知识总结:MarsCode AI 的底层原理(六)| 豆包MarsCode AI刷题

83 阅读7分钟

第六章 非线性机器学习与集成方法

一、决策树(重点考!!!)

让我们以打网球为例子,究竟什么时候我们才会出门打球呢?

如果大家对数据结构的“树” 结构很清晰的话,我们将会发现判定出门打球的情况可以使用树进行表示,每一个树的分支都代表一个可能的决策、结果或者反应。叶子节点表示最终结果。

让我们用 Python 构造一个树吧:

class TreeNode:
    def __init__(self, attribute=None, class_label=None):
        self.attribute = attribute  # The attribute for this node
        self.class_label = class_label  # The class label if it's a leaf node
        self.children = {}  # Dictionary to hold child nodes

def majority_class(samples):
    # Returns the most frequent class label in the samples
    class_counts = {}
    for sample in samples:
        label = sample[-1]  # Assuming the last element is the class label
        if label not in class_counts:
            class_counts[label] = 0
        class_counts[label] += 1
    return max(class_counts, key=class_counts.get)

def best_partition_attribute(D, A):
    # Implement logic to select the best attribute for partitioning
    # This is a placeholder; actual implementation depends on the metric used (e.g., information gain)
    pass

def TreeGenerate(D, A):
    node = TreeNode()  # Step 1: Generate a new node

    # Step 2: Check if all samples belong to the same class
    classes = set(sample[-1] for sample in D)
    if len(classes) == 1:
        node.class_label = classes.pop()  # Step 3: Mark as leaf node
        return node

    # Step 5: Check if A is empty or all samples have the same value on A
    if not A or all(sample[a] == D[0][A[0]] for sample in D for a in A):
        # Step 6: Mark as leaf node with majority class
        node.class_label = majority_class(D)  
        return node

    # Step 7: Select the best partition attribute
    a_star = best_partition_attribute(D, A)
    
    # Step 8: Iterate through values of a_star
    for value in set(sample[a_star] for sample in D): 
        # Step 9: Create subset Dv 
        Dv = [sample for sample in D if sample[a_star] == value]  
        # Step 10: Check if Dv is empty
        if not Dv:  
            node.children[value] = TreeNode(class_label=majority_class(D))  
        else:
            node.children[value] = TreeGenerate(Dv, [a for a in A if a != a_star])

    return node  # Return the generated tree node

根据以上的代码,针对打网球的问题,我们总共有四种划分树的方式,如图所示:

究竟哪一种划分方式最好呢?

划分方式:对一个 value(节点),可以得到全为正的实例。其余 value(节点),可以得到全为负的实例。

划分方式:没有区分度、属性对决策没有作用,每一个 value(节点)的正面实例和负面实例数目都差不多(五五开)

要是划分的每一片叶子“区分度” 都足够大,就说明划分方式好。Entropy(熵) 就是用于表示“区分度”的。

已知一个集合 D,这个集合 D 只有正向数据和负面数据。那么可以用以下公式计算 D 的熵:

必考:如何求解数据集合 D 的熵?

解题口诀:负数 比例 Alog2A

假设这个叶子节点里面有 9 个正数节点,5 个 负数节点,根据口诀快速写出来:

我们自然可以从二种情况拓展到多种情况,如图所示

在导论的时候,我们说,熵是体现信息密度的一个数学工具,也是体现集合纯度的工具。

我们再引入一个 Gain 函数用来表示获取信息的度量。

Values(A):对于属性 A 可以取的所有可能值的集合

Dv:是 D 的子集,表示属性 A 的值等于 v

必考:把类似打网球的表格转化为决策树

有了公式,大家求解树的划分就简单很多了,详细的数学计算请自行训练。回顾一下老师的拆分思路:

① 四棵树木套公式求解信息密度,发现 Outlook 的 Gain 值最大

② Outlook 中间节点没必要拆分,我们只需要拆分 Sunny 和 Rain 对应

③ 对于 Sunny 节点,我们可以用 Humidity, Wind, Temp 继续拆分,Humidity 的拆分效果最好,停止拆分

④ 对于 Rain 节点,我们可以用 Humidity, Wind, Temp 继续拆分,Wind 的拆分效果最好,停止拆分

考试碎碎念

如果大题让我们目瞪法拆分,就不需要背公式,直接穷举强拆。

如果大题要求写出解题步骤,我们就需要严谨地按照公式走了。

二、集成学习

集成学习:将一系列基础模型合并到一起,从而产生一个更好的预测模型。

主要方法:Bagging(打包),Boosting(提升)

随机森林是打包的一种拓展,但是这种方法使用了决策树作为基础的学习者

随机地从 p 个特征(features)中抽取出 m 个特征从而得到经过优化的划分特征

BaggingRandom Forest
固定的结构结构随机,训练效率更好

三、AdaBoost (Adaptive Boosting)

Combines base learners linearly(将基学习器线性组合)

Iteratively adapts to the errors made by base learners in previous iterations(迭代地适应前一轮中基学习器所犯的错误)

权重调动技巧:

更高的权重将会被分配到未准确分类的点、更低的权重将会被分配到已准确分类的点

import numpy as np
from sklearn.tree import DecisionTreeClassifier

class AdaBoost:
    def __init__(self, n_estimators=50):
        self.n_estimators = n_estimators
        self.alphas = []  # 存储每个弱学习器的权重
        self.models = []  # 存储每个弱学习器

    def fit(self, X, y):
        n_samples, n_features = X.shape
        # Step 1: 初始化权重向量
        w = np.ones(n_samples) / n_samples

        for t in range(self.n_estimators):
            # Step 3: 拟合基学习器
            model = DecisionTreeClassifier(max_depth=1)
            model.fit(X, y, sample_weight=w)
            y_pred = model.predict(X)

            # Step 4: 计算分类错误率
            error = np.sum(w * (y_pred != y)) / np.sum(w)

            # Step 6: 计算每个基学习器的权重
            alpha = 0.5 * np.log((1 - error) / (error + 1e-10))  # 添加小常数以防止除以零

            # Step 7: 更新每个数据点的权重
            w *= np.exp(-alpha * y * y_pred)  # 更新权重
            w /= np.sum(w)  # 归一化权重

            self.models.append(model)  # 保存弱学习器
            self.alphas.append(alpha)  # 保存权重

    def predict(self, X):
        # Step 9: 输出最终假设
        final_pred = np.zeros(X.shape[0])
        for alpha, model in zip(self.alphas, self.models):
            final_pred += alpha * model.predict(X)
        return np.sign(final_pred)  # 返回最终预测结果

# 示例用法
if __name__ == "__main__":
    from sklearn.datasets import make_classification
    from sklearn.model_selection import train_test_split
    from sklearn.metrics import accuracy_score

    # 生成一个示例数据集
    X, y = make_classification(n_samples=100, n_features=20, n_classes=2, random_state=42)
    y = 2 * y - 1  # 转换为 {-1, 1}

    # 划分训练集和测试集
    X_train, X_test, y_train, y_test = train_test_split(X, y, test_size=0.2, random_state=42)

    # 训练 AdaBoost 模型
    model = AdaBoost(n_estimators=50)
    model.fit(X_train, y_train)

    # 进行预测
    predictions = model.predict(X_test)
    accuracy = accuracy_score(y_test, predictions)
    print(f"Accuracy: {accuracy}")

接下来,让我们从样例入手,手把手实操 AdaBoost

for i in range(1, T + 1):
    if error > bound: # 我们会一直循环,直到 error 足够小
        ① Fix base learner ht(x) to data points # 先寻找一个基础的函数
        ② Calculate the classification error rate et of ht(x) # 计算分类的错误率
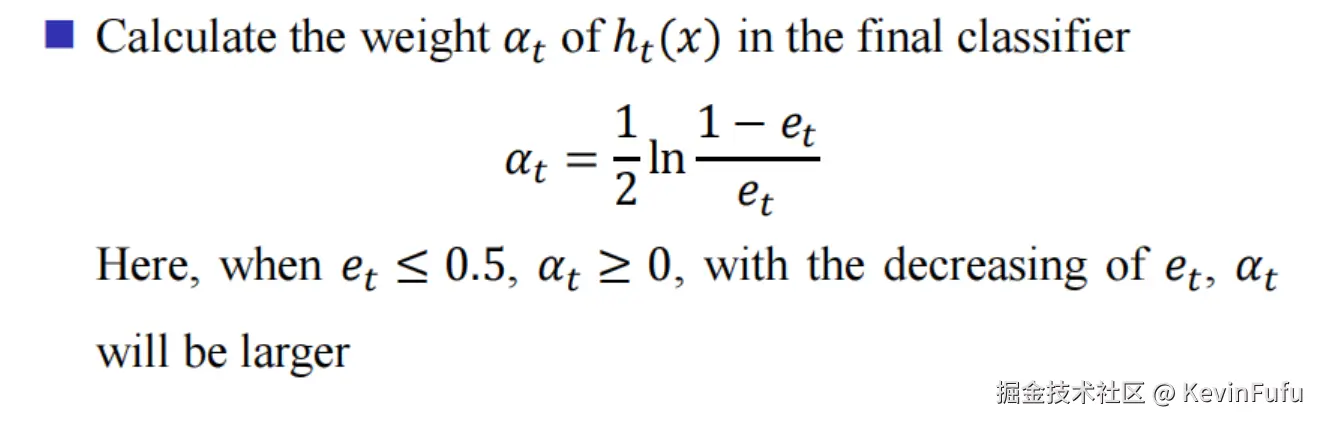
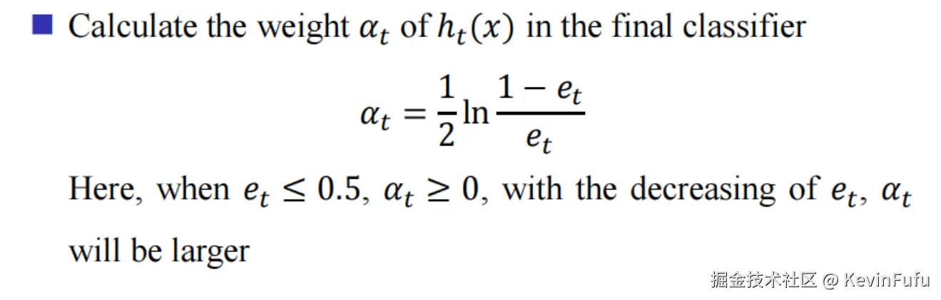
        ③ Calculate the weight alpha_t for ht(x) # 计算这个函数的权重
        ④ Update the weights of each data point # 对每一个点更新权重

声明:学长手绘的 weight value 是随便写的,接下来的公式会告诉大家怎么精确地求解 weight value。

一直划分,直到达到低训练错误的阈值为止(理论上只要迭代的次数足够多,算法准确度可以到 100%)

换句话说,看看学长在上面画的图,你是否发现蓝色的权重已经➗10了?

那么,只要我们把这三个线性的函数结合起来,是不是就可以拟合出非线性的情况了?

以上只是三种模型的情况,如果扩展到 N 种模型会怎么样呢?

接下来是公式总结,一定要记清楚哦:

请注意:更小错误率的分类器会变得更重要!

请注意,符号函数是一个非线性函数,所以 AdaBoost 是可以处理非线性问题的。

  如果期末上强度,会怎么考?

我们穷举了很多种分类方法,发现如果以 2.5 为分界线,小于 2.5 为 -1,大于 2.5 为 +1,错误率最小

为什么会使用 AdaBoost 呢?五大原因:

◼ 仅需要一个简单分类器作为基学习器

◼ 可以实现与强大分类器相似的预测

◼ 可以与任何学习算法结合

◼ 需要很少的参数调整

◼ 可以扩展到超出二分类的问题

小结一下,AdaBoost (Adaptive Boosting) 是集成方法中最流行且最有力的。AdaBoost 算法的重心放在了错误的数据点,实现简单。但是他依赖 base learner 的表现,并且在噪声数据面前显得十分脆弱。

四、GBDT ( Gradient Boosting Decision Tree,仅供了解 )