基于圆柱体镜子和光线跟踪实现镜反射观测全景观图的matlab模拟仿真

66 阅读4分钟

1.程序功能描述 基于圆柱体镜子和光线跟踪实现镜反射观测全景观图.模拟的场景如下所示:

c3ba81cfdd233ff3913fafe855821f43_watermark,size_14,text_QDUxQ1RP5Y2a5a6i,color_FFFFFF,t_100,g_se,x_10,y_10,shadow_20,type_ZmFuZ3poZW5naGVpdGk=.png

2.测试软件版本以及运行结果展示 MATLAB2022a版本运行

2.jpeg

3.jpeg

4.jpeg

5.jpeg

6.jpeg

7.jpeg

3.核心程序

`%% step1 for i = 1:mm x_new(i) = i-round(mm/2);
end for i = 1:nn y_new(i) = i-round(nn/2);
end for i=1:mm for j=1:nn [x1s(i,j),y1s(i,j)]=func_x1y1(x_new(i),y_new(j),alf,h,d,mm,nn);
end end

X_maxer = abs(min(min(x1s)))+1; Y_maxer = abs(min(min(y1s)))+1;

x1 = x1s + X_maxer; y1 = y1s + Y_maxer;

for i=1:mm-1 for j=1:nn-1 image1(x1(i,j):x1(i,j+1),y1(i,j):y1(i,j+1) ,1) = img0(i,j,1); image1(x1(i,j):x1(i,j+1),y1(i,j):y1(i,j+1) ,2) = img0(i,j,2); image1(x1(i,j):x1(i,j+1),y1(i,j):y1(i,j+1) ,3) = img0(i,j,3);

image2(x1(i,j):x1(i+1,j),y1(i,j):y1(i+1,j)    ,1) = img0(i,j,1);
image2(x1(i,j):x1(i+1,j),y1(i,j):y1(i+1,j)    ,2) = img0(i,j,2);
image2(x1(i,j):x1(i+1,j),y1(i,j):y1(i+1,j)    ,3) = img0(i,j,3);

image3(x1(i,j):x1(i+1,j+1),y1(i,j):y1(i+1,j+1),1) = img0(i,j,1);
image3(x1(i,j):x1(i+1,j+1),y1(i,j):y1(i+1,j+1),2) = img0(i,j,2);
image3(x1(i,j):x1(i+1,j+1),y1(i,j):y1(i+1,j+1),3) = img0(i,j,3);


end

end

%% step2 x1s2 = x1s/abs(max(max(x1s))); y1s2 = y1s/abs(max(max(y1s)));

for i=1:mm for j=1:nn [x2(i,j),y2(i,j)] = func_x2y2(x1s2(i,j),y1s2(i,j),d); end end

x2 = round(x2500); y2 = round(y2500); X_max = abs(min(min(x2)))+1; Y_max = abs(min(min(y2)))+1;

for i=1:mm for j=1:nn y3(i,j) = y2(i,j) + Y_max; x3(i,j) = x2(i,j) + X_max; end end

%图像的合并 images01 = func_view(img0,mm,nn,x3,y3); subplot(122) imshow(images01); 24_001m `

4.本算法原理 基于圆柱体镜子和光线跟踪技术实现镜反射观测全景观图,涉及几何光学、计算机图形学以及数值计算等多个领域的知识。该方法利用圆柱镜面的反射特性,通过模拟光线在场景与镜子之间的交互,构建出一种独特的全景视角。

圆柱体镜子:圆柱镜是一种具有特定曲率半径的圆柱形反射表面。其反射特性遵循镜面反射定律,即入射光线、反射光线与法线(垂直于镜面的直线)均位于同一平面内,且入射角等于反射角。

光线跟踪:光线跟踪是一种计算机图形学中的渲染技术,它模拟光在虚拟场景中的传播路径,通过追踪从观察者出发(或反向从光源出发)的光线,计算其与场景物体的交点及对应的光照信息,以合成逼真的图像。

全景图:全景图是一种能够展现360°视野范围内场景信息的图像。在圆柱镜反射观测全景观图中,通过合理布置光源和圆柱镜,使得场景中的所有可见部分都能被反射到镜面上,再通过光线跟踪合成出全景视图。

光线与圆柱镜面的交点计算: 给定一条光线 L(t)=O+tD,其中 O 是光线起点,D 是单位方向向量,t 是沿光线的参数。要确定光线与圆柱镜面x2+y2=r2 的交点,需解下列方程组:

9971d1732ff6c94b7579a7376a5041ee_watermark,size_14,text_QDUxQ1RP5Y2a5a6i,color_FFFFFF,t_100,g_se,x_10,y_10,shadow_20,type_ZmFuZ3poZW5naGVpdGk=.png

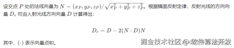
反射光线计算:

82e4d10a22299037e712615b53c91d12_watermark,size_14,text_QDUxQ1RP5Y2a5a6i,color_FFFFFF,t_100,g_se,x_10,y_10,shadow_20,type_ZmFuZ3poZW5naGVpdGk=.png

全景图坐标转换: 将反射光线交点处的场景颜色信息映射到圆柱镜面的全景图上,需要进行坐标转换。假设全景图的坐标为u,v),则:

621e77aae2b7a210dbbc5370ebfc4f30_watermark,size_14,text_QDUxQ1RP5Y2a5a6i,color_FFFFFF,t_100,g_se,x_10,y_10,shadow_20,type_ZmFuZ3poZW5naGVpdGk=.png

其中,h 是圆柱镜的高度。将 (u,v) 映射到全景图对应像素位置,并存储该位置的颜色值。