UML活动图绘制指南

1,849 阅读7分钟

UML活动图是一种用于表示软件系统执行流程的图,它和平时见到的流程图非常类似,但是实质上活动图与流程图并不是一种图,且比起流程图,UML活动图能够更加详细地表示一个软件系统或者某个软件功能的执行过程。

1,活动图的要素

在一个UML活动图中,通常有下列要素:

  • 起点:使用一个实心圆表示,是整个流程的开始
  • 终点:使用一个实心圆外加一个圆圈表示,是整个流程的结束
  • 活动:使用圆角矩形表示,是流程中一个不可再分的步骤
  • 对象:使用直角矩形表示,是步骤产生的中间变量或者对象,一个对象可以是一个活动的输入或者输出
  • 分支/融合节点:使用空心菱形表示,表示条件判断或者多个路径合并
  • 分叉/汇合:使用实心粗线表示(小飞棍??),用于分叉出并行的多个流程,或者多个流程汇合得到结果
  • 活动流:使用单向实线箭头表示,用于连接两个活动要素,表示两个活动的执行顺序
  • 对象流:使用单向虚线箭头表示,用于连接对象和其他要素,表示对象的流动顺序

下面,我们就来通过一些常见的示例,学习一下怎么绘制UML活动图。

2,活动图的绘制

(1) 简单顺序结构

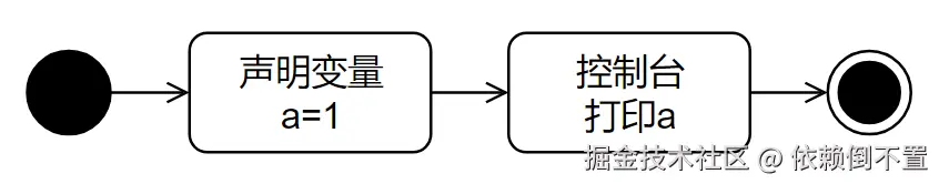
例如有下列简单代码:

// 声明变量a为1
int a = 1;
// 控制台输出a
System.out.println(a);

上述代码是由两个简单的步骤构成的流程,我们表示如下图:

image-20241123205218261

可见将每个步骤表示为一个活动即可,活动之间使用单向实线箭头连线表示它们的执行顺序。

上述我们将整个活动图竖着放、从上至下的顺序,事实上横着放、从左至右也可以:

image-20241123205124746

具体根据自己的排版来定。

(2) 活动与对象

当我们的某个步骤需要产生中间变量的时候,就可以使用对象要素来表示这个中间变量,中间变量可以作为一个活动的输入或者输出,例如下列代码:

Scanner scanner = new Scanner(System.in);
// 输入a
int a = scanner.nextInt();
// 输入b
int b = scanner.nextInt();
// 输出a+b的值
System.out.println(a + b);

上述前两个步骤为输入,输入产生了变量ab,最后输出了a + b的值,我们作图表示如下:

image-20241123210736953

可见我们使用矩形方框表示一个对象,并且对象流需要使用虚线单向箭头表示,即任何指向对象或者从对象发出的箭头都是虚线。

(3) 分支和循环

在软件开发中,无论是分支结构还是循环结构,通常都离不开条件,我们都可以使用UML活动图中的菱形来表示。

首先来看一个条件判断:

Scanner scanner = new Scanner(System.in);
// 输入hp值
int hp = scanner.nextInt();
if (hp > 80) {
	// 大于80,输出生命值良好
	System.out.println("生命值良好");
} else {
	// 否则,输出生命值低
	System.out.println("生命值低");
}

作图表示如下:

image-20241123212504272

通过菱形要素表示分支,并且我们通常需要把分支条件标记在从分支要素(菱形)延伸出去的箭头线上,使用方括号[]包围条件。

当然,分支要素事实上不仅仅能够表示这种简单的二元条件,对于多元条件判断也是可以的:

Scanner scanner = new Scanner(System.in);
// 输入hp
int hp = scanner.nextInt();
if (hp > 80) {
	// 大于80时
	System.out.println("生命值良好");
} else if (hp > 50) {
	// 介于50与80之间
	System.out.println("生命值中等");
} else {
	// 小于等于50
	System.out.println("生命值低");
}

作图如下:

image-20241123212853684

对于循环/迭代结构,事实上也可以使用分支要素与条件表达,例如:

// 初始化i=0
for (int i = 0; i < 10; i++) {
	// 当i<10时,输出i的值
	// 每循环一次i自加1
	System.out.println(i);
}

我们作图如下:

image-20241123213508688

此外,迭代元素也是类似的:

// 初始化数组a
int[] a = {1, 2, 3};
// 迭代a的元素,每次迭代得到的变量为num
for (int num : a) {
	// 输出num的值
	System.out.println(num);
}

作图如下:

image-20241123214047046

借助分支要素与条件,并结合正确的对象流或者活动流,我们也能够表示出循环和迭代结构。

(4) 步骤融合/合并

菱形符号除了能够表示步骤分支之外,也可以表示多个步骤合并为一条路径,或者多个变量输入到一个步骤的过程,例如下列代码:

// 获取用户选择的登录方式
String loginType = getUserLoginType();
boolean success = false;

// 根据用户的登录方式进行登录(分叉点)
if ("email".equals(loginType)) {
	success = loginWithEmail("user@example.com", "password123");
} else if ("phone".equals(loginType)) {
	success = loginWithPhone("1234567890", "123456");
}

// 只要成功就跳转首页(合并点)
if (success) {
	goToHomePage();
} else {
	System.out.println("登录失败,请重试。");
}

上述流程模拟了一个用户选择不同方式登录的流程,这个流程:

  • 在判断用户方式、并根据对应的方式执行登录逻辑的步骤是分叉
  • 而完成条件分支后,又都会统一判断登录是否成功并做出相应的跳转,也就是登录完成后路径又合并

这样,我们可以表达为下图所示:

总的来说,菱形符号可以表示:

  • 一条路径分支为多个路径的情况(例如条件判断)
  • 多条路径合并为一条路径的情况(多个条件分支结束后都统一执行同一个后续步骤,或者多个变量经过不同处理后输入到一个后续步骤等)

(5) 并行与汇合

例如有的任务需要多线程执行,对于并行的多任务表示,我们可以使用分叉/汇合元素来表示一个并行分叉的开始或者结束,例如下面是一段使用两个线程并行读取数组中元素的一段程序,其中一个线程读取输出奇数下标,一个线程读取输出偶数下标:

// 线程池
ExecutorService pool = Executors.newVirtualThreadPerTaskExecutor();
// 初始化数组a
int[] a = {1, 2, 3, 4, 5, 6, 7, 8, 9};
// 创建两个线程读取数组a
// 线程1选取奇数下标的元素并输出
Future<?> future1 = pool.submit(() -> {
	for (int i = 1; i < a.length; i += 2) {
		System.out.println("线程1:" + a[i]);
	}
});
// 线程2选取偶数下标的元素并输出
Future<?> future2 = pool.submit(() -> {
	for (int i = 0; i < a.length; i += 2) {
		System.out.println("线程2:" + a[i]);
	}
});
// 等待两个线程执行完成
future1.get();
future2.get();

作图表示如下:

image-20241123215534673

使用分叉/汇合元素(黑色粗线)可以表示多个并行流程开始分叉出去的点,也可以表示多个并行流程结束汇合到一起的点。

可见分叉/汇合貌似与菱形符号有着相同的作用,都能够实现路径分叉,或者多路径汇合,但实质上它们使用场景不同:

  • 菱形节点(分支/融合节点)通常用于同步的执行场景,常用于表示条件判断
  • 黑色实线(分叉/汇合元素)通常用于异步的执行场景,常用于表示多个同时进行的任务

3,Draw.io绘制活动图

Draw.io是一个开源的绘图软件,它包括了非常多的图案模板,我们可以使用它绘制各种各样的图,包括类图、活动图等等。

该软件可以直接在线使用,也可以下载客户端:

在之前的UML类图绘制教程中,已经讲解了如何使用Draw.io软件,这里就不再详细讲解了,主要提示一下一些需要注意的地方。

在左侧栏通用分类中,我们可以找到表示活动和对象的矩形:

image-20241123220256828

其余活动图相关图形,我们在左侧栏UML 2.5这个分类中可以找到:

image-20241123220504065

需要注意的是,默认情况下不会显示UML 2.5这个分类,点击左侧下方**+ 更多图形**按钮调出来即可:

image-20241123220559577

image-20241123220633258

示例仓库地址:传送门