【深度学习】深入解析长短期记忆网络(LSTMs)

458 阅读8分钟

【深度学习】深入解析长短期记忆网络(LSTMs).png

长短期记忆网络(Long Short-Term Memory networks, LSTMs)是一种特殊的递归神经网络(RNN),专门设计用来解决标准 RNN 在处理长序列数据时的梯度消失和梯度爆炸问题。LSTMs 在许多序列数据任务中表现出色,如自然语言处理、时间序列预测和语音识别等。本文将深入探讨 LSTMs 的基本结构、工作原理、关键技术及其应用。

一、LSTMs 的基本结构

LSTM 的基本单元与传统 RNN 的单元不同,主要由以下几个部分组成:

1.1 单元状态(Cell State)

LSTM 维护一个称为单元状态的内部记忆,能够在时间步之间传递长期信息。单元状态通过不同的门控机制进行更新和调整。

1.2 门控机制

LSTM 使用三种门控机制来控制信息的流动:

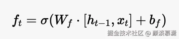
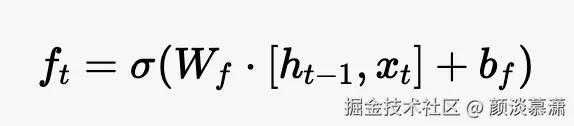
  • 遗忘门(Forget Gate):决定保留多少先前单元状态的信息。遗忘门的输出是一个介于 0 和 1 之间的值,表示当前信息的重要性。计算公式为:

遗忘门.png

  • 输入门(Input Gate):决定当前输入信息对于单元状态的影响。输入门的输出同样是一个介于 0 和 1 之间的值。计算公式为:

输入门.png

  • 输出门(Output Gate):决定当前单元状态对输出的影响。计算公式为:

输出门.png

1.3 单元状态更新

通过上述门控机制,LSTM 更新单元状态的公式如下:

  1. 更新单元状态

更新单元状态.png

其中,(\tilde{C}_t) 是当前输入的候选值,计算公式为:

更新单元状态2.png

  1. 计算输出

计算输出.png

二、LSTMs 的工作原理

LSTM 的工作流程可以概括为以下几个步骤:

  1. 输入序列:接收输入序列 (x_1, x_2, \ldots, x_T)。
  2. 逐步处理:在每个时间步 (t):
    • 计算遗忘门、输入门和输出门的值。
    • 更新单元状态。
    • 计算当前时间步的输出。
  3. 序列输出:根据任务的需要,输出最后的隐藏状态 (h_T) 或所有时间步的隐藏状态。

三、LSTMs 的关键技术

3.1 梯度截断

在训练 LSTM 时,可能会遇到梯度爆炸的问题。为了解决这一问题,常用的技术是梯度截断(Gradient Clipping),即在反向传播时限制梯度的最大值,以防止其过大。

3.2 双向 LSTM

双向 LSTM 通过同时考虑序列的正向和反向信息,能够更全面地捕捉上下文信息。它由两个 LSTM 组成,一个处理正向序列,一个处理反向序列,最终将两者的输出结合。

3.3 多层堆叠

通过堆叠多个 LSTM 层,可以构建更深的网络,从而增强模型的表达能力。每一层的输出都可以作为下一层的输入,以捕捉更复杂的特征。

四、LSTMs 的应用

LSTMs 在多个领域取得了显著的成就,尤其在以下几个方面:

4.1 自然语言处理

LSTMs 在文本生成、情感分析、机器翻译等任务中表现出色。例如,在机器翻译中,LSTM 能够有效捕捉上下文信息,从而提高翻译质量。

4.2 时间序列预测

在金融市场预测、气象预报等领域,LSTM 被广泛应用于处理时间序列数据。通过学习历史数据中的模式,LSTM 可以有效预测未来趋势。

4.3 语音识别

LSTM 的序列建模能力使其在语音识别任务中表现优异。它能处理变长的语音信号,并有效识别出语音内容。

五、项目应用:使用 LSTM 进行情感分析

在本节中,将构建一个使用长短期记忆网络(LSTMs)进行情感分析的项目。我们将使用 IMDB 电影评论数据集,该数据集包含大量标记为正面或负面的评论。我们的目标是构建一个 LSTM 模型,能够有效地预测评论的情感。

项目概述

目标

通过构建和训练 LSTM 模型,对 IMDB 数据集中的电影评论进行情感分类,判断其为正面或负面。

数据集

IMDB 数据集包含 50,000 条评论,其中 25,000 条用于训练,25,000 条用于测试。每条评论被标记为正面(1)或负面(0)。

环境准备

确保安装以下库:

pip install tensorflow keras numpy matplotlib

实现代码

下面是实现情感分析的完整代码,包括数据加载、预处理、模型构建、训练和评估。

import numpy as np
import matplotlib.pyplot as plt
from tensorflow.keras import datasets, layers, models, preprocessing
from tensorflow.keras.preprocessing.sequence import pad_sequences

# 1. 数据加载
max_features = 10000  # 只考虑前 10,000 个最常用的词
maxlen = 200  # 每条评论最长 200 个词

# 加载 IMDB 数据集
(train_data, train_labels), (test_data, test_labels) = datasets.imdb.load_data(num_words=max_features)

# 2. 数据预处理
# 将评论填充到相同的长度
train_data = pad_sequences(train_data, maxlen=maxlen)
test_data = pad_sequences(test_data, maxlen=maxlen)

# 3. 建立 LSTM 模型
model = models.Sequential([
    layers.Embedding(max_features, 128, input_length=maxlen),  # 嵌入层
    layers.LSTM(128),  # LSTM 层
    layers.Dense(1, activation='sigmoid')  # 输出层
])

# 4. 编译模型
model.compile(optimizer='adam',
              loss='binary_crossentropy',
              metrics=['accuracy'])

# 5. 训练模型
history = model.fit(train_data, train_labels, epochs=5, batch_size=64, 
                    validation_split=0.2)

# 6. 评估模型
test_loss, test_acc = model.evaluate(test_data, test_labels, verbose=2)
print(f'\nTest accuracy: {test_acc}')

# 7. 可视化训练过程
plt.figure(figsize=(12, 4))

# 绘制准确率
plt.subplot(1, 2, 1)
plt.plot(history.history['accuracy'], label='Training Accuracy')
plt.plot(history.history['val_accuracy'], label='Validation Accuracy')
plt.xlabel('Epoch')
plt.ylabel('Accuracy')
plt.title('Model Accuracy')
plt.legend()

# 绘制损失值
plt.subplot(1, 2, 2)
plt.plot(history.history['loss'], label='Training Loss')
plt.plot(history.history['val_loss'], label='Validation Loss')
plt.xlabel('Epoch')
plt.ylabel('Loss')
plt.title('Model Loss')
plt.legend()

plt.tight_layout()
plt.show()

代码详解

1. 数据加载

我们使用 Keras 提供的 IMDB 数据集,并限制词汇表的大小为前 10,000 个最常用的词。

max_features = 10000
(train_data, train_labels), (test_data, test_labels) = datasets.imdb.load_data(num_words=max_features)

2. 数据预处理

在这一步,我们将评论填充到相同的长度,以便输入到模型中。我们设定每条评论的最大长度为 200 个词。

train_data = pad_sequences(train_data, maxlen=maxlen)
test_data = pad_sequences(test_data, maxlen=maxlen)

3. 建立 LSTM 模型

模型由以下几部分组成:

  • 嵌入层(Embedding Layer):将词汇转换为向量表示。
  • LSTM 层:使用 LSTM 单元来捕捉评论中的时序特征。
  • 输出层:使用 Sigmoid 激活函数输出预测结果。
model = models.Sequential([
    layers.Embedding(max_features, 128, input_length=maxlen),
    layers.LSTM(128),
    layers.Dense(1, activation='sigmoid')
])

4. 编译模型

我们选择 Adam 优化器和二元交叉熵作为损失函数,评估指标为准确率。

model.compile(optimizer='adam',
              loss='binary_crossentropy',
              metrics=['accuracy'])

5. 训练模型

我们在训练数据上训练模型,并将 20% 的数据用于验证。

history = model.fit(train_data, train_labels, epochs=5, batch_size=64, 
                    validation_split=0.2)

6. 评估模型

使用测试集评估模型性能,输出测试集的准确率。

test_loss, test_acc = model.evaluate(test_data, test_labels, verbose=2)
print(f'\nTest accuracy: {test_acc}')

7. 可视化训练过程

使用 Matplotlib 绘制训练和验证过程中的准确率和损失变化,以便分析模型的学习情况。

plt.figure(figsize=(12, 4))
# 绘制准确率和损失值...

模型结果分析

训练与验证准确率

在训练过程中,我们可以观察到训练准确率和验证准确率的变化。通常,随着训练轮数的增加,训练准确率会逐步提高,验证准确率也应该随之上升。

测试准确率

在训练结束后,评估模型在测试集上的准确率。例如,如果测试集的准确率达到 85% 以上,说明模型在未见过的数据上表现良好。

可视化结果

通过绘制训练和验证的准确率及损失曲线,可以直观地了解模型的学习过程。这有助于我们调整模型超参数、选择合适的训练轮数和早停策略。

小结

通过这个项目,我们展示了如何使用 LSTM 进行情感分析。我们从数据加载、预处理到模型构建、训练和评估,完整地实现了一个情感分类器。这个项目不仅帮助我们理解 LSTM 的工作原理,还展示了如何在实际应用中利用深度学习技术处理文本数据。通过不断调整模型结构和超参数,我们可以进一步提高模型的表现。

六、结论

长短期记忆网络(LSTMs)作为递归神经网络的一种变体,有效解决了标准 RNN 在处理长序列数据时的局限性。通过引入门控机制,LSTMs 能够在长时间跨度内保持信息,广泛应用于自然语言处理、时间序列预测和语音识别等领域。随着深度学习技术的发展,LSTMs 仍然是序列数据建模的重要工具,未来可能会与其他先进技术(如 Transformer)结合,进一步提升性能。