如何高效率选出高能效的电感?

155 阅读9分钟

导读

在高频 DC-DC 转换器中,电感器过滤掉叠加在 DC 输出上的纹波电流。无论转换器是降压,升压,还是同时升降压,电感器都会平滑纹波以提供直流输出。当铁损与铜损的组合损耗最低时,电感器效率最高。选择高感量的电感来平滑纹波电流实现效率最高,即损耗最佳,需要确保在通过工作电流时,电感器不能磁芯饱和,也不能绕组过热。本文介绍了如何评估电感器的损耗,以及高效率电感器的设计与快速选型方法。

Part1

电感器的损耗评估

评估电感器的铁损和铜损是相当复杂的。铁损通常取决于如下的几个因素,如纹波电流值、开关频率、磁芯材料、磁芯参数和绕组匝数。电路的纹波电流和开关频率取决于应用,而磁芯材料、磁芯参数和匝数则取决于电感。

评估铁损最常用的方程是 Steinmetz 方程:

图片

其中:

Pvc = 磁芯单位体积功率损耗

K, x, y = 磁芯材料常数

f = 开关频率

B = 磁通量密度

该方程表明,磁芯损耗(铁损)取决于频率(f)和磁通量密度(B)。磁通量密度取决于纹波电流,因此两者都是应用相关变量。铁损与电感本身有关,其中磁芯材料决定了 K、x 和 y 常数。磁通量密度也是由磁芯有效面积(Ae)和匝数(N)共同确定的,因此铁损既取决于应用,也取决于电感本身。

相比之下,直流铜损的计算就比较容易:

图片

其中

Pdc = 直流损耗(W)

Idc = 电感的有效值电流(rms)

DCR =电感绕组的直流电阻

交流铜损评估相对复杂,交流铜损会因集肤效应和邻近效应而导致的高频交流电阻增加而增加。ESR(等效串联电阻)或 ACR(交流电阻)曲线可能显示较高频率下的一些电阻增加,但是曲线通常是在非常低的电流水平下测量出来的,因此该损耗不包含纹波电流带来的铁损,这是个容易误解的地方。

例如,图 1 所示的ESR-频率曲线

图片

图 1. ESR 与频率的关系

根据上图,1MHz以上的等效串联电阻非常高。在这个频率段以上使用该电感的话,铜损非常高,因此在这个频率段以上的应用不该选用这个电感。但是在实际的应用中,电感的实际损耗比这个曲线展示的损耗要低得多。

请考虑以下示例:

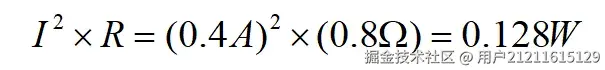
假设转换器的输出为0.4 A、5 V(2.0W) ;开关频率为200kHz。选用一个10μH的科达嘉电感,其典型ESR与频率的关系如图 1 所示。在200kHz的工作频率下ESR约为0.8Ω。

对于降压转换器,平均电感电流等于负载电流 0.4 A。我们可以计算电感中的损耗:

图片

0.128W÷(2.0+0.128)W =6.0% (电感器需要消耗输入功率的6%)

但是,如果我们以4 MHz运行相同的转换器,我们可以从 ESR 曲线中看到 R 在11Ω左右。那么电感中的功率损耗应该是:

图片

1.76W÷(2.0+1.76)W=46.8%(电感器需要消耗输入功率的46.8%)

基于以上的计算,似乎不应该在这个频率及以上频率段选用该电感。

但是在实际应用中,转换器的效率要比根据ESR-频率曲线计算出的效率好得多。原因如下:

图 2 简化版本降压转换器电流波形,连续模式,纹波电流较小。

图片

图 2. 简化版本降压转换器电流波形

假设I p-p(纹波电流峰峰值)约为平均电流的 10%。则:

I直流 = 0.4 A

I p-p = 0.04 A

为了准确评估电感的损耗,必须将其分低频损耗(直流损耗)与高频损耗两部分。

低频电阻(实际上是 DCR),读图约为 0.7 Ω。电流是负载电流加上纹波电流的 rms 值。纹波电流很小,有效电流等于直流负载电流。

图片

高频损耗中,即图片,R 是 ESR(200kHz),而I仅是纹波电流的有效值(rms):

图片

在 200 kHz 时,交流损耗为:

图片

因此,在 200 kHz 时,预测总电感损耗为 0.112 W + 0.000106 W = 0.112106 W。

在 200 kHz 下工作时预测的损耗仅比 DCR 预测的略高(小于 1%)。

计算一下 4 MHz 的损耗。低频损耗仍然是相同的 0.112 W。

交流损耗计算必须使用ESR,之前估计为 11 欧姆:

图片

因此,4 MHz 时的总电感损耗为0.112 W + 0.00147 W = 0.11347 W。

这个就更为明显了,预测损耗比DCR损耗高约 1.3%,远低于此前预测的1.76 W。此外,在 4 MHz 时不会使用与 200 kHz 时相同的电感值,将使用更小的电感值,电感的DCR也会更小。

Part2

高效率电感器设计

对于纹波电流相对于负载电流较小的连续电流模式转换器,合理计算损耗必须通过DCR和ESR的组合来计算。另外,ESR 曲线计算的损耗是不包含铁损。铜损与铁损共同决定电感的效率。科达嘉通过选择低损耗材料和设计总损耗最小的电感器来优化电感器效率。使用扁平线绕组可以在限定尺寸中提供最低的DCR,减少铜损。改进磁芯材料可以减低高频下的铁损,从而提高了电感的整体效率。

例如,科达嘉 CSEG 系列一体成型功率电感针对高频、高峰值电流应用进行了优化。这些电感具有软饱和特性,同时在 200kHz 或更高频率下具有最低的 AC 损耗和更低的 DCR。

图 3 显示了 CSBL、CSBX、CSEC和CSEB 系列中 3.8/3.3 μH 值的电感与电流特性。CSBL、CSBX、CSEC 和 CSEB 系列显然是将电感保持在12A或更高电流的最佳选择。

表 1.比较 CSBL、CSBX、CSEC和CSEB的 DCR 和 Isat。

图片

比较了电感在 200KHz 时的交流损耗和总损耗,CSEB 采用超越以往所有设计的创新结构,实现了最低的直流和交流损耗。这使得 CSEB 系列成为高频电源转换器应用的最佳选择,这些应用必须承受高峰值电流和最低的直流和交流损耗。

图片

图3. 比较CSBL、CSBX、CSEC和CSEB系列3.8/3.3μH的饱和电流曲线与温升电流曲线

图片

图 4. 比较CSBL、CSBX、CSEC和CSEB 200KHz 时的交流损耗和总损耗

Part3

电感快速选型工具

为了加快工程师选择电感器的过程,科达嘉开发了选型工具,可以针对每种可能的应用条件计算基于测量的磁芯和绕组损耗。这些工具的结果包括电流相关和频率相关的磁芯和绕组损耗,无需请求专有的电感器设计信息,如磁芯材料、Ae和匝数,也无需进行手动计算。

科达嘉选型工具根据工作条件如输入输出电压、开关频率、平均电流、纹波电流以计算出电感值。将此信息输入我们的功率电感选型工具,以筛选出可能满足这些要求的电感器,列出每个电感器的电感值、直流电阻、饱和电流、温升电流、工作温度等信息。

如已知道应用所需的电感值和额定电流,则可以直接在功率电感选型器中输入此信息。结果显示出每个电感的磁芯和绕组损耗和饱和电流额定值,以验证在应用的峰值电流条件下,电感是否仍接近设计要求。

图片

该工具还可用于绘制电感与电流行为的关系图,以比较各类型电感区别、优劣势,可以先按总损耗对结果进行排序。将所有电感信息(最多四个)放在一个图表中并排序,有助于进行此类分析,从而可以选择出效率最高的电感。

计算总损耗可能很复杂,但这些计算内置于科达嘉选型工具中,使选择、比较和分析尽可能简单,可以更高效选择到高能效的电感。