Rust整合Elasticsearch

521 阅读22分钟

Elasticsearch是什么

Lucene:Java实现的搜索引擎类库

  • 易扩展
  • 高性能
  • 仅限Java开发
  • 不支持水平扩展

Elasticsearch:基于Lucene开发的分布式搜索和分析引擎

  • 支持分布式、水平扩展
  • 提高RestfulAPI,可被任何语言调用

Elastic Stack是什么

ELK(Elastic Stack):Elasticsearch结合Kibana、Logstash、Beats实现日志数据分析、实时监控

  • Elasticsearch:负责存储、搜索、分析数据
  • Kibana:数据可视化
  • LogstashBeats:数据抓取(一般用Debezium、Flink、RisingWave...)

Elasticsearch能做什么

  • 实时数据分析:支持对实时数据进行索引和分析,可快速处理大量的日志、指标和事件数据
  • 实时监控:对系统指标、业务数据和用户行为进行实时监控
  • 电商搜索:为电商平台提供商品搜索功能,帮助用户快速找到所需的商品
  • 知识库搜索:为企业内部的文档、知识库和业务数据提供搜索功能,提高员工的工作效率

Elasticsearch 索引

传统数据库使用正向索引,依据id构建B+树,根据索引id查快,对于非索引文档如商品描述查需要全表扫描

倒排索引:将文档分为词条和id进行存储,先查文档获取id,再根据id查数据库

  • 文档(Document):每条数据就是一个Json文档
  • 词条(Term):文档按语义分成的词语

索引(Index):相同类型文档的集合 映射(Mapping):索引中的文档约束信息 字段(Fielf):Json文档中的字段 DSL:Json风格的请求语句,用来实现CRUD

Docker安装Elasticsearch、Kibana、IK

1、先创建自定义网络

使用默认bridge只能通过ip通信,这里加入了自定义网络,自定义网络可以自动解析容器名

  • docker network ls查看已有网络
  • 创建自定义网络docker network create pub-network
  • 手动连接网络docker network connect pub-network container_name_or_id
  • 删除网络docker network rm network_name_or_idid

2、创建文件夹

mkdir -p /opt/es/data

mkdir -p /opt/es/plugins

mkdir -p /opt/es/logs

3、授权

chmod -R 777 /opt/es/data

chmod -R 777 /opt/es/logs

安装IK分词器

由于ES对中文分词无法理解语义,需要IK插件 release.infinilabs.com/analysis-ik…

Elasticsearch、Kibana、IK所有版本保持一致,解压后使用shell工具将整个文件夹上传到/opt/es/plugins

离线部署Elasticsearch、Kibana

在能访问的地方拉取镜像

docker pull elasticsearch:8.15.2

docker pull kibana:8.15.2

这里使用wsl,wsl进入wsl,然后进入win的D盘

cd /mnt/d

打包镜像,这个文件可以在win D盘找到

docker save elasticsearch:8.15.2 > elasticsearch.tar

docker save kibana:8.15.2 > kibana.tar

使用shell工具如Windterm上传文件

加载镜像

docker load -i elasticsearch.tar

docker load -i kibana.tar

查看镜像

docker images

然后命令部署或者docker-compose部署即可

命令部署Elasticsearch、Kibana

部署Elasticsearch

docker run -d \
--name es \
--network pub-network \
--restart always \
-p 9200:9200 \
-p 9300:9300 \
-e "xpack.security.enabled=false" \
-e "discovery.type=single-node" \
-e "http.cors.enabled=true" \
-e "http.cors.allow-origin:*" \
-e "ES_JAVA_OPTS=-Xms512m -Xmx512m" \
-v /opt/es/data:/usr/share/elasticsearch/data \
-v /opt/es/plugins:/usr/share/elasticsearch/plugins \
-v /opt/es/logs:/usr/share/elasticsearch/logs \
--privileged=true \
elasticsearch:8.15.2

xpack.security.enabled=false禁用密码登录

如果要使用token: -e "xpack.security.enrollment.enabled=true" \

docker部署一般用于开发,不要为难自己,使用token会有很多问题,生产环境再开,使用SSl需要证书

部署Kibana

docker run -d \
--name kibana \
--network pub-network \
--restart always \
-p 5601:5601 \
-e CSP_STRICT=false \
-e I18N_LOCALE=zh-CN \
kibana:8.15.2

报错kibana 服务器尚未准备就绪,是因为配置了ELASTICSEARCH_HOSTS

docker-compose部署Elasticsearch、Kibana

  es:
    image: elasticsearch:8.15.2
    container_name: es
    network_mode: pub-network
    restart: always
    ports:
      # 9200:对外暴露的端口
      - 9200:9200
      # 9300:节点间通信端口
      - 9300:9300
    environment:
      # 禁用密码登录
      xpack.security.enabled: 'false'
      # 单节点运行
      discovery.type: single-node
      # 允许跨域
      http.cors.enabled: 'true'
      # 允许所有访问
      http.cors.allow-origin: '*'
      # 堆内存大小
      ES_JAVA_OPTS: '-Xms512m -Xmx512m'
    volumes:
      # 数据挂载
      - /opt/es/data:/usr/share/elasticsearch/data
      # 插件挂载
      - /opt/es/plugins:/usr/share/elasticsearch/plugins
      # 日志挂载
      - /opt/es/logs:/usr/share/elasticsearch/logs
    # 允许root用户运行
    privileged: true
  kibana:
    image: kibana:8.15.2
    container_name: kibana
    network_mode: pub-network
    restart: always
    ports:
      - 5601:5601
    environment:
      # 禁用安全检查
      CSP_STRICT: 'false'
      # 设置中文
      I18N_LOCALE: zh-CN
networks:
  pub-network:
    name: pub-network

部署

docker-compose up -d

删除Elasticsearch、Kibana

docker rm -f es

docker rm -f kibana

开启安全配置(可选,如果要用密码和token)

es8开始需要密码访问,kibana通过token访问

# 生成密码
docker exec -it es /usr/share/elasticsearch/bin/elasticsearch-reset-password -u elastic
# 生成kibana访问token
docker exec -it es /usr/share/elasticsearch/bin/elasticsearch-create-enrollment-token -s kibana

访问Elasticsearch、Kibana

Elasticsearch:127.0.0.1:9200,看到以下界面就部署成功了

image.png

Kibana:127.0.0.1:5601看到以下界面就部署成功了

访问:http://127.0.0.1:9200/.kibana跨域查看有没有发现可视化工具kibana

image.png

我们选择手动配置,使用http://es:9200,我们没有配置ssl只能用http,容器名为es

image.png

在终端运行命令查看日志中的验证码

docker logs kibana

image.png

使用

image.png

GET /_analyze
{
  "analyzer": "ik_max_word",
  "text": "好好学习天天向上"
}

如果一个字为一个词条,就说明分词插件IK没装好,重新安装后重启容器docker restart es

image.png

分词原理

依据字典进行分词

对于一些新词语,如铝合金键盘被称为“铝坨坨”,词典中没有这个词语,会将其逐字分词 image.png

分词流程

  • 1、character filters:字符过滤器,进行原始处理,如转换编码、去停用词、转小写
  • 2、tokenizer:分词器,将文本流进行分词为词条
  • 3、tokenizer filter:将词条进行进一步处理,如同义词处理、拼音处理

扩展词库

在IK插件config/IKAnalyzer.cfg.xml中添加

<?xml version="1.0" encoding="UTF-8"?>
<!DOCTYPE properties SYSTEM "http://java.sun.com/dtd/properties.dtd">
<properties>
	<comment>IK Analyzer 扩展配置</comment>
	<!--用户可以在这里配置自己的扩展字典 -->
	<entry key="ext_dict">ext.dic</entry>
	 <!--用户可以在这里配置自己的扩展停止词字典-->
	<entry key="ext_stopwords">stopword.dic</entry>
	<!--用户可以在这里配置远程扩展字典 -->
	<!-- <entry key="remote_ext_dict">words_location</entry> -->
	<!--用户可以在这里配置远程扩展停止词字典-->
	<!-- <entry key="remote_ext_stopwords">words_location</entry> -->
</properties>

停用词库

例如敏感词

<?xml version="1.0" encoding="UTF-8"?>
<!DOCTYPE properties SYSTEM "http://java.sun.com/dtd/properties.dtd">
<properties>
	<comment>IK Analyzer 扩展配置</comment>
	<!--用户可以在这里配置自己的扩展字典 -->
	<entry key="ext_stopwords">stopword.dic</entry>
</properties>

使用

生产使用可以用AI、ELP进行分词

修改配置,添加扩展词库和停用词库

vim /opt/es/plugins/elasticsearch-analysis-ik-8.15.2/config/IKAnalyzer.cfg.xml

这里新建一个词库

touch /opt/es/plugins/elasticsearch-analysis-ik-8.15.2/config/ext.dic

编辑扩展词库

vim /opt/es/plugins/elasticsearch-analysis-ik-8.15.2/config/ext.dic

添加分词

铝坨坨

编辑停用词库

vim /opt/es/plugins/elasticsearch-analysis-ik-8.15.2/config/stopword.dic

添加

重启ES

docker restart es

测试分词

GET /_analyze
{
  "analyzer": "ik_max_word",
  "text": "重重的铝坨坨"
}

可以看到扩展词库的“铝坨坨”被分词识别出来了,“的”没有被分词 image.png

分词作用

  • 创建倒排索引时对文档分词
  • 用户搜索时对输入的内容分词

IK分词模式

  • ik_smart:智能切分,粗粒度
  • ik_max_word:最细切分,细粒度

DSL 索引操作

  • 仅允许GET, PUT, DELETE, HEAD
  • mapping:对索引库中文档的约束,常见的属性有
    • type:字段数据类型
      • 字符串:text(可分词的文本)、keyword(不分词的精确值,合在一起有意义的词,如国家、品牌)
      • 数值:longintegershortbytedoublefloat
      • 布尔:boolean
      • 日期:date
      • 对象:object
    • index:是否创建倒排索引,默认true
    • analyzer:使用哪种分词器
    • properties:字段的子字段

添加索引库,每次写入操作版本都会+1,如添加(POST)、更新(PUT)

索引库mgr

PUT /mgr
{
  "mappings": {
    "properties": {
      "info": {
        "type": "text",
        "analyzer": "ik_smart"
      },
      "email": {
        "type": "keyword",
        "index": false
      },
      "name": {
        "type": "object",
        "properties": {
          "firstName": {
            "type": "keyword"
          },
          "lastName": {
            "type": "keyword"
          }
        }
      }
    }
  }
}

查询索引库

GET /mgr

更新索引库(索引库禁止修改,因为索引库建立倒排索引后无法修改,只能添加新字段)

PUT /mgr/_mapping
{
  "properties":{
    "age":{
      "type":"integer"
    }
  }
}

删除索引库

DELETE /mgr

DSL文档操作

添加文档

索引库mgr/文档/文档id

POST /mgr/_doc/1
{
  "info": "铝坨坨键盘",
  "email": "11111@gmail.com",
  "name": {
    "firstName": "C",
    "lastName": "I"
  }
}

查询文档

GET /mgr/_doc/1

更新文档

全量更新,删除旧文档,添加新文档

如果文档id不存在则与添加文档功能相同

PUT /mgr/_doc/1
{
  "info": "铝坨坨键盘",
  "email": "222@gmail.com",
  "name": {
    "firstName": "C",
    "lastName": "I"
  }
}

增量更新(局部更新)

指定_update,指定文档doc

POST /mgr/_update/1
{
  "doc": {
    "email": "333@gmail.com"
  }
}

删除文档

DELETE /mgr/_doc/1

Rust客户端操作Elasticsearch

添加Cargo.toml

elasticsearch = "8.15.0-alpha.1"
# 序列化和反序列化数据
serde = { version = "1.0.127", features = ["derive"] }
# 序列化JSON
serde_json = "1.0.128"
tokio = { version = "1", features = ["full"] }
# 异步锁
once_cell = "1.20.2"

添加环境变量.env

# 指定当前配置文件
RUN_MODE=development

添加配置settings\development.toml

debug = true
# 指定开发环境配置
profile = "development"
[es]
host = "127.0.0.1"

获取配置config\es.rs

use serde::Deserialize;
#[derive(Debug, Deserialize, Clone)]
pub struct EsConfig {
    host: String,
    port: u16,
}
impl EsConfig {
    // 获取redis连接地址
    pub fn get_url(&self) -> String {
        format!("http://{host}:{port}", host = self.host, port = self.port)
    }
}

将配置存放到AppConfig

#[derive(Debug, Deserialize, Clone)]
pub struct AppConfig {
    pub es:EsConfig,
}
impl AppConfig {
    pub fn read(env_src: Environment) -> Result<Self, config::ConfigError> {
        // 获取配置文件目录
        let config_dir = get_settings_dir()?;
        info!("config_dir: {:#?}", config_dir);
        // 获取配置文件环境
        let run_mode = std::env::var("RUN_MODE")
            .map(|env| Profile::from_str(&env).map_err(|e| ConfigError::Message(e.to_string())))
            .unwrap_or_else(|_e| Ok(Profile::Dev))?;
        // 当前配置文件名
        let profile_filename = format!("{run_mode}.toml");
        // 获取配置
        let config = config::Config::builder()
            // 添加默认配置
            .add_source(config::File::from(config_dir.join("default.toml")))
            // 添加自定义前缀配置
            .add_source(config::File::from(config_dir.join(profile_filename)))
            // 添加环境变量
            .add_source(env_src)
            .build()?;
        info!("Successfully read config profile: {run_mode}.");
        // 反序列化
        config.try_deserialize()
    }
}
// 获取配置文件目录
pub fn get_settings_dir() -> Result<std::path::PathBuf, ConfigError> {
    Ok(get_project_root()
        .map_err(|e| ConfigError::Message(e.to_string()))?
        .join("settings"))
}
#[cfg(test)]
mod tests {
    use crate::config::profile::Profile;

    use self::env::get_env_source;

    pub use super::*;
    #[test]
    pub fn test_profile_to_string() {
        // 设置dev模式
        let profile: Profile = Profile::try_from("development").unwrap();
        println!("profile: {:#?}", profile);
        assert_eq!(profile, Profile::Dev)
    }
    #[test]
    pub fn test_read_app_config_prefix() {
        // 读取配置
        let config = AppConfig::read(get_env_source("APP")).unwrap();
        println!("config: {:#?}", config);
    }
}

将配置存放到全局constant\mod.rs

// 环境变量前缀
pub const ENV_PREFIX: &str = "APP";
// 配置
pub static CONFIG: Lazy<crate::config::AppConfig> = Lazy::new(||
    crate::config::AppConfig::read(get_env_source(ENV_PREFIX)).unwrap()
);

加载配置文件client\builder.rs

use crate::config::AppConfig;
// 传输配置文件到客户端
pub trait ClientBuilder: Sized {
    fn build_from_config(config: &AppConfig) -> Result<Self,InfraError>;
}

Es客户端client\es.rs

InfraError为自定义错误,请修改为你想要的错误,如标准库错误

// 类型别名
pub type EsClient = Arc<Elasticsearch>;
// 加载配置文件
pub trait EsClientExt: Sized {
    fn build_from_config(config: &AppConfig) -> impl Future<Output = Result<Self, InfraError>>;
}

impl EsClientExt for EsClient {
    async fn build_from_config(config: &AppConfig) -> Result<Self, InfraError> {
        // 1、使用single_node方式创建client
        // let transport = Transport::single_node(&config.es.get_url()).unwrap();
        // let client = Elasticsearch::new(transport);
        // Ok(Arc::new(client))

        // 2、使用builder方式创建client,可以添加多个url
        let url = config.es.get_url();
        let url_parsed = url
            .parse::<elasticsearch::http::Url>()
            .map_err(|_| InfraError::OtherError("url err".to_string()))?;
        let conn_pool = SingleNodeConnectionPool::new(url_parsed);
        let transport = TransportBuilder::new(conn_pool)
            .disable_proxy()
            .build()
            .map_err(|_| InfraError::OtherError("transport err".to_string()))?;
        let client = Elasticsearch::new(transport);
        Ok(Arc::new(client))
    }
}

测试client\es.rs,所有请求在body()中定义DSL语句,通过send()发送

#[cfg(test)]
mod tests {
    use elasticsearch::{ cat::CatIndicesParts, DeleteParts, IndexParts, UpdateParts };
    use serde_json::json;
    use super::*;
    use crate::constant::CONFIG;
    #[tokio::test]
    async fn test_add_document() {
        let client_result = EsClient::build_from_config(&CONFIG).await;
        assert!(client_result.is_ok());
        let client = client_result.unwrap();

        let response = client
            .index(IndexParts::IndexId("mgr", "1"))
            .body(
                json!({
                "id": 1,
                "user": "cci",
                "post_date": "2024-01-15T00:00:00Z",
                "message": "Trying out Elasticsearch, so far so good?"
            })
            )
            .send().await;

        assert!(response.is_ok());
        let response = response.unwrap();
        assert!(response.status_code().is_success());
    }

    #[tokio::test]
    async fn test_get_indices() {
        let client_result = EsClient::build_from_config(&CONFIG).await;
        assert!(client_result.is_ok());
        let client = client_result.unwrap();

        let get_index_response = client
            .cat()
            .indices(CatIndicesParts::Index(&["*"]))
            .send().await;

        assert!(get_index_response.is_ok());
    }

    #[tokio::test]
    async fn test_update_document() {
        let client_result = EsClient::build_from_config(&CONFIG).await;
        assert!(client_result.is_ok());
        let client = client_result.unwrap();

        let update_response = client
            .update(UpdateParts::IndexId("mgr", "1"))
            .body(
                json!({
                "doc": {
                    "message": "Updated message"
                }
            })
            )
            .send().await;

        assert!(update_response.is_ok());
        let update_response = update_response.unwrap();
        assert!(update_response.status_code().is_success());
    }

    #[tokio::test]
    async fn test_delete_document() {
        let client_result = EsClient::build_from_config(&CONFIG).await;
        assert!(client_result.is_ok());
        let client = client_result.unwrap();

        let delete_response = client.delete(DeleteParts::IndexId("mgr", "1")).send().await;

        assert!(delete_response.is_ok());
        let delete_response = delete_response.unwrap();
        assert!(delete_response.status_code().is_success());
    }
}

使用流程

        // 1、创建client
        let client_result = EsClient::build_from_config(&CONFIG).await;
        assert!(client_result.is_ok());
        let client = client_result.unwrap();
        // 2、定义DSL语句
        let mut body: Vec<JsonBody<_>> = Vec::with_capacity(4);
        // 添加文档
        body.push(json!({"index": {"_id": "1"}}).into());
        body.push(
            json!({
    "id": 1,
    "user": "kimchy",
    "post_date": "2009-11-15T00:00:00Z",
    "message": "Trying out Elasticsearch, so far so good?"
}).into()
        );
        // 添加文档
        body.push(json!({"index": {"_id": "2"}}).into());
        body.push(
            json!({
    "id": 2,
    "user": "forloop",
    "post_date": "2020-01-08T00:00:00Z",
    "message": "Bulk indexing with the rust client, yeah!"
}).into()
        );
        // 3、发送请求
        let response = client.bulk(BulkParts::Index("mgr")).body(body).send().await.unwrap();

项目地址:github.com/VCCICCV/MGR

分析数据结构

mapping要考虑的问题:字段名、数据类型、是否参与搜索(建立倒排索引"index":false,默认true)、是否分词(参与搜索的字段,text分词,keyword、数据类型不分词)、分词器

  • 地理坐标:
    • geo_point:由经度(longitude)和纬度(latitude)确定的一个点,如[ 13.400544, 52.530286 ]
    • geo_shape:由多个geo_point组成的几何图形,如一条线[[13.0, 53.0], [14.0, 52.0]]
  • copy_to:将多个字段组合为一个字段进行索引

Rust客户端操作索引库

生产环境不要使用unwrap()

这里演示在请求正文中操作,使用send()

Transport支持的方法Method

  • Get:获取资源
  • Put:创建或更新资源(全量更新)
  • Post:创建或更新资源(部分更新)
  • Delete:删除资源
  • Head:获取头信息

send()请求正文需要包含的参数:

  • method:必须
  • path:必须
  • headers:必须
  • query_string:可选
  • body:可选
  • timeout:可选

添加索引库

    #[tokio::test]
    async fn test_create_index() {
        // 1、创建client
        let client_result = EsClient::build_from_config(&CONFIG).await;
        assert!(client_result.is_ok());
        let client = client_result.unwrap();
        // 2、定义DSL语句
        let index_name = "mgr";
        let index_definition =
            json!({
            "mappings":{
                "properties":{
                    "age":{
                        "type":"integer"
                    }
                }
            }
        });
        let body = Some(serde_json::to_vec(&index_definition).unwrap());
        let path = format!("/{}", index_name);
        let headers = HeaderMap::new();
        let query_string = None;
        let timeout = None;
        let method = Method::Put;
        // 3、发送请求
        let response = client.send::<Vec<u8>, ()>(
            method,
            &path,
            headers,
            query_string,
            body,
            timeout
        ).await;
        assert!(response.is_ok());
        let response = response.unwrap();
        assert_eq!(response.status_code().is_success(), true);
    }

你也可以将其简化

    #[tokio::test]
    async fn test_create_index() {
        // 1、创建client
        let client = EsClient::build_from_config(&CONFIG).await.unwrap();
        // 2、定义DSL
        let index_definition =
            json!({
            "mappings":{
                "properties":{
                    "age":{
                        "type":"integer"
                    }
                }
            }
        });
        // 3、发送请求
        let response = client.send::<Vec<u8>, ()>(
            Method::Put,
            format!("/mgr").as_str(),
            HeaderMap::new(),
            None,
            Some(index_definition.to_string().as_bytes().to_vec()),
            None
        ).await;
        assert!(response.is_ok());
        let response = response.unwrap();
        assert_eq!(response.status_code().is_success(), true);
    }

查询索引库是否存在

    #[tokio::test]
    async fn test_query_index() {
        // 1、创建 client
        let client = EsClient::build_from_config(&CONFIG).await.unwrap();
        // 2、定义查询 DSL 语句
        let query = json!({
        "query": {
            "match_all": {}
        }
    });
        // 3、发送请求
        let response = client.send::<Vec<u8>, ()>(
            Method::Get,
            format!("/mgr/_search").as_str(),
            HeaderMap::new(),
            None,
            Some(query.to_string().as_bytes().to_vec()),
            None
        ).await;
        assert!(response.is_ok());
        let response = response.unwrap();
        println!("{:?}", response);
        assert_eq!(response.status_code().is_success(), true);
    }

也可以不定义DSL查询

    #[tokio::test]
    async fn test_query_index2() {
        // 1、创建 client
        let client = EsClient::build_from_config(&CONFIG).await.unwrap();
        // 2、发送请求
        let response = client.send::<Vec<u8>, ()>(
            Method::Get,
            format!("/mgr").as_str(),
            HeaderMap::new(),
            None,
            None,
            None
        ).await;
        assert!(response.is_ok());
        let response = response.unwrap();
        println!("{:?}", response);
        assert_eq!(response.status_code().is_success(), true);
    }

更新索引库

    #[tokio::test]
    async fn test_update_index() {
        // 1、创建 client
        let client = EsClient::build_from_config(&CONFIG).await.unwrap();
        // 2、定义查询 DSL 语句
        let update_content = json!({
            "properties":{
                "age":{
                "type":"integer"
                }
            }
    });
        // 3、发送请求
        let response = client.send::<Vec<u8>, ()>(
            Method::Put,
            format!("/mgr/_mapping").as_str(),
            HeaderMap::new(),
            None,
            Some(update_content.to_string().as_bytes().to_vec()),
            None
        ).await;
        assert!(response.is_ok());
        let response = response.unwrap();
        println!("{:?}", response);
        assert_eq!(response.status_code().is_success(), true);
    }

删除索引库

    #[tokio::test]
    async fn test_delete_index() {
        // 1、创建 client
        let client = EsClient::build_from_config(&CONFIG).await.unwrap();
        // 2、发送请求
        let response = client.send::<(), ()>(
            Method::Delete,
            format!("/mgr").as_str(),
            HeaderMap::new(),
            None,
            None,
            None
        ).await;
        assert!(response.is_ok());
        let response = response.unwrap();
        assert_eq!(response.status_code().is_success(), true);
    }

Rust客户端操作文档

添加文档

    #[tokio::test]
    async fn test_create_doc() {
        // 1、创建 client
        let client = EsClient::build_from_config(&CONFIG).await.unwrap();
        // 2、定义查询 DSL 语句
        let doc_content =
            json!({
            "id": "1",
            "user": "kimchy",
            "post_date": "2009-11-15T00:00:00Z",
            "message": "Trying out Elasticsearch, so far so good?"
        });
        // 3、发送请求
        let response = client.send::<Vec<u8>, ()>(
            Method::Post,
            format!("/mgr/_doc/1").as_str(),
            HeaderMap::new(),
            None,
            Some(doc_content.to_string().as_bytes().to_vec()),
            None
        ).await;
        assert!(response.is_ok());
        let response = response.unwrap();
        println!("{:?}", response);
        assert_eq!(response.status_code().is_success(), true);
    }

查询文档是否存在

    #[tokio::test]
    async fn test_get_doc() {
        // 1、创建 client
        let client = EsClient::build_from_config(&CONFIG).await.unwrap();
        // 2、发送请求
        let response = client.send::<Vec<u8>, ()>(
            Method::Get,
            format!("/mgr/_doc/1").as_str(),
            HeaderMap::new(),
            None,
            None,
            None
        ).await;
        assert!(response.is_ok());
        let response = response.unwrap();
        println!("{:?}", response);
        assert_eq!(response.status_code().is_success(), true);
    }

更新文档

    #[tokio::test]
    async fn test_update_doc() {
        // 1、创建 client
        let client = EsClient::build_from_config(&CONFIG).await.unwrap();
        // 2、定义查询 DSL 语句
        let doc_content =
            json!({
            "doc": {
                "message": "Updated message"
            }
        });
        // 3、发送请求
        let response = client.send::<Vec<u8>, ()>(
            Method::Post,
            format!("/mgr/_update/1").as_str(),
            HeaderMap::new(),
            None,
            Some(doc_content.to_string().as_bytes().to_vec()),
            None
        ).await;
        assert!(response.is_ok());
        let response = response.unwrap();
        println!("{:?}", response);
        assert_eq!(response.status_code().is_success(), true);
    }

删除文档

    #[tokio::test]
    async fn test_delete_doc() {
        // 1、创建 client
        let client = EsClient::build_from_config(&CONFIG).await.unwrap();
        // 2、发送请求
        let response = client.send::<Vec<u8>, ()>(
            Method::Delete,
            format!("/mgr/_doc/1").as_str(),
            HeaderMap::new(),
            None,
            None,
            None
        ).await;
        assert!(response.is_ok());
        let response = response.unwrap();
        println!("{:?}", response);
        assert_eq!(response.status_code().is_success(), true);
    }

批量添加文档

    #[tokio::test]
    async fn test_bulk_add_to_mgr() {
        // 1、创建client
        let client_result = EsClient::build_from_config(&CONFIG).await;
        assert!(client_result.is_ok());
        let client = client_result.unwrap();
        // 2、定义DSL语句
        let mut body: Vec<JsonBody<_>> = Vec::with_capacity(4);
        // 添加第一个操作和文档
        body.push(json!({"index": {"_id": "1"}}).into());
        body.push(
            json!({
    "id": 1,
    "user": "kimchy",
    "post_date": "2009-11-15T00:00:00Z",
    "message": "Trying out Elasticsearch, so far so good?"
}).into()
        );

        // 添加第二个操作和文档
        body.push(json!({"index": {"_id": "2"}}).into());
        body.push(
            json!({
    "id": 2,
    "user": "forloop",
    "post_date": "2020-01-08T00:00:00Z",
    "message": "Bulk indexing with the rust client, yeah!"
}).into()
        );
        // 3、发送请求
        let response = client.bulk(BulkParts::Index("mgr")).body(body).send().await.unwrap();
        assert!(response.status_code().is_success());
    }

Rust客户端操作搜索

这里演示在请求体body中进行API调用

  • 查询所有:查出所有数据
  • 全文检索查询(full text):利用分词器对内容分词,从倒排索引库中查询
    • match_query
    • multi_match_query
  • 精确查询:根据精确值查询,如integer、keyword、日期
    • id
    • range:根据值的范围查询
    • term:根据词条精确值查询
  • 地理坐标查询(geo):根据经纬度查询
    • geo_distance:查询geo_point指定距离范围内的所有文档
    • geo_bounding_box:查询geo_point值落在某个矩形范围内的所有文档
  • 复合查询(compound):将上述条件组合起来

查询所有

默认10条

    #[tokio::test]
    async fn test_search_match_all() {
        // 1、创建 client
        let client = EsClient::build_from_config(&CONFIG).await.unwrap();
        // 2. 执行搜索
        let response = client
            .search(SearchParts::Index(&["mgr"]))
            .from(0)
            .size(5)
            .body(
                json!({
            "query": {
                "match_all": {
                }
            }
        })
            )
            .send().await
            .unwrap();
        // 3. 解析响应
        let response_body = response.json::<Value>().await.unwrap();
        // 搜索耗时
        let took = response_body["took"].as_i64().unwrap();
        println!("took: {}ms", took);
        // 搜索结果
        for hit in response_body["hits"]["hits"].as_array().unwrap() {
            println!("{:?}", hit["_source"]);
        }
    }

等价于

GET /mgr/_search
{
  "query": {
    "match_all": {}
  }
}

全文搜索

message为文档中的字段

    #[tokio::test]
    async fn test_search_match() {
        // 1、创建 client
        let client = EsClient::build_from_config(&CONFIG).await.unwrap();
        // 2. 执行搜索
        let response = client
            .search(SearchParts::Index(&["mgr"]))
            .from(0)
            .size(5)
            .body(
                json!({
            "query": {
                "match": {
                    "message": "good"
                }
            }
        })
            )
            .send().await
            .unwrap();
        // 3. 解析响应
        let response_body = response.json::<Value>().await.unwrap();
        // 搜索耗时
        let took = response_body["took"].as_i64().unwrap();
        println!("took: {}ms", took);
        // 搜索结果
        for hit in response_body["hits"]["hits"].as_array().unwrap() {
            println!("{:?}", hit["_source"]);
        }
    }

相当于

GET /mgr/_search
{
  "query": {
    "match": {
      "message": "good"
    }
  }
}

多字段查询

多字段查询效率低,一般在创建时使用copy_to到一个字段中

    #[tokio::test]
    async fn test_search_multi_match() {
        // 1、创建 client
        let client = EsClient::build_from_config(&CONFIG).await.unwrap();
        // 2. 执行搜索
        let response = client
            .search(SearchParts::Index(&["mgr"]))
            .from(0)
            .size(5)
            .body(
                json!({
            "query": {
                "multi_match": {
                    "query": "good",
                    "fields": [
                        "message",
                        "user"
                        ]
                    }
                }
            })
            )
            .send().await
            .unwrap();
        // 3. 解析响应
        let response_body = response.json::<Value>().await.unwrap();
        // 搜索耗时
        let took = response_body["took"].as_i64().unwrap();
        println!("took: {}ms", took);
        // 搜索结果
        for hit in response_body["hits"]["hits"].as_array().unwrap() {
            println!("{:?}", hit["_source"]);
        }
    }

相当于

GET /mgr/_search
{
  "query": {
    "multi_match": {
      "query": "good",
      "fields": [
        "message",
        "user"
      ]
    }
  }
}

根据范围查询(range)

gte大于等于,lte小于等于;gt大于lt小于

    #[tokio::test]
    async fn test_search_range() {
        // 1、创建 client
        let client = EsClient::build_from_config(&CONFIG).await.unwrap();
        // 2. 执行搜索
        let response = client
            .search(SearchParts::Index(&["mgr"]))
            .from(0)
            .size(5)
            .body(
                json!({
            "query": {
                "range": {
                    "id": {
                        "gte": 1,
                        "lte": 1
                        }
                    }
                }
            })
            )
            .send().await
            .unwrap();
        // 3. 解析响应
        let response_body = response.json::<Value>().await.unwrap();
        // 搜索耗时
        let took = response_body["took"].as_i64().unwrap();
        println!("took: {}ms", took);
        // 搜索结果
        for hit in response_body["hits"]["hits"].as_array().unwrap() {
            println!("{:?}", hit["_source"]);
        }
    }

相当于

GET /mgr/_search
{
  "query": {
    "range": {
      "id": {
        "gte": 1,
        "lte": 1
      }
    }
  }
}

根据词条精确查询(term)

    #[tokio::test]
    async fn test_search_term() {
        // 1、创建 client
        let client = EsClient::build_from_config(&CONFIG).await.unwrap();
        // 2. 执行搜索
        let response = client
            .search(SearchParts::Index(&["mgr"]))
            .from(0)
            .size(5)
            .body(
                json!({
            "query": {
                "term": {
                    "user": "kimchy"
                    }
                }
            })
            )
            .send().await
            .unwrap();
        // 3. 解析响应
        let response_body = response.json::<Value>().await.unwrap();
        // 搜索耗时
        let took = response_body["took"].as_i64().unwrap();
        println!("took: {}ms", took);
        // 搜索结果
        for hit in response_body["hits"]["hits"].as_array().unwrap() {
            println!("{:?}", hit["_source"]);
        }
    }

相当于

GET /mgr/_search
{
  "query": {
    "term": {
      "user": "kimchy"
    }
  }
}

根据地理距离查询

GET /mgr/_search
{
  "query": {
    "geo_distance": {
      "distance": "100km",
      "location": "31.04, 45.12"
    }
  }
}

根据指定矩形范围查询

左上经纬度与右下经纬度 geo为文档中的字段

GET /mgr/_search
{
  "query": {
    "geo_bounding_box": {
      "geo": {
        "top_left": {
          "lon": 124.45,
          "lat": 32.11
        },
        "bottom_right": {
          "lon": 125.12,
          "lat": 30.21
        }
      }
    }
  }
}

复合查询

查询时文档会对搜索词条的关联度打分_score,返回结果时按照降序排列

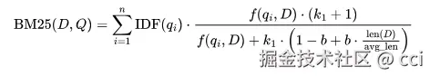
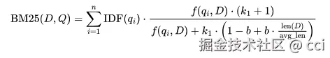
关联度计算方法

  • TF-IDF算法(ES5.0之前)

TF(词条频率)= 词条出现次数/文档中词条总数

IDF(逆文档频率)=log(文档总数/包含词条的文档总数)

score = ∑(𝑖=1,𝑛)(TF*IDF):将词条频率与逆文档频率相乘再求和

  • BM25算法(ES5.0之后)

默认采用BM25算法:考虑了TF、IDF、文档长度等因素,能够平衡长短文的关联度

image.png

function_score修改关联度

指定文档和算分函数

GET /mgr/_search
{
  "query": {
    "function_score": {
      "query": {
        "match": {// 查询方法
        "message": "good"
        }
      },
      "functions": [ // 算分函数
        {
          "filter": {// 只有符合过滤条件的才被计算
          "term": {// 根据词条精确查询
          "id": 1
          }
          },
          "weight": 3 // 指定加权函数
        }
        ],
        // 加权模式:相乘
        "boost_mode": "multiply"
    }
  }
}
  • weight:给定常量值,还可以指定以下值

  • field_value_factor:用文档中的指定字段值作为函数结果

  • random_score:随机生成一个值

  • script_score:自定义计算公式

  • boost_mode:加权模式,multiply与原来的_score相乘,还可以配置:

  • replace:替换原来的_score

  • sum:求和

  • avg:取平均值

  • min:取最小值

  • max:取最大值 相当于

    #[tokio::test]
    async fn test_function_score_query() {
        // 1、创建 client
        let client = EsClient::build_from_config(&CONFIG).await.unwrap();
        // 2. 执行搜索
        let response = client
            .search(SearchParts::Index(&["mgr"]))
            .from(0)
            .size(5)
            .body(
                json!({
            "query": {
                "function_score": {
                    "query": {
                        "match": {// 查询方法
                        "message": "good"
                        }
                    },
                    "functions": [ // 算分函数
                    {
                        "filter": {// 只有符合过滤条件的才被计算
                        "term": {// 根据词条精确查询
                        "id": 1
                        }
                        },
                        "weight": 3 // 指定加权函数
                    }
                ],
                    // 加权模式:相乘
                    "boost_mode": "multiply"
                    }
                }
            })
            )
            .send().await
            .unwrap();
        // 3. 解析响应
        let response_body = response.json::<Value>().await.unwrap();
        // 搜索耗时
        let took = response_body["took"].as_i64().unwrap();
        println!("took: {}ms", took);
        // 搜索结果
        for hit in response_body["hits"]["hits"].as_array().unwrap() {
            println!("{:?}", hit["_source"]);
        }
    }

boolean query 布尔查询

布尔查询是一个或多个子句查询的组合,组合方式有

  • must:必须匹配每个子查询,类似于“与”
  • should:选择性匹配子查询,类似于“或”
  • must_not:必须不匹配,不参与算分,类似于“非”
  • filter:必须匹配,

查询message中包含rust,post_date不小于2020年1月1日的文档

GET /mgr/_search
{
  "query": {
    "bool": {
      "must": [
        {
          "match_phrase": {
            "message": "rust"
          }
        }
      ],
      "must_not": [
        {
          "range": {
            "post_date": {
              "lt": "2020-01-01T00:00:00Z"
            }
          }
        }
      ]
    }
  }
}

搜索结果处理

排序

GET /mgr/_search
{
  "query": {
    "match_all": {}
  },
  "sort": [
    {
      "id": "desc"// ASC升序,DESC降序
    }
  ]
}

地理位置排序

GET /mgr/_search
{
  "query": {
    "match_all": {}
  },
  "sort": [
    {
      "_geo_distance":{
        "FIELD": {
          "lat": 40,// 纬度
          "lon": -70// 经度
        },
        "order":"asc",// 排序方式
        "unit":"km" // 单位
      }
    }
  ]
}

分页

1、from+size分页查询(默认10条数据)

GET /mgr/_search
{
  "query": {
    "match_all": {}
  },
  "from":1,// 分页开始位置
  "size":10,// 期望获取的文档总数
  "sort": [
    {
      "id": "desc"// ASC升序,DESC降序
    }
    ]
}

深度分页问题:一般将ES作为分布式部署,当需要"from"=990,"size"=10查数据时: 1、先从每个数据分片上查询前1000条数据 2、将所有节点的结果聚合,在内存中重新排序选出前1000条文档 3、在这1000条文档中选取"from"=990,"size"=10的数据

如果搜索页数过深,或者结果集(from+size)越大,对内存和CPU的消耗越高,因此ES设定的查询上限是10000

深度分页解决方案:

2、search after分页查询:分页时排序,从上一次的排序值开始查询下一页文档(只能向后查询)

3、scroll分页查询:将排序数据形成快照,保存在内存中(内存消耗大,官方不推荐)

高亮处理

搜索键盘时关键字高亮 image.png

highlight指定高亮字段

默认搜索字段和高亮字段匹配才高亮

GET /mgr/_search
{
  "query": {
    "match": {
      "message":"rust"// 搜索message中包含rust的文档
    }
  },
  "highlight":{
    "fields":{
      "message":{// 指定高亮字段
      "require_field_match":"false"// 搜索字段和高亮字段可以不匹配
      }
    }
  }
}

数据聚合

聚合(aggregations)可以实现对文档数据的统计、分析、运算,聚合分类:

  • 桶(Buket):用来对数据分组
  • 度量(Metric):用于计算一些值,如最大值、最小值、平均值
  • 管道(pipeline):以其他聚合的结果作为聚合的基础

桶(Buket)

Buket默认统计其中的文档数量_count,并且按照降序排序

GET /mgr/_search
{
  "size":0,// 文档大小,结果不包含文档,只包含聚合结果
  "aggs": {//指定聚合
    "idAgg": {// 聚合名
      "terms": {// 精确查询
        "field":"id",// 指定字段
        "order":{
          "_count":"asc"// 按升序排序
        }
      }
    }
  }
}

度量(Metric)

GET /mgr/_search
{
  "size":0,// 文档大小,结果不包含文档,只包含聚合结果
  "aggs": {//指定聚合
    "idAgg": {// 聚合名
      "terms": {// 精确查询
        "field":"id",// 指定字段
        "size":20
      },
      "aggs":{// 子聚合
        "score_stats":{// 聚合名
          "max":{//聚合类型,min、max、avg等
            "field":"score"// 聚合字段
          }
        }
      }
    }
  }
}

自动补全

拼音补全

如果你想要通过拼音补全,请下载解压拼音分词器上传到/opt/es/plugins目录然后重启es github.com/infinilabs/…

  • 补全字段必须是completion类型
  • 拼音分词需要自定义分词器

进行拼音分词:创建索引并设置字段类型为completion,同时指定先分词再根据词条过滤(如果不自定义分词器,默认将每个汉字单独分为拼音,所以先分词词条再进行拼音处理),其他设置见github仓库

PUT /test
{
  "settings": {// 设置
    "analysis": {
      "analyzer": {// 设置分词器
        "my_analyzer": {// 分词器名
          "filters": [
           "lowercase",// 转小写
           "stop"// 去停用词
         ],
          "tokenizer": "ik_max_word", // 分词器
          "filter": "py" // 过滤时进行拼音
        }
      }
    },
    "filter": { // 自定义tokenizer filter
      "py": { // 过滤器名称
        "type": "pinyin", // 过滤器类型,这里是pinyin
        "keep_full_pinyin": false,// 是否保留完整的拼音形式
        "keep_joined_full_pinyin": true,// 是否保留连接起来的完整拼音形式
        "keep_original": true,// 是否保留原始的文本内容
        "limit_first_letter_length": 16,// 限制拼音首字母的长度为 16
        "remove_duplicated_term": true,// 是否移除重复的词条
        "none_chinese_pinyin_tokenize": false// 不对非中文字符进行拼音分词
      }
    }
  },
  "mappings": {
    "properties": {
      "user": {
        "type": "completion"
      }
    }
  }
}

不进行拼音分词:创建索引并设置字段类型为completion

PUT /test
{
  "mappings": {
    "properties": {
      "user": {
        "type": "completion"
      }
    }
  }
}

添加文档

POST /test/_doc/1
{
  "id": 1,
  "message": "Trying out Elasticsearch, so far so good?",
  "post_date": "2009-11-15T00:00:00Z",
  "user": "kimchy"
}

根据关键字查询补全

GET /test/_search
{
  "suggest": {
    "YOUR_SUGGESTION": {// 指定自动补全查询名字
    "text": "k",// 关键字前缀
    "completion": {// 自动补全类型
      "field": "user",// 补全字段
      "skip_duplicates": true,// 是否跳过重复的建议
      "size": 10 // 获取前10条结果
    }
    }
  }
}

所有代码地址:github.com/VCCICCV/MGR…