揭秘均值抽样分布:因果推断的统计学基础

127 阅读2分钟

为什么需要均值抽样分布?

对于一个分布未知的总体,可以对该总体进行抽样,根据抽样样本推断该总体的分布。

从同一个总体中随机抽取多个样本(每个样本包含的个体数量相同,记为“样本容量n”),计算每个样本包含的个体在某个特征的均值,这些均值形成的分布就是均值抽样分布。无论总体分布如何,只要样本容量n足够大(通常n>=30),根据中心极限定理,样本均值抽样分布将近似正态分布。

样本容量n取多大合适呢?当总体分布 偏离正态分布越远(越不像正态分布),要求n的取值越大;在实际情况中,一般不知道总体分布情况,要求n>=30,这时,才有可能让中心极限定理成立。

1.webp

公众号原文 揭秘均值抽样分布:因果推断的统计学基础

均值抽样分布示例

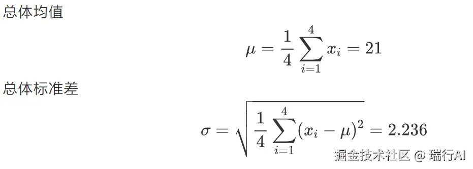
取微信视频号上某作者发布的科学区视频,总体包括4个视频,对应的播放量如下:

image.png

根据上表,可以计算得到:

image.png

从总体中,有放回得抽取样本容量n=2的样本,抽取16个样本,即得到下表;然后,根据下表的各组均值取值,在坐标轴上相应取值上计数,比如,18出现一次相应刻度的高度就是1,19出现两次相应刻度的高度就是2,以此类推,得到相应均值抽样分布的柱状图。同时,可以计算得到:

image.png

image.png

到此为止,有关均值抽样分布的介绍就基本结束了,对相关主题感兴趣的读者欢迎留言交流讨论。 更多优质内容请欢迎扫码关注 瑞行AI:

image.png