扩散模型系列:
(1)
白话扩散模型系列一:一文搞懂扩散模型DDPM
(2)白话扩散模型系列一:一文基本搞懂扩散模型DDIM
如感兴趣,可提前关注,后续待更新,谢谢...
0. DDIM的创新点
DDPM有一个很大的缺点就是其本身是一个马尔科夫链的过程,推理速度太慢,如果前向加噪过程是1000步,那么去噪过程就需要使用Unet生成噪声,然后去噪,这样进行1000步。这是一个及其缓慢的过程,DDIM原论文中举了一个生动的例子:
For example, it takes around 20 hours to sample 50k images of size 32 x 32 from a DDPM, but less than a minute to do so from a GAN on a Nvidia 2080 Ti GPU.
基于DDPM,DDIM主要有两项改进:
(1)对于一个已经训练好的DDPM,只需要对采样公式做简单的修改,模型就能在去噪时「跳步骤」,在一步去噪迭代中直接预测若干次去噪后的结果。比如说,假设模型从时刻T=100开始去噪,新的模型可以在每步去噪迭代中预测10次去噪操作后的结果,也就是逐步预测时刻t=90,80,...,0的结果。这样,DDPM的采样速度就被加速了10倍。
(2)DDIM论文推广了DDPM的数学模型,打破了马尔科夫链的过程,从更高的视角定义了DDPM的反向过程(去噪过程)。在这个新数学模型下,我们可以自定义模型的噪声强度,让同一个训练好的DDPM有不同的采样效果。
1. 公式推导
DDPM的推导过程可以看《DDPM推导笔记》,这里假设P ( x t − 1 ∣ x t , x 0 ) P(x_{t-1}|x_t, x_0) P ( x t − 1 ∣ x t , x 0 ) 满足如下正态分布,即:
P ( x t − 1 ∣ x t , x 0 ) ∼ N ( k x 0 + m x t , σ 2 ) 即 : x t − 1 = k x o + m x t + σ ϵ 其中有: ϵ ∼ N ( 0 , 1 ) (1) P(x_{t-1}|x_t, x_0) \sim N(kx_0+mx_t, \sigma^2) \\
即:x_{t-1} = kx_o+mx_t + \sigma \epsilon \tag{1} \\
其中有: \epsilon \sim N(0, 1) P ( x t − 1 ∣ x t , x 0 ) ∼ N ( k x 0 + m x t , σ 2 ) 即 : x t − 1 = k x o + m x t + σ ϵ 其中有: ϵ ∼ N ( 0 , 1 ) ( 1 )
又因为前向的加噪过程满足:
x t = a t ˉ x 0 + 1 − a t ˉ ϵ 其中 ϵ ∼ N ( 0 , 1 ) (2) x_t = \sqrt{\bar{a_t}} x_0 + \sqrt{1 - \bar{a_t}} \epsilon \\
其中\epsilon \sim N(0,1) \tag{2} x t = a t ˉ x 0 + 1 − a t ˉ ϵ 其中 ϵ ∼ N ( 0 , 1 ) ( 2 )
合并(1)(2)上面两式,有:
x t − 1 = k x 0 + m [ a ˉ t x 0 + 1 − a ˉ t ϵ ] + σ ϵ (3) x_{t-1} = kx_0 + m[\sqrt{\bar{a}_t}x_0 + \sqrt{1-\bar{a}_t} \epsilon] + \sigma \epsilon \tag{3} x t − 1 = k x 0 + m [ a ˉ t x 0 + 1 − a ˉ t ϵ ] + σ ϵ ( 3 )
再次合并有:
x t − 1 = ( k + m a ˉ t ) x 0 + ϵ ′ 其中: ϵ ’ ∼ M ( 0 , m 2 ( 1 − a ˉ t ) + σ 2 ) (4) x_{t-1} = (k+m\sqrt{\bar{a}_t}) x_0 + \epsilon' \\
其中: \epsilon’ \sim M(0, m^2(1-\bar{a}_t) + \sigma^2) \tag{4} x t − 1 = ( k + m a ˉ t ) x 0 + ϵ ′ 其中: ϵ ’ ∼ M ( 0 , m 2 ( 1 − a ˉ t ) + σ 2 ) ( 4 )
从DDPM中可以可知:
x t − 1 = a ˉ t − 1 x 0 + 1 − a ˉ t − 1 ϵ (5) x_{t-1} = \sqrt{\bar{a}_{t-1}} x_0 + \sqrt{1-\bar{a}_{t-1}} \epsilon \tag{5} x t − 1 = a ˉ t − 1 x 0 + 1 − a ˉ t − 1 ϵ ( 5 )
通过式(4)(5)的x t − 1 x_{t-1} x t − 1 服从的概率分布可知:
k + m a ˉ t = a ˉ t − 1 m 2 ( 1 − a ˉ t ) + σ 2 = 1 − a ˉ t − 1 (6) k + m\sqrt{\bar{a}_t} = \sqrt{\bar{a}_{t-1}} \\
m^2(1-\bar{a}_t) + \sigma^2 = 1-\bar{a}_{t-1} \tag{6} k + m a ˉ t = a ˉ t − 1 m 2 ( 1 − a ˉ t ) + σ 2 = 1 − a ˉ t − 1 ( 6 )
由式(6)两个式子可解出:
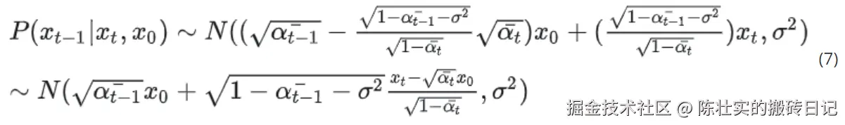
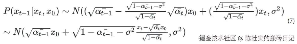
将m,k带入到P ( x t − 1 ∣ x t , x 0 ) P(x_{t-1}|x_t, x_0) P ( x t − 1 ∣ x t , x 0 ) 中,可得:
依旧可以使用x t , x 0 x_t, x_0 x t , x 0 的关系式把x 0 x_0 x 0 去掉:
x t = a t ˉ x 0 + 1 − a t ˉ ϵ 这里为了防止 ϵ 和后面的 ϵ 搞混,这里记为 ϵ t , 则上式变为: x t = a t ˉ x 0 + 1 − a t ˉ ϵ t (8) x_t = \sqrt{\bar{a_t}} x_0 + \sqrt{1 - \bar{a_t}} \epsilon \\
这里为了防止\epsilon和后面的\epsilon搞混,这里记为\epsilon_{t},则上式变为:\\
x_t = \sqrt{\bar{a_t}} x_0 + \sqrt{1 - \bar{a_t}} \epsilon_t \tag{8} x t = a t ˉ x 0 + 1 − a t ˉ ϵ 这里为了防止 ϵ 和后面的 ϵ 搞混,这里记为 ϵ t , 则上式变为: x t = a t ˉ x 0 + 1 − a t ˉ ϵ t ( 8 )
从P ( x t − 1 ∣ x t , x 0 ) P(x_{t-1}|x_t, x_0) P ( x t − 1 ∣ x t , x 0 ) 的概率分布采样可得到:
其中,ϵ \epsilon ϵ 是从标准正太分布中,随机采样得到;ϵ t \epsilon_t ϵ t 是和DDPM一样,使用神经网络训练而来的;x t x_t x t 是输入;a ˉ t − 1 和 a ˉ t \bar{a}_{t-1}和\bar{a}_t a ˉ t − 1 和 a ˉ t 是事先定义好的。至此,我们就只需要讨论σ \sigma σ 这个参数了。
2. σ \sigma σ 的讨论
怎样选取σ \sigma σ 才能获得最佳的加速效果呢?
作者做了一些实验,作者原文中使用σ τ i ( η ) \sigma_{\tau_i}{(\eta)} σ τ i ( η ) 来表示的σ \sigma σ ,其式子如下:
使用η \eta η 控制其大小。事实上,当η = 1 \eta = 1 η = 1 时就变成了DDPM的去噪过程了,
当η = 0 \eta=0 η = 0 时,效果是最好的。所以DDIM令σ = 0 \sigma=0 σ = 0 。
3. x p r e v x_{prev} x p re v 的推导
从式9且σ = 0 \sigma=0 σ = 0 ,则式9中的所有都已知了!!!
但是,即使这样,我们也还是由x t 推导出 x t − 1 x_t推导出x_{t-1} x t 推导出 x t − 1 呀,这样还是不能加快推理!
不忙,我们回过头去思考,发现上面的推导过程中全程没有使用:
x t = a t x t − 1 + 1 − a t ϵ x_t= \sqrt{a_t}x_{t-1} + \sqrt{1-a_t} \epsilon x t = a t x t − 1 + 1 − a t ϵ
也就可以不需要严格的由x t 算到 x t − 1 x_t算到x_{t-1} x t 算到 x t − 1 ,则可以令x p r e v 替代 x t − 1 x_{prev}替代x_{t-1} x p re v 替代 x t − 1 ,式(9)则可以变换为:
至此,所有的参数要是实现定义好了,要么是需要训练的,这样x t 和 x p r e v x_t和x_{prev} x t 和 x p re v 则可以相隔多个迭代步数。
4.疑难解答
Q1: 为什么式(11)可以简单的将x p r e v 替代 x t − 1 x_{prev}替代x_{t-1} x p re v 替代 x t − 1 ,毕竟虽然反向过程没有使用到x t − 1 算到 x t x_{t-1}算到x_{t} x t − 1 算到 x t 的关系式,但前向过程是使用到的呀?
目前我也没有答案!还在理解中,由大佬路过,请留言讨论!
Q2: 为什么在DDIM可以令方差σ = 0 \sigma=0 σ = 0 ?
目前我也没有答案!还在理解中,由大佬路过,请留言讨论!