多目标优化算法——基于指标选择的多目标搜索算法(IBEA)

378 阅读5分钟

Indicator-Based Selection in Multiobjective Search(基于指标选择的多目标搜索)

一、算法简介
  1. 简介:

    本文讨论了如何将决策者的偏好信息整合到多目标搜索中。其主要思想是首先根据二元性能指标定义优化目标,然后在选择过程中直接使用该指标。为此,我们提出了一种可与任意指标结合的通用指标进化算法IBEA)。与现有算法相比,IBEA可以适应用户的偏好,而且不需要使用任何额外的多样性保护机制,如适应度共享。几个连续和离散基准问题表明,IBEA可以在不同的性能指标上显著改善两种流行算法NSGA-II和SPEA2产生的结果。

    在多目标场景中,优化过程的目标通常是找到帕累托最优解集的良好近似值。但困难在于,对于什么是帕累托集的良好近似值,并没有一个通用的定义。每个特定的定义表示依赖于用户的特定偏好信息。例如,可以将目标形式化为最大化由结果逼近主导的客观空间的超体积。在某些情况下,这个定义可能是合适的,在其他情况下,它可能是不合适的,因为优化过程的目标可能因每个决策者和问题而异。

  2. 提出两个观察点:

  • 大多数MOEAs的基础是假设两个目标是相互矛盾的:(i)为了最小化到PS的距离(ii)为了最大化接近PS的多样性。然而,近几年的研究证明这种猜想是有缺陷的,我们都知道对于两个单独的目标是没有正式定义的,一个是收敛一个是多样性都服从于帕累托支配关系的。另外,这个问题也与实际问题相关。

  • 著名的MOEAs算法,用基于个体的帕累托排序的形式实现前面的猜想,其中,个体是在目标空间中被额外的密度信息改善的。然而,不同的算法的优化目标会有一些没有被明确定义的不同。这意味着当前的方法在使用偏好信息方面设计的不够灵活,相反,它们直接执行的是偏好信息的个别类型。

  1. 在本文中,提出了一种通用的基于指标的进化算法,简称IBEA。主要思想是根据优势关系的连续泛化来形式化偏好,这导致了一个简单的算法概念。因此,IBEA不仅可以适应任意的偏好信息和优化场景,而且不需要任何多样性保护技术。IBEA更通用,因为总体大小可以是任意的,而且更快,因为它只比较成对的个体,而不是整个近似集。结果表明,所提出的方法可以显著提高生成的Pareto集近似的质量
二、绪言

两种指标:用来衡量 Pareto 集近似的质量

在这里插入图片描述

  • Iε+指标

    给出了一个 Pareto 集近似在每个维度上需要平移的最小距离,使得另一个近似被弱支配

    在这里插入图片描述

    假设A点即X1,B点即X2,

    对于垂直方向

    f垂直方向(A)−f垂直方向(B)>0

    对于水平方向: f水平方向(A)−f水平方向(B)<0 𝜖 >= fi(x1)-fi(x2), for i in {1,,,n},这是代表 ϵ 对每一个fi(x)均需满足 ,所以 ϵ 应大于最大正差距,即垂直方向上的值(该值是大于0 的)。又因为我们要最小化该值,所以𝐼应取最大的正差距,即该图中A与B的水平方向上的差值。

    二进制质量指标I表示为优势保持

  • IHD指标

    基于超体积概念,用于测量由集合B支配但不由集合A支配的空间体积,虽然对于包含多个决策向量的近似计算 IHD(A,B) 值在计算上较为昂贵,但在比较两个决策向量时,其计算复杂度为O(n)。

    在这里插入图片描述

三、基本算法

约定:α表示种群大小,N表示最大迭代次数,

step1: 产生初始种群P,种群大小为α,当前迭代此时m=0

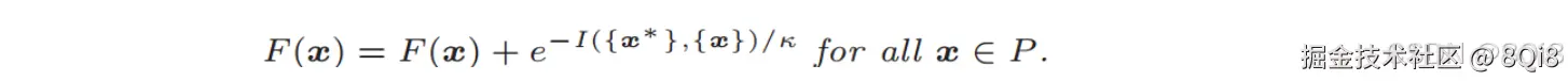
step2: 适应度计算,根据以下公式计算P里个体的适应度,例如x1∈P(k为比例缩放因子,参数)

​		<img src="C:\Users\27807\AppData\Roaming\Typora\typora-user-images\image-20241128170935871.png" alt="image-20241128170935871" style="zoom: 67%;" />

k是一个大于0的比例缩放因子,实验结果表明k=0.05时算法能取得较好的结果

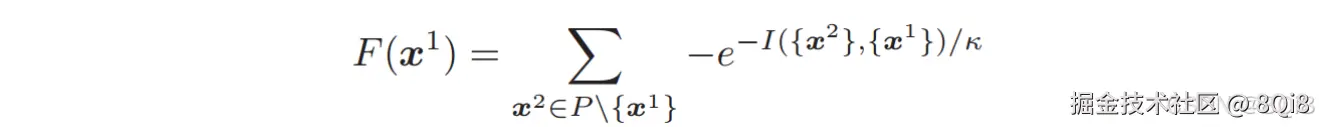
step3: 对每一代P,执行如下运算(缩减),直到种群大小为α

​ 1.选择适应度最小的解 ​ 2.从种群中去掉该解 ​ 3.更新剩余解的适应度值

<img src="C:\Users\27807\AppData\Roaming\Typora\typora-user-images\image-20241128171206704.png" alt="image-20241128171206704" style="zoom:150%;" />

step4: 终止条件判断

step5: p’ 为p 的复制,

step6: 用交叉变异作用在p’上,p=p’+p,m=m+1,转step2。

四、提高鲁棒性(自适应IBEA)

在这里插入图片描述

三、测试结果

ZDT6:

在这里插入图片描述