开发也能看懂的大模型:GNN

1,368 阅读8分钟

1. 什么是GNN?

图神经网络是一类专门用于处理图结构数据的神经网络。它能有效捕捉节点、边及其局部邻域结构的特征,并生成节点、边或整个图的嵌入表示。

  • 图的组成:一个图由 节点(nodes/vertices)边(edges) 组成。

    • 节点表示:节点的属性(例如社交网络中的用户信息)。
    • 边表示:边的属性(例如好友关系、权重)。
  • 目标:通过聚合节点及其邻居的信息,实现任务(如节点分类、链路预测、图分类等)。


2. GNN的核心思想

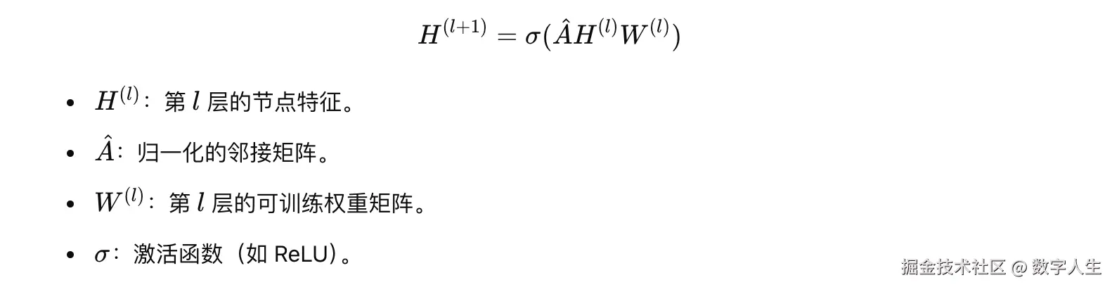
GNN的核心是消息传递机制(Message Passing):

  • 每个节点通过聚合自己及其邻居节点的特征,更新自身特征表示。
  • 这一过程通常分为邻居聚合特征更新两步,循环执行多轮(图卷积层数)。

数学表示:

image.png

常见模型:

  • GCN(Graph Convolutional Network) :基于谱图理论的图卷积模型。
  • GAT(Graph Attention Network) :引入注意力机制,赋予邻居节点不同权重。
  • GraphSAGE(Sample and Aggregates) :随机采样部分邻居,提高效率。

3. 大规模GNN的挑战

在处理大规模图(例如含百万节点、十亿边)时,传统GNN面临如下挑战:

  1. 内存限制:存储全图数据及中间计算结果可能超出单机内存容量。
  2. 计算复杂度高:全图邻居特征聚合导致计算瓶颈,尤其是深层GNN。
  3. 邻居爆炸:节点的邻居数随网络规模指数增长,导致计算不可扩展。
  4. 数据存取延迟:访问远程存储或分布式环境下的节点特征可能拖慢训练。

4. 解决方案

分布式训练

将大规模图分片,分布到多台机器上,并行处理:

  • 节点分片:将图的节点划分为多个子集,各子集及其邻居特征分布存储。
  • 边分片:将边划分到多个计算节点,减少存储压力。

邻居采样

采样固定数量的邻居以减少计算量:

  • GraphSAGE采样:随机采样固定数量的邻居。
  • 跳跃采样(K-hop Sampling) :仅采样某些跳数范围内的邻居。
  • 重要性采样:根据边的权重或节点的重要性选择采样。

基于Mini-batch的训练

  • 将全图划分为多个子图,每次仅处理一个子图。
  • 通过子图采样算法(如METIS、GraphSAINT)生成训练用子图。

异步更新

  • 在分布式环境中,允许节点在部分邻居信息未完全更新的情况下继续训练,减少等待时间。

图存储与加速

  • 使用专用的图存储系统(如DGL、PyTorch Geometric、Deep Graph Library)。
  • 加速硬件(如GPU、TPU)结合高效算法优化计算。

5. 应用场景

  • 社交网络分析

    • 推荐系统:预测用户可能感兴趣的内容。
    • 用户分类:根据行为特征进行分群。
  • 知识图谱

    • 实体链接:预测图中缺失的关系或节点。
    • 图补全:填补知识图谱中的空白数据。
  • 生物信息学

    • 药物发现:分析化学分子的图结构。
    • 基因网络:预测基因功能或关联。
  • 金融领域

    • 风险评估:检测金融交易网络中的欺诈行为。
    • 关系挖掘:分析企业间的资金流动图。

大规模图神经网络(Graph Neural Network, GNN)是近年来在图结构数据分析领域中的重要技术,尤其适用于社交网络、知识图谱、生物网络等场景。以下是对大规模GNN的简要讲解:


6. 优缺点总结

优点

  • 能处理图结构数据,捕获节点间复杂关系。
  • 灵活适应多种任务(节点分类、链路预测、图分类等)。
  • 引入分布式和采样技术后,可扩展至大规模数据。

缺点

  • 深度GNN可能导致过平滑问题(节点特征趋于一致)。
  • 处理大规模图时仍需较高硬件要求。
  • 对稀疏图或动态图的处理仍有优化空间。

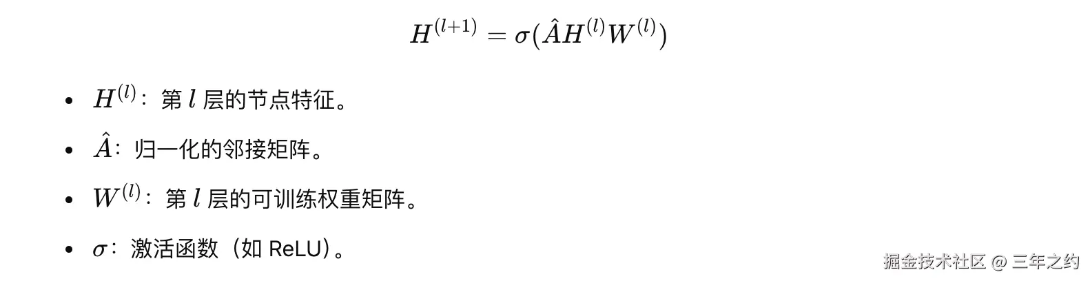
GCN(图卷积网络)

GCN(图卷积网络) 是 GNN 的一个具体模型。
GCN 是基于卷积操作设计的图神经网络模型,灵感来源于传统的卷积神经网络(CNN),但它适用于图结构数据。

GCN 的主要特点是:

  • 通过图的邻接矩阵聚合邻居节点的特征。
  • 引入了归一化邻接矩阵,避免直接使用原始邻接矩阵可能导致的特征爆炸问题。
  • 使用了简单的线性变换和非线性激活函数。

GCN 的核心公式为:

image.png GCN 常用于节点分类和图嵌入任务。

GCN 和 GNN 的异同

特性GNNGCN
范围广义框架,包含多种模型GNN 的一种具体实现
核心机制消息传递(Message Passing)图卷积(基于归一化邻接矩阵的聚合)
应用场景所有图任务:节点分类、链路预测等常用于节点分类和嵌入学习
算法多样性可以设计不同的消息传递和聚合方式固定使用卷积和归一化邻接矩阵

案例分析:Karate Club 数据集 节点分类

Karate Club 数据集是图网络研究中最常用的一个小型数据集,用于测试图算法的效果。它由美国社会学家 Wayne W. Zachary 在 1977 年研究的空手道俱乐部成员的社交关系网络构成,因其结构简单且数据明确,常被用作图神经网络(GNN)入门案例.

数据集简介

  • 节点(Nodes)

    • 图中有 34 个节点,每个节点代表俱乐部的一名成员。
  • 边(Edges)

    • 图中有 78 条边,每条边表示两名成员之间的友谊关系。
  • 分组(Community Memberships)

    • 俱乐部因领导层意见分歧分裂为两个派别:

      1. 支持俱乐部管理员("Mr. Hi")的成员。
      2. 支持教练("Officer")的成员。
    • 数据集中每个节点带有其派别标签,二分类问题是典型任务。

  • 任务

    • 根据成员之间的关系预测每个节点的派别(即社区分类)。

数据结构

  • 网络结构

    • 节点和边构成无向图。
    • 没有权重的边(即边的权值均为 1)。
  • 标签

    • 每个节点有一个标签(0 或 1),表示其社区归属。

实现步骤

1. 安装必要库

只需要轻量级的 NetworkXNumPy

pip install networkx numpy

2. 加载图数据

使用 NetworkX 创建 Karate Club 图:

import networkx as nx
import numpy as np

# 加载 Karate Club 图
G = nx.karate_club_graph()

# 获取节点数和边数
print("节点数:", G.number_of_nodes())
print("边数:", G.number_of_edges())

# 获取标签 (分类目标)
labels = np.array([G.nodes[i]['club'] == 'Mr. Hi' for i in range(G.number_of_nodes())], dtype=int)

3. 初始化图特征

为每个节点初始化特征向量(可以简单使用单位矩阵):

# 使用单位矩阵作为初始节点特征,每个节点的特征向量独立
features = np.eye(G.number_of_nodes())

4. 实现 GCN 层

GCN 的核心是消息传递和特征聚合,这里使用邻接矩阵的归一化方式:

def normalize_adjacency_matrix(A):
    """归一化邻接矩阵"""
    D = np.diag(np.sum(A, axis=1))  # 度矩阵
    D_inv_sqrt = np.linalg.inv(np.sqrt(D))  # D^(-1/2)
    return D_inv_sqrt @ A @ D_inv_sqrt  # A_hat = D^(-1/2) * A * D^(-1/2)

def gcn_layer(A, X, W):
    """GCN 层"""
    A_hat = normalize_adjacency_matrix(A)  # 归一化邻接矩阵
    return np.relu(A_hat @ X @ W)  # A_hat * X * W

5. 两层 GCN 的前向传播

实现两层 GCN 模型:

# 构造邻接矩阵
A = nx.adjacency_matrix(G).toarray()

# 初始化权重矩阵
np.random.seed(42)  # 固定随机种子
W1 = np.random.rand(G.number_of_nodes(), 4)  # 第一层权重,输出 4 维特征
W2 = np.random.rand(4, 2)  # 第二层权重,分类为 2 类

# 前向传播
hidden = gcn_layer(A, features, W1)  # 第一层
output = gcn_layer(A, hidden, W2)  # 第二层

print("输出特征矩阵维度:", output.shape)  # (34, 2)

6. 分类和评价

使用简单的 softmax 函数分类并评估准确率:

def softmax(X):
    """Softmax 函数"""
    exp_X = np.exp(X - np.max(X, axis=1, keepdims=True))  # 防止溢出
    return exp_X / np.sum(exp_X, axis=1, keepdims=True)

# 预测
predictions = np.argmax(softmax(output), axis=1)

# 计算准确率
accuracy = np.mean(predictions == labels)
print("分类准确率:", accuracy)

结果

image.png

附录:完整代码:


import networkx as nx
import numpy as np

# 创建 Karate Club 图
G = nx.karate_club_graph()

# 获取标签
labels = np.array([G.nodes[i]['club'] == 'Mr. Hi' for i in range(G.number_of_nodes())], dtype=int)

# 初始化特征
features = np.eye(G.number_of_nodes())

# 构造邻接矩阵
A = nx.adjacency_matrix(G).toarray()

# 手动实现 ReLU 激活函数
def relu(X):
    return np.maximum(0, X)

# 归一化邻接矩阵
def normalize_adjacency_matrix(A):
    D = np.diag(np.sum(A, axis=1))  # 度矩阵
    D_inv_sqrt = np.linalg.inv(np.sqrt(D))  # D^(-1/2)
    return D_inv_sqrt @ A @ D_inv_sqrt  # A_hat = D^(-1/2) * A * D^(-1/2)

# GCN 层
def gcn_layer(A, X, W):
    A_hat = normalize_adjacency_matrix(A)
    return relu(A_hat @ X @ W)

# 初始化权重
np.random.seed(42)
W1 = np.random.rand(G.number_of_nodes(), 4)  # 第一层权重
W2 = np.random.rand(4, 2)  # 第二层权重

# 两层 GCN 前向传播
hidden = gcn_layer(A, features, W1)
output = gcn_layer(A, hidden, W2)

# 分类预测
def softmax(X):
    exp_X = np.exp(X - np.max(X, axis=1, keepdims=True))
    return exp_X / np.sum(exp_X, axis=1, keepdims=True)

# 预测结果
predictions = np.argmax(softmax(output), axis=1)

# 计算准确率
accuracy = np.mean(predictions == labels)
print("分类准确率:", accuracy)