白话Transformer:一文看懂Transformer经典模型

633 阅读11分钟

Tranformer现如今无论是在CV还是NLP,甚至现在非常或的LLM领域都非常重要!该架构是谷歌在2017年《Attention is all you need》中提出的,下面将分析本人对各个模块的理解+算法面试中的常见问题。

论文《Attention is all you need》

本文不对原文进行解读,主要对其transformer核心架构的进行详细的拆分和解读。如有疑问和错误,欢迎留言交流。

1. 各模块解读

参考如下: Transformer从零详细解读(可能是你见过最通俗易懂的讲解)

在这里插入图片描述

其基本架构如上如所示,图中的N在论文中等于6。 编码器与解码器之间的数据传递如下图所示:

在这里插入图片描述

下面将详解各模块:

1.1 输入部分

(1)Embedding

在这里插入图片描述

一般是采用Embedding方式对输入进行编码,如上图所示, 即:使用特定维度来表达一个单词,如: ‘我’: 就使用一个512维度的向量来表示, ‘爱’: 也使用一个512维度的向量来表示;

(2)位置编码 详见本人博客:举例理解transformer中的位置编码

1)明白为什么要使用位置编码? 因为Transformer的多头注意力机制是并行化的,所有单词是可以一起处理的。(而不想RNN那种一次输入一个词,输入本身就带有时序关系, 注意RNN中的梯度消失:RNN的梯度是总的梯度和,它的梯度消失不是梯度变为0,而是因为它的梯度被近距离梯度主导,被远距离梯度忽略不计)

Transformer的并行化可以提高速度,但缺少了位置信息,所以需要位置编码!

2)编码过程

在这里插入图片描述

上式中,pos表示单词在句子中的位置,2i和2i+1要整体看,2i表示向量的偶数位置,2i+1表示向量的奇数位置。如图所示:

在这里插入图片描述

这样,每个单词都能有一个唯一的512维位置编码,然后将其和Embedding相加:

在这里插入图片描述

注:单个的位置只能表示绝对位置信息!然后由于三角函数的特性,他们之间还可以表现出相对位置信息,具体分析如下:

3)为什么位置嵌入是有用的?

因为借助三角函数的性质,可以表现出单词与单词之间的相对位置信息。

在这里插入图片描述

如上图所示,位置为:pos+k的单词可以分别用位置为pos和k的来计算出来,这样就表现出相对位置信息了。

4)为什么使用sin 和 cos?

1.sin cos 函数是无限延长的,适合单词序列的长短变化 2.sin cos 是具有周期性的,pos + k的单词可以分别用位置为pos和k的来计算出来

1.2 多头注意力(作者使用8个头)

以下是注意力机制的公式:

在这里插入图片描述

其中Q,K,V分别是有输入词向量和初始化生成的三个矩阵相乘得来的,dk表示词向量维度,如上面的512。计算过程如下所示:

在这里插入图片描述

多头注意力机制,则表示使用多套不同的WQ,WK,WV去求注意力,如下图所示:

在这里插入图片描述

每个头最后经公式都会得出一个注意力Z矩阵,将其合起来,即可得到多头注意的输出。

在这里插入图片描述

使用多头注意力机制的目的在于:将原始信息映射到不同空间,保证可以捕捉到更多信息。

(1)为什么要除以根号dk?

①控制梯度大小:除以根号d可以控制注意力分数的大小,防止梯度爆炸问题。在内积操作中,两个向量之间的相似度随着向量维度的增加而增大,这可能导致梯度变得非常大,外面有还有Softmax,如果某一点太大,softmax会让那一点更趋近于1,而其他点则更趋近于0,从而影响训练的稳定性。通过除以根号d,可以使注意力分数的范围相对稳定,从而减轻梯度爆炸的问题。

②平衡不同维度的注意力权重:在注意力机制中,注意力分数的大小会影响不同键的重要性。通过除以根号d,可以确保不同维度的注意力权重在计算时有更平衡的影响,避免某些维度过大而影响模型的性能。

(2)为什么除以的数值是根号下dk,而不是其他数值?

因为q和k是两个独立(而非相同)的随机变量, 假设两个输入向量 q 和 k 的每一维都具有零均值和单位方差、并且假设每一维都互相独立,那么这个除 sqrt(dk)的操作可以使得运算结果仍然保持零均值和单位方差,因而有利于模型训练的稳定性。

1.3 残差和LayerNorm

多头注意力后就会进行残差连接和LayerNorm,如下图所示:

在这里插入图片描述

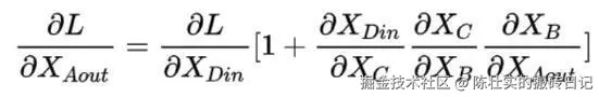
(1)残差连接为什么有用?

在这里插入图片描述

如上图,表示一个残差网络结构图,在进行反向传播时,有如下推导:

在这里插入图片描述

而有:

在这里插入图片描述

所以:

在这里插入图片描述

由式子可知,即使后面的连乘接近0,由于前面有个1,所以导数不会为0,这就是残差网络能很深的原因,因为残差网络缓解了梯度消失。

(2)BatchNorm的优缺点和使用场景

BatchNorm的计算可以参考:pytorch中对BatchNorm2d()函数的理解

BN的理解重点在于它是针对整个Batch中的样本在同一维度特征做处理!!!如下图所示:

在这里插入图片描述

x1x2,,xRx^1、x^2,···,x^R 表示R个样本,BatchNorm是作用在不同样本同一维度上的。

1)BN的优点

①解决内部协变量偏移 简单来说,在训练过程中,各样本之间可能分布不同,增大了学习难度,BN通过对各样本同一维度进行归一化缓解了这个问题。也有说,BN使损失平面更加更滑,从而加快收敛。

②缓解了梯度饱和问题,加快收敛。

2)BN的缺点

①batch_size较小时,效果较差 BN的过程,使用整个batch中样本的均值和方差来模拟全部数据的均值和方差,在batch_size 较小的时候,效果肯定不好。

②对文本这种输入维度不一致的不友好 如图所示:

在这里插入图片描述

举个最简单的例子,比如 batch_size 为10,也就是我有10个样本,其中9个样本长度为5,第10个样本长度为20。

那么问题来了,前五个单词的均值和方差都可以在这个batch中求出来从而模型真实均值和方差。但是第6个单词到底20个单词怎么办?

只用这一个样本进行模型的话,不就是回到了第一点,batch太小,导致效果很差。

3)BN的使用场景

BN在MLP和CNN上使用的效果较好,在RNN这种动态文本模型上使用的比较差。 为啥BN在NLP中效果差:

BN的使用场景不适合RNN这种动态文本模型,有一个原因是因为batch中的长度不一致,导致有的靠后面的特征的均值和方差不能估算。

这个问题其实不是个大问题,可以缓解。我们可以在数据处理的时候,使句子长度相近的在一个batch,就可以了。所以这不是为啥NLP不用BN的核心原因。

BN在MLP中的应用,BN是对每个特征在batch_size上求的均值和方差。记住,是每个特征。比如说身高,比如说体重等等。这些特征都有明确的含义。 但是我们想象一下,如果BN应用到NLP任务中,对应的是对什么做处理?是对每一个单词!也就是说,我现在的每一个单词是对应到了MLP中的每一个特征。也就是默认了在同一个位置的单词对应的是同一种特征,比如:“我/爱/中国/共产党”和“今天/天气/真/不错” 如何使用BN,代表着认为 "我"和“今天”是对应的同一个维度特征,这样才可以去做BN。 大家想一下,这样做BN,会有效果吗? 不会有效果的,每个单词表达的特征是不一样的,所以按照位置对单词特征进行缩放,是违背直觉的。

(3)LayerNorm在Transformer中的应用

layner-norm 的特点是什么?layner-norm 做的是针对每一个样本,做特征的缩放。换句话讲,保留了N维度,在C/H/W维度上做缩放。

也就是,它认为“我/爱/中国/共产党”这四个词在同一个特征之下,所以基于此而做归一化。 这样做,和BN的区别在于,一句话中的每个单词都可以归到一个名字叫做“语义信息”的一个特征中(我自己瞎起的名字,大家懂就好),也就是说,layner-norm也是在对同一个特征下的元素做归一化,只不过这里不再是对应N(或者说batch size),而是对应的文本长度。

上面这个解释,有一个细节点,就是,为什么每个单词都可以归到“语义信息”这个特征中。大家这么想,如果让你表达一个句子的语义信息,你怎么做?

最简单的方法就是词语向量的加权求和来表示句子向量,这一点没问题吧。(当然你也可以自己基于自己的任务去训练语义向量,这里只是说最直觉的办法)。

1.4 Decoder部分

在这里插入图片描述

需要对当前时刻之后的信息进行musk,那么为什么需要mask呢?

(1)为什么需要mask?

需要提前知道的是: 在训练过程,Output(Shifted right) 表示的是GroundTruth; 在test过程,Output(Shifted right) 表示之前自己预测的序列。 这里探讨的是训练过程为什么需要Mask?

在这里插入图片描述

我的理解是,当我们的需要翻译是句子是: “我现在爱你”,其Label为:“I LOVE YOU NOW”. 当前时刻是已经预测了“I LOVE”, 正在预测“YOU”。此时我们就需要把Label中的“YOU NOW”给mask掉。 其原因就是在推理时,是没有Label的,所以我们要训练和推理过程之间没有gap,才能得到较好的结果。 而mask就是将从代码角度讲,就是把当前时刻之后所有单词mask掉就好了

(2)decoder部分(和Encoder交互的部分)的输入

在这里插入图片描述

如上图所示,每个Encoder会接受Q,K,V矩阵,其中,K,V来自与Encoder,Q来自与上一个Decoder. 之后就没什么好讲了。但需要明白的是: 在训练过程,Output(Shifted right) 表示的是GroundTruth; 在test过程,Output(Shifted right) 表示之前自己预测的序列。

2.Transformer经典问题

基于Transformer经典模型的发家史:

在这里插入图片描述

2.1 tranformer为何使用多头注意力机制?

(1)多头保证了transformer可以注意到不同子空间的信息,捕捉到更加丰富的特征信息。

(2)每个并行计算注意力权重,提高计算效率(参数总量和总计算量没有减少)

(3)由于多头注意力机制能够从多个角度学习输入数据的特征,它有助于提高模型的泛化能力,使其能够更好地处理未见过的数据或任务。

(4)在自然语言处理中,句子中的词语往往与距离较远的其他词语存在依赖关系。多头注意力机制允许模型在不同的头中关注序列的不同部分,从而更有效地捕获这些长距离依赖。

2.2 Transformer相比CNN的优缺点

在这里插入图片描述

CNN感受野相对更小,所以需要搭建很多层CNN,才能注意到全局信息。而transformer的全局感受能力更强。

在这里插入图片描述

Transformer全局信息更加丰富,仅用几层就能达到很大的感受野。

2.3 Encoder和decoder的区别?两者感受野是否一致?

(1)Encoder只有一个Multi-Head Attention层,而Decoder有两个,且Decoder的第一个Multi-Head Attention采用了mash操作;

(2)decoder第二个 Multi-Head Attention 层的K, V矩阵使用 Encoder 的编码信息矩阵C进行计算,而Q使用上一个 Decoder block 的输出计算。

在这里插入图片描述

(3)功能性来说:encoder的功能是将输入序列编码成高维表示;而Decoder则将高维表示转化为目标序列,方便下游任务;

(4)感受野: Encoder的感受野是输入序列中某个位置的上下文信息;而Decoder同时关注输入序列和已生成的序列。

本文完结,撒花! 欢迎交流讨论!