。

三 例子

自然顺序

默认情况下,TreeMap 是根据 key 的自然顺序排列的。比如说整数,就是升序,1、2、3、4、5,英文字就是 a、b、c、d、e,那汉字是什么呢?

@Test
public void testDefaultOrder() {
    TreeMap<String, String> map = new TreeMap<String, String>();
    map.put("d", "ddddd");
    map.put("b", "bbbbb");
    map.put("a", "aaaaa");
    map.put("c", "ccccc");
    System.out.println(map);
}

输出结果如下所示:

{a=aaaaa, b=bbbbb, c=ccccc, d=ddddd}

自定义排序

如果自然顺序不满足,那就可以在声明 TreeMap 对象的时候指定排序规则。

@Test
public void testDefineOrder() {
    TreeMap<String, String> map = new TreeMap<String, String>(Comparator.reverseOrder());
    map.put("d", "ddddd");
    map.put("b", "bbbbb");
    map.put("a", "aaaaa");
    map.put("c", "ccccc");
    System.out.println(map);
}

输出结果如下所示:

{d=ddddd, c=ccccc, b=bbbbb, a=aaaaa}

四. 总结

本文详细介绍了TreeMap的基本特点,并对其底层数据结构红黑树进行了回顾,同时讲述了其自动排序的原理,并从源码的角度结合红黑树图形对put方法、get方法、remove方法进行了讲解,最后简单提了一下遍历操作