算法学习 day17 二叉树5

90 阅读6分钟

654. 最大二叉树

文章讲解

视频讲解

题目:给定一个不重复的整数数组 nums 。 最大二叉树 可以用下面的算法从 nums 递归地构建:

  1. 创建一个根节点,其值为 nums 中的最大值。
  2. 递归地在最大值 左边 的 子数组前缀上 构建左子树。
  3. 递归地在最大值 右边 的 子数组后缀上 构建右子树。

返回 nums 构建的 最大二叉树

 

示例 1:

输入: nums = [3,2,1,6,0,5]
输出: [6,3,5,null,2,0,null,null,1]
解释: 递归调用如下所示:
- [3,2,1,6,0,5] 中的最大值是 6 ,左边部分是 [3,2,1] ,右边部分是 [0,5] 。
    - [3,2,1] 中的最大值是 3 ,左边部分是 [] ,右边部分是 [2,1] 。
        - 空数组,无子节点。
        - [2,1] 中的最大值是 2 ,左边部分是 [] ,右边部分是 [1] 。
            - 空数组,无子节点。
            - 只有一个元素,所以子节点是一个值为 1 的节点。
    - [0,5] 中的最大值是 5 ,左边部分是 [0] ,右边部分是 [] 。
        - 只有一个元素,所以子节点是一个值为 0 的节点。
        - 空数组,无子节点。

解题思路

写个辅助函数,参数是节点值数组nums和构建的start和end,然后递归的构建最大树。

  • 时间复杂度:O(n^2),其中 n 是数组 nums 的长度。在最坏的情况下,数组严格递增或递减,需要递归 n 层,第 i (0≤i<n) 层需要遍历 n−i 个元素以找出最大值,总时间复杂度为 O(n^2)

  • 空间复杂度:O(n),即为最坏情况下需要使用的栈空间。

# 开区间
class Solution:
    def constructMaximumBinaryTree(self, nums: List[int]) -> Optional[TreeNode]:
        return self.build(nums, 0, len(nums)) # 注意:end的定义要么都是闭区间,要么都是开

    def build(self, nums:List[int], start:int, end:int)->TreeNode:
        # [start,end) 
        if start >= end:
            return None

        # 找到最大的值索引
        root_idx = start # 从start开始
        for i in range(start, end):
            if nums[i] > nums[root_idx]:
                root_idx = i
        
        # 构建根节点
        root = TreeNode(val=nums[root_idx])
        # 递归构建左右子树
        root.left = self.build(nums,start,root_idx)
        root.right = self.build(nums,root_idx+1,end)
        return root

总结

注意树的start和end的区间定义要固定,如果是[start,end),那么start=0,end=len(nums)。

617. 合并二叉树

文章讲解

视频讲解

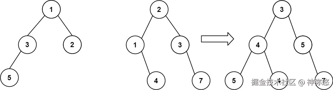
题目:给你两棵二叉树: root1 和 root2 。

想象一下,当你将其中一棵覆盖到另一棵之上时,两棵树上的一些节点将会重叠(而另一些不会)。你需要将这两棵树合并成一棵新二叉树。合并的规则是:如果两个节点重叠,那么将这两个节点的值相加作为合并后节点的新值;否则,不为 null 的节点将直接作为新二叉树的节点。

返回合并后的二叉树。

注意:  合并过程必须从两个树的根节点开始。

 

示例 1:

输入: root1 = [1,3,2,5], root2 = [2,1,3,null,4,null,7]
输出: [3,4,5,5,4,null,7]

解题思路

  • 时间复杂度:O(min(m,n)),m和n分别是两个二叉树的节点数。对两个二叉树同时进行深度优先搜索,只有当两个二叉树中的对应节点都不为空时才会对该节点进行显性合并操作,因此被访问到的节点数不会超过较小的二叉树的节点数。

  • 空间复杂度:O(min(m,n))空间复杂度取决于递归调用的层数,递归调用的层数不会超过较小的二叉树的最大高度,最坏情况下,二叉树的高度等于节点数。

class Solution:
    def mergeTrees(self, root1: Optional[TreeNode], root2: Optional[TreeNode]) -> Optional[TreeNode]:
        # base case 左或右树为空或者都为空
        if not root1:
            return root2
        if not root2:
            return root1

        # 合并值
        root1.val += root2.val
        root1.left = self.mergeTrees(root1.left, root2.left)
        root1.right = self.mergeTrees(root1.right, root2.right)
        return root1

总结

这道题合并root节点值时候,前中后序都可以。

700. 二叉搜索树中的搜索

文章讲解

视频讲解

题目:给定二叉搜索树(BST)的根节点 root 和一个整数值 val

你需要在 BST 中找到节点值等于 val 的节点。 返回以该节点为根的子树。 如果节点不存在,则返回 null 。

示例 1:

输入: root = [4,2,7,1,3], val = 2
输出: [2,1,3]

解题思路1:递归法

  • 时间复杂度:O(n),最坏情况是递增或者递减,树变成一条链,需要找到叶子节点。
  • 空间复杂度:O(n),最坏情况下递归需要 O(N) 的栈空间。
class Solution:
    def searchBST(self, root: Optional[TreeNode], val: int) -> Optional[TreeNode]:
        # base case: 树空或找到val,返回root
        if not root or root.val == val:
            return root
        
        if val < root.val:
            result = self.searchBST(root.left, val)
        if val > root.val:
            result = self.searchBST(root.right, val)
        return result

解题思路2:迭代法

对于二叉搜索树,不需要回溯的过程,因为节点的有序性就帮我们确定了搜索的方向。比根节点小就走左边,大就走右边。

  • 时间复杂度:O(n),最坏情况是递增或者递减,树变成一条链,需要找到叶子节点。
  • 空间复杂度:O(1)
class Solution:
    def searchBST(self, root: Optional[TreeNode], val: int) -> Optional[TreeNode]:
        while root:
            if root.val > val:
                root = root.left
            elif root.val < val:
                root = root.right
            else:
                return root
        return None
        

总结

98. 验证二叉搜索树

文章讲解

视频讲解

题目:给你一个二叉树的根节点 root ,判断其是否是一个有效的二叉搜索树。

有效 二叉搜索树定义如下:

  • 节点的左

    子树

    只包含 小于 当前节点的数。

  • 节点的右子树只包含 大于 当前节点的数。

  • 所有左子树和右子树自身必须也是二叉搜索树。

 

示例 1:

输入: root = [2,1,3]
输出: true

解题思路

中序遍历,在中序位置判断是否有序,判断的方法是记录之前节点的最大值,比当前节点值小;如果前大后小返回false。

  • 时间复杂度:O(n),每个节点最多被访问一次。
  • 空间复杂度:O(n),取决于递归深度,即二叉树高度,最坏情况变成一条链,高度为n。
# 通过递归遍历二叉树,并利用一个类变量 maxval 来跟踪当前节点的最大值,从而判断树是否符合二叉搜索树的性质
class Solution:
    maxval = float('-inf')
    
    def isValidBST(self, root: Optional[TreeNode]) -> bool:
        if not root:
            return True

        left = self.isValidBST(root.left)
        # 中序位置判断当前节点是否大于之前最大的节点
        if self.maxval < root.val:
            self.maxval = root.val
        else:
            return False
        right = self.isValidBST(root.right)

        return left and  right

总结

二叉搜索树遍历使用中序遍历,注意树节点元素可以是负的,需要设置一个最小的值-inf。