CodeGeeX

327 阅读1分钟

概述

  • CodeGeeX,是一个具有130亿个参数的多语言模型,用于代码生成,在23种编程语言的8500亿个token上进行了预训练,具有8K的上下文窗口
  • CodeGeeX的特点:除了代码生成和代码补全,也支持代码解释和代码翻译。

架构

202407251536.png

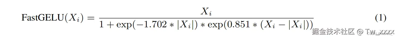
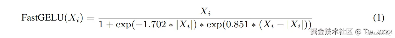
  1. 使用类GELU的FastGELU

202407251537.png

  1. Top Query层和解码层
    • 原始的GPT使用pooler函数来获得最终的输出。我们在所有transformer层之上使用一个额外的查询层,通过attention获得最终的embedding。top query层的输入被替换为位置n+1的query embedding。最后的输出再乘以词嵌入矩阵的转置,得到输出概率。对于解码策略,贪心、温度采样、top-k采样、top-p采样和beam search。最后,去标记化将把选中的tokenID变成一个实际的单词