扩散模型到 Stable Diffusion
扩散模型
扩散模型的概念在 2015 年由斯坦福大学的一博士后 Sohl-Dickstein 通过论文 《Deep Unsupervised Learning using Nonequilibrium Thermodynamics (mlr.press)》 提出。扩散模型的灵感来自非平衡热力学,通过定义了一个扩散步骤的马尔可夫链,以缓慢地将符合搞死分布的随机噪声添加到数据中,然后反转扩散过程以从噪声中构建所需要的数据样本
随后, 2019 年斯坦福在读博士宋彪和其导师通过论文《Generative Modeling by Estimating Gradients of the Data Distribution》 提出了一种新的方法来构建生成模型,通过估计分布的梯度(分布的梯度可以看出是高维曲面的斜率), 代替了之前估计数据的概率分类(数据的概率分布类似高维曲面)
DDPM
之后,2020年6月 加州伯克利的 Jonathan Ho 等人基于宋彪的工作,改进了 Sohl-Dickstein 的扩散模型,通过论文《Denoising Diffusion Probabilistic Models》 正式提出对于普通扩散模型的改进版: DDPM ,论文名的既是全称。 DDPM 的两大特色:
- 从预测转换图像改进为预测噪声,作者认为从 [Math Processing Error] 预测 [Math Processing Error] ,这种图像到图像的转化不太好优化。所以换了思路,转变成预测图像转化需要的差值,一旦预测出来,图像减去差值既得到目标图像,这个差值称做噪声。DDPM 采用了一个 U-Net 结构的 AutoEncoder 来对图像某一个时刻的噪声进 z 进行预测,模型训练目标即希望预测的噪声和真实噪声一致。
- DDPM 只预测正态分布的均值。虽然正态分布有均值和方差决定,但作者发现只需求均值,逆向过程中的高斯分布的方差项直接使用一个常数,模型的效果就已经很好。
到 2021年2月,由 OpenAI 的 Alex Nichol 和 Prafulla Dhariwal 通过论文 [2102.09672] Improved Denoising Diffusion Probabilistic Models (arxiv.org) 提出了 improved DDPM。
- DDPM 的逆向过程中,高斯分布的方差直接使用了一个常数, improved DDPM 的作者认为如果对方差也进行学习,效果应该会更好。
- DDPM 添加噪声是采用线性的 variance schedule 改为余弦 schedule, 效果更好。
- 简单尝试了 scale 大模型后,生成效果更好。
2021年5月 OpenAI 的 improved DDPM 作者借鉴 Diffusion Model Beat GANs 中的 classifier guidance ,发布了《Diffusion Models Beat GANs on Image Synthesis》 对 imporoved DDPM 进行改进,使用 classifier guidance 的方法,引导模型进行采样和生成,不仅生成图片更逼真,且加速了反向采样过程。所谓 classifier guided diffusion 是在反向过程训练 U-Net 的同时,也训练一个图片分类器,当采样之后,使用分类器获取图片的分类是否正确,指定扩散模型的采样和生成。
在最简单的 classifer guidance 之外,还有其他的引导方式:
- CLIP guidance: 将简单的分类器换成 CLIP ,文本与图像就关联起来了,则可以利用文本引导采样和生成。
- Image guidance: 利用图像特征和风格层面的引导,只需要一个 gram matrix
潜空间扩散模型
最后在2021年12月论文《High-Resolution Image Synthesis with Latent Diffusion Models》提出了潜在扩散模型,也是后续奠定stable diffusion的核心论文
为了使扩散模型在有限的计算资源上训练,并且保留它们的质量和灵活性,故首先训练了一个强大的预训练自编码器,这个自编码器所学习到的是一个潜在的空间,这个潜在的空间要比像素空间要小的多(可以简单粗暴的理解为就是一个被压缩或被降维的空间),把扩散模型在这个潜在的空间去训练,大大的降低了对算力的要求,这也是Stable Diffusion比原装Diffusion速度快的原因
条件引导生成
2022年7月 Classifier-Free Diffusion Guidance 所谓classifier free guidance的方式(对应论文为《Jonathan Ho and Tim Salimans. Classifier-free diffusion guidance》),只是改变了模型输入的内容,除了 conditional 输入外(随机高斯噪声输入加引导信息),还有 unconditional 的采样输入,两种输入都会被送到同一个 diffusion model,从而让其能够具有无条件和有条件生成的能力
扩散模型本来训练就很贵了,classifier free guidance这种方式在训练时需要生成两个输出,所以训练更贵了。但是这个方法确实效果好,所以在GLIDE 、DALL·E2和Imagen里都用了,而且都提到这是一个很重要的技巧,用了这么多技巧之后,GLIDE终于是一个很好的文生图模型了,只用了35亿参数,生成效果和分数比120亿参数的DALL·E还要好
Stable Diffusion 文生图模型介绍
于 2022 年由初创公司StabilityAI、CompVis与Runway合作开发开源版本的 Stable Diffusion 模型,支持文生图能力。
模型版本
Stable Diffusion Checkpoint 基础模型是使用 Stable Diffusion 生成图像必须具备的一个主模型。这类模型是由官方提供的,也可以用来直接绘画,但是没有固定风格,一般不拿来直接绘画 训练到时候一般是将官方模型作为底模,加上自己的独特风格素材,来训练自己想要的模型 官方提供的基础模型版本如下:
- SD 1.1-1.4 出图分辨率为 512x512,该版本由 CompVis 提供:github.com/CompVis/sta… compvis 发布了 sd-v1-1.ckpt到sd-v1-4.ckpt 的版本
- SD 1.5 出图分辨率为 512x512,runwayml 在 1.4 的基础上,推出了sd-v1-5.ckpt 的版本 github.com/runwayml/st…
- SD 2.0-2.1 出图分辨率为 768x768,该版本则是stabilityai维护:github.com/Stability-A… Stability AI · GitHub
- SD XL 出图分辨率为 1024x1024
以上基础模型可以到 huggingface 里面搜索组织名称StabilityAI、CompVis与Runway进行下载
- 1.4 CompVis/stable-diffusion-v1-4 · HF Mirror (hf-mirror.com)
- 1.5 runwayml/stable-diffusion-v1-5 · HF Mirror (hf-mirror.com)
- 2 stabilityai/stable-diffusion-2 · HF Mirror (hf-mirror.com)
- 2.1 stabilityai/stable-diffusion-2-1 · HF Mirror (hf-mirror.com)
- vae stabilityai/sd-vae-ft-mse at main (hf-mirror.com)
模型结构
Stable Diffusion 基础模型拥有 U-Net, VAE, TextEncoder, 三部分。
- U-Net 扩散模型主体,用来实现文本引导下的 Latent 生成
- VAE(Variational Auto-Encoder):Encoder 将图像编码到 latent 空间, Decoder 则将 latent 解码为图像。
- TextEncoder: 提取输入 text 的 embeddings 通过 cross attentsion 的方式进入扩散模型 U-Net 中作为 Condition.

U-Net
Stable Diffusion 中的 Diffusion 是指扩散模型,因为它的数学原理看起来像物理学中的扩散而得名,扩散模型分为前向扩散和反向扩散两个过程。
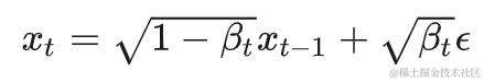
- 前向扩散(加噪)是选择一张图像 X0 ,然后生成随机标准高斯噪声图,将标准高斯噪声图添加到到图像 X0 生成图像 X1。重复循环 t 个时间步,逐步添加经过采样的标准高斯分布噪声图,图像 X0 变化到 Xt,原始图像则被噪声完全覆盖。

前向扩散过程中的采样的标准高斯噪声图如何生成?在数学上,高斯噪声是服从均值为μ和标准差为σ的正态分布的随机值,也被称为白噪声。其概率密度函数(PDF)定义:
其中 x 是随机变量,μ 是均值,σ 是标准差。 用 𝑁(𝑥;0,1) 表示随机变量 𝑥 服从均值为0方差为1的标准正态分布,标准高斯噪声图就是从标准正态分布中采样噪声 𝜖~𝑁(0,1) 。
然后通过下面公式将标准高斯噪声的添加到图像 X0 中:

- 反向扩散(去噪)是从标准正态分布 𝑁(𝑥;0,1) 中随机采样一张标准高斯噪声图 Xt,然后通过预估当前 t 时刻加入的正向扩散中添加的标准高斯噪声图,从其从图像 Xt 中减去。重复循环 t 个时间步,逐步减去预估的高斯分布噪声,将随机采样的标准高斯噪声还原成原图像。
前向扩散中添加标准高斯噪声的分布均值和方差都基于 Xt 和 𝛽t 确定。 反向扩散中减去的标准高斯噪声图则是通过噪声估计器 U-Net 模型预估。
什么叫U-Net模型(对应论文为:U-Net: Convolutional Networks for Biomedical Image Segmentation) U-Net 架构,骨干网络是由一系列卷积和自注意力层构成。
- 收缩路径遵循卷积网络的典型架构。由两个3X3卷积的重复结构组成,每层后面激活函数 ReLU 和2X2的最大池化操作,步长为 2,用于下采样。
- 扩展路径中的每个步骤都包括特征图的上采样,然后是一个2X2 的卷积,将特征通道数量减半,与收缩路径中相应的裁剪的特征图进行连接,以及两个 3X3 简介,每层后面激活函数 ReLU。
- 在最后一层,使用 1X1 卷积将每个 64 分量的特征向量映射到所需的类别数。
根据上图(注意该图下方是前向过程,上方是反向过程)前向过程加入噪声的分布是已知的正如 𝑞(𝑥𝑡|𝑥𝑡−1) ,但是 𝑝𝜃(𝑥𝑡−1|𝑥𝑡) 的反向过程的高斯噪声是未知的。 U-Net 模型就是噪声估计模型 𝜖(Xt, t) ,使其预估的噪声与前向过程中的标准高斯噪声相近,具体训练过程:
- 选择一个训练图像,执行前向扩散的过程。
- 通过 U-Net 模型预测添加的噪声,使其与前向扩散中的实际添加的标准高斯噪声做比较,从而建立损失函数做反向传播,更新噪声估计器的参数。
在训练过程结束后我们就可以得到一个模型可以预测 𝑡 时刻加入的标准高斯分布噪声 𝜖 。
Stable Diffusion训练数据集的具体情况,Stable Diffusion的训练是多阶段的(先在256×256尺寸上预训练,然后在512×512尺寸上精调),不同的阶段产生了不同的版本:
- SD v1.1:在Laion2B-en数据集上以256×256大小训练237,000步,如上所述,laion2B-en数据集中256以上的样本量共1324M;然后在Laion5B的高分辨率数据集以512×512尺寸训练194,000步,这里的高分辨率数据集是图像尺寸在1024×1024以上,共170M样本。
- SD v1.2:以SD v1.1为初始权重,在improved_aesthetics_5plus数据集上以512×512尺寸训练515,000步数,这个improved_aesthetics_5plus数据集上laion2B-en数据集中美学评分在5分以上的子集(共约600M样本),注意这里过滤了含有水印的图片(pwatermark>0.5)以及图片尺寸在512×512以下的样本。
- SD v1.3:以SD v1.2为初始权重,在improved_aesthetics_5plus数据集上继续以512×512尺寸训练195,000步数,不过这里采用了CFG(以10%的概率随机drop掉text)。
- SD v1.4:以SD v1.2为初始权重,在improved_aesthetics_5plus数据集上采用CFG以512×512尺寸训练225,000步数。 *SD v1.5:以SD v1.2为初始权重,在improved_aesthetics_5plus数据集上采用CFG以512×512尺寸训练595,000步数。
VAE
Stable Diffusion 原来名字叫做 "Latent Diffusion Model", 是基于 Latent 的扩散模型,像 Imagen, DALL-E 等扩散模型是基于像素空间工作。其中的 Latent 则是潜空间。它不在高维的图像空间中操作,而是先将图像压缩到潜变量空间。潜变量空间的维度是图像空间的48倍小,所以它可以大大减少计算量。这就是为什么它的速度会快很多。
Stable Diffusion 是基于 latent 潜空间的扩散模型,潜空间是使用 VAE(Variational Auto-Encoder) 变分自编码编码器将图片映射到一个低纬的的隐式表征。在潜空间进行扩散可以使用更少的内存,减少 U-Net 层数,大大的减少计算量,加速图片的生成。
VAE(Variational Auto-Encoder)是一种神经网络模型的一部分。 VAE 提供 Stable Diffusion 对图像进行潜空间与像素空间之间的转化时需要的编码与解码器。

一般无需安装 VAE 文件就可以运行 Stable Diffusion,因为无论是 v1、v2 还是自定义模型,都已经内置了默认的 VAE。
当需要下载和使用 VAE 时,通常是需要使用 VAE 的改进版本。这发生在模型训练者用额外的数据进一步微调了模型的 VAE 部分。为了避免发布一个很大的完整新模型,他们只发布了经过更新的小部分。
Stability AI发布了两种精调后的VAE解码器变体,ft-EMA和ft-MSE,它们强调的部分不同! EMA和MSE:指数移动平均(Exponential Moving Average)和均方误差(Mean Square Error)是测量自动编码器好坏的指标。
TextEncoder
Stable Diffusion 中文本 prompt 的 embedding 使用了 CLIP 模型,CLIP是一个由OpenAI开发的深度学习模型,用于为任何图像生成文本描述。Stable Diffusion v1使用了CLIP的标记器。
Stable Diffusion 是文生图模型,所以在扩散模型生图的过程中可以使用文本 prompt 来控制图像的生成。文本 prompt 进行 embedding 获得相应的嵌入向量,输入到扩散模型中,进行 cross-attention 跨注意力计算,从而影响生成的图像。
《扩散模型-从原理到实战》
环境准备
- 安装显卡驱动与 CUDA
- 安装机器学习开源库 torch
- 安装 HuggingFace 的扩散模型开源库 diffusers
- 安装绘图开源库 matplotlib
使用以下代码进行环境和数据集测试
import torch
import torchvision
from torch import nn
from torch.nn import functional as F
from torch.utils.data import DataLoader
from diffusers import DDPMScheduler, UNet2DModel
from matplotlib import pyplot as plt
device = torch.device("cuda" if torch.cuda.is_available() else "cpu")
print(f'Using device: {device}')
dataset = torchvision.datasets.MNIST(root="mnist/", train=True, download=True, transform=torchvision.transforms.ToTensor())
train_dataloader = DataLoader(dataset, batch_size=8, shuffle=True)
x, y = next(iter(train_dataloader))
print('Input shape:', x.shape)
print('Labels: ', y)
plt.imshow(torchvision.utils.make_grid(x)[0], cmap='Greys')
plt.show()
退化过程
如果 amount = 0, 则返回输入,不做任何更改;如果 amount = 1, 将得到一个纯粹的噪声。通过控制 amount 的值,可以将输入内容与噪声混合,并把混合后结果保持在相同的范围(0-1)
def corrupt(x, amount):
""" 根据 amount 为输入 x 加入噪声,这就是退化的过程 """
noise = torch.rand_like(x)
amount = amount.view(-1, 1, 1, 1) # 整理形状以保证广播机制不出错
return (1 - amount) * x + amount * noise
# 绘制输入数据
fig, axs = plt.subplots(2, 1, figsize=(12, 5))
axs[0].set_title('Input data')
axs[0].imshow(torchvision.utils.make_grid(x)[0], cmap='Greys')
# 加入噪声
amount = torch.linspace(0, 1, x.shape[0]) # 从 0 到 1 退化更强烈了
noised_x = corrupt(x, amount)
# 绘制加噪版本的图像
axs[1].set_title('Corrupted data (--amount increased -->)')
axs[1].imshow(torchvision.utils.make_grid(noised_x)[0], cmap='Greys')
plt.show()
torch.linspace(start, end, steps) : 全称 linear space 线性等分向量。构造一个一维向量,值是从 start 到 end 之间,基于 steps 等分。同时向量 size 为 steps.
torch.rand_like(input): 返回一个与 input 相同 size 的向量,填充值从 0-1 ,且符合均匀分布的随机值。
torchvision.utils.make_grid(tensor: Union[Tensor, List[Tensor]]): 将 tensor 中包含的图片组合成一个包含所有图片的 grid 图片
模型训练
U-Net 网络
U-Net 网络最初用于完成医学图像中的分割任务,在扩散模型中用于接受 28X28 像素的噪声图像,并输出相同大小图片的预测结果。U-Net 网络由一条“压缩路径”和一条“扩展路径” 组成。“压缩路径”会使通过该路径的数据维度压被压缩,而“扩展路径”则会将数据扩展回原始维度。网络中的残差连接允许信息和梯度在不同层级之间流动。
在这里,仅构建一个非常简单的示例,接收一个单通道的图像,使其通过压缩路径的 3 个卷积层和扩展路径的 3 个卷积层。压缩路径和扩展路径之间有残差连接,使用最大池化层进行下采样
池化层:池化层(Pooling Layer)是卷积神经网络(CNN)中的一个重要组件,它主要用于降低特征的空间维度,从而减少计算量和参数数量,同时使特征检测更加鲁棒。池化层对输入的特征图进行压缩,提取主要特征,并且增加对图像位移的不变性,这包括平移不变性、旋转不变性和尺度不变性。
池化操作不涉及权重的学习,它是一个确定性的操作,通常计算的是池化窗口内的最大值或平均值,这就是所谓的最大池化(Max Pooling)和平均池化(Average Pooling)。最大池化通过取区域内的最大值来实现特征的下采样,而平均池化则是计算区域内的平均值。
池化层的作用主要包括:
- 特征不变性的提升,使模型更加关注特征是否存在而不是具体位置。
- 特征降维,减小下一层的输入大小,降低计算量和参数个数。
- 防止过拟合,方便模型优化。
- 实现非线性,类似于ReLU激活函数。
- 扩大感受野,使网络能够捕捉更广泛的特征。
常见的池化层包括最大池化层、平均池化层、重叠池化层以及其他形式的池化层。重叠池化层允许相邻池化窗口之间有重叠区域,这可以通过设置池化窗口大小和步幅(Stride)来实现,通常窗口大小大于步幅。
在实际应用中,池化层通常跟在卷积层和激活函数之后,帮助网络逐步聚合信息,形成更加全局的特征表示,同时保持卷积层的优势。池化层没有模型参数,因此不需要进行参数初始化或更新。
池化层的实现通常很简单,例如在PyTorch中,可以通过
nn.MaxPool2d或nn.AvgPool2d来实现最大池化或平均池化,并且可以通过设置padding和stride参数来调整输出特征图的大小。
import torch
import torchvision
from torch import nn
from torch.nn import functional as F
from torch.utils.data import DataLoader
from diffusers import DDPMScheduler, UNet2DModel
from matplotlib import pyplot as plt
device = torch.device("cuda" if torch.cuda.is_available() else "cpu")
print(f'Using device: {device}')
class BasicUNet(nn.Module):
"""一个十分简单的 U-Net 网络部署"""
def __init__(self, in_channels=1, out_channels=1):
super().__init__()
self.down_layers = torch.nn.ModuleList([
nn.Conv2d(in_channels, 32, kernel_size=5, padding=2),
nn.Conv2d(32, 64, kernel_size=5, padding=2),
nn.Conv2d(64, 64, kernel_size=5, padding=2)
])
self.up_layers = torch.nn.ModuleList([
nn.Conv2d(64, 64, kernel_size=5, padding=2),
nn.Conv2d(64, 32, kernel_size=5, padding=2),
nn.Conv2d(32, out_channels, kernel_size=5, padding=2)
])
self.act = nn.ReLU() # 激活函数
self.downscale = nn.MaxPool2d(2)
self.upscale = nn.Upsample(scale_factor=2)
def forward(self, x):
h = []
for i, l in enumerate(self.down_layers):
x = self.act(l(x)) # 通过运算层与激活函数
if i < 2: # 选择除了第 3 层(最后一层)以外的层
h.append(x) # 排列供残差连接使用的数据
x = self.downscale(x) # 进行下采样以适配下一层的输入
for i, l in enumerate(self.up_layers):
if i > 0: # 选择除了第 1 个上采样层以外的层
x = self.upscale(x) # Upscale 上采样
x += h.pop() # 得导之前排列好的供残差连接使用的数据
x = self.act(l(x)) # 通过运算层与激活函数
return x
if __name__ == '__main__':
net = BasicUNet()
x = torch.rand(8, 1, 28, 28)
print("shape: ", net(x).shape)
print("param size: ", sum([p.numel() for p in net.parameters()]))
激活函数是神经网络中不可或缺的组成部分,它为模型引入非线性,使得网络能够学习和执行更加复杂的任务。以下是一些常见的激活函数:
- Sigmoid:这是一个将输入压缩到0和1之间的函数,通常用于二分类问题。
- Tanh (Hyperbolic Tangent) :这是双曲正切函数,将输入压缩到-1和1之间。
- ReLU (Rectified Linear Unit) :当前最流行的激活函数之一,它将所有负值置为0,保留正值。公式为:ReLU(x)=max(0,x)。它计算简单,训练速度快,且在很多任务中表现良好。
- Leaky ReLU:这是ReLU的变体,允许小的梯度值当输入为负数时。公式为:Leaky ReLU(x)=max(αx,x),其中αα是一个很小的正数。
- Parametric ReLU (PReLU) :Leaky ReLU的泛化形式,其斜率系数αα是可学习的参数。
- ELU (Exponential Linear Unit) :它在负值域内以指数速率衰减,同时保持正值不变。公式为:ELU(x)=max(α(ex−1),x)。
- SELU (Scaled Exponential Linear Unit) :自归一化激活函数,它不仅自归一化,而且输出的均值和标准差在训练过程中保持恒定。公式为:SELU(x)=λ(max(0,x)−αe−max(0,−x))。
- Softmax:通常用于多分类问题的最后一层,将输入的任意实数值转换成概率分布。
- Swish:一种自门控的激活函数,公式为:f(x)=x⋅σ(βx),其中β是可学习的参数或一个常数。
- GELU (Gaussian Error Linear Unit) :基于高斯分布累积分布函数的激活函数,近期在自然语言处理领域流行。公式为:GELU(x)=xΦ(x),其中Φ是标准正态分布的CDF。
激活函数的选择取决于具体的应用和网络架构。例如,ReLU及其变体由于其计算效率和在深层网络中的效果,成为许多现代网络的默认选择。然而,对于一些需要输出概率或需要梯度在负值域内传播的任务,可能需要使用如Softmax或GELU这样的激活函数。
开始训练
针对原始输入 x,首先给定一个“带噪”的输入 noisy_x ,扩散模型输出预测结果。通过均方差对预测结果与原始值进行比较。流程如下:
- 获取一批训练数据
- 添加随机噪声
- 将数据输入扩散模型
- 对模型输出预测结果与原始图像进行比较,计算损失,反向传播更新模型参数
训练过程中的损失曲线
模型预测结果可视化展示
# 数据加载器(可以调整 batch_size)
batch_size = 128
dataset = torchvision.datasets.MNIST(root="mnist/", train=True, download=True, transform=torchvision.transforms.ToTensor())
train_dataloader = DataLoader(dataset, batch_size=batch_size, shuffle=True)
# 设置将在整个数据集上运行多个个周期
n_epochs = 3
# 创建网络
net = BasicUNet()
net.to(device)
# 指定损失函数
loss_fn = nn.MSELoss()
# 指定优化器
opt = torch.optim.Adam(net.parameters(), lr = 1e-3)
# 记录训练过程中的损失,供后期查看
losses = []
# 训练
for epoch in range(n_epochs):
for x, y in train_dataloader:
# 得到数据并准备退化
x = x.to(device) # 将数据加载到 GPU 显存中
noise_amount = torch.rand(x.shape[0]).to(device) # 随机选取噪声量
noisy_x = corrupt(x, noise_amount) # 创建“带噪”的输入 noisy_x
# 得到模型预测结果
pred = net(noisy_x)
# 计算损失函数
loss = loss_fn(pred, x) # 输出与真实“干净”的 x 有多接近
# 反向传播并更新参数
opt.zero_grad()
loss.backward()
opt.step()
# 存储损失,供后期查看
losses.append(loss.item())
# 输出在每个周期训练得到的损失的均值
avg_loss = sum(losses[-len(train_dataloader):])/len(train_dataloader)
print(f'Finished epoch {epoch}. Average loss for this epoch: {avg_loss:05f}')
# 查看损失曲线
plt.plot(losses)
plt.ylim(0, 0.1)
plt.show()
# 可视化模型在“带噪”输入上的表现
# 构造测试集
x, y = next(iter(train_dataloader))
x = x[:8] # 只选择前 8 条数据
# 在 (0, 1) 区间选择退化量
amount = torch.linspace(0, 1, x.shape[0]) # 从 0 到 1 退化越强烈
noised_x = corrupt(x, amount)
# 得到模型预测结果
with torch.no_grad():
preds = net(noised_x.to(device)).detach().cpu()
# 绘制结果
fig, axs = plt.subplots(3, 1, figsize=(12, 7))
axs[0].set_title('Input data')
axs[0].imshow(torchvision.utils.make_grid(x)[0].clip(0, 1), cmap='Greys')
axs[1].set_title('Corrupted data')
axs[1].imshow(torchvision.utils.make_grid(noised_x)[0].clip(0, 1), cmap='Greys')
axs[2].set_title('Network Predictions data')
axs[2].imshow(torchvision.utils.make_grid(preds)[0].clip(0, 1), cmap='Greys')
plt.show()
nn.MSELoss(): 创建一个损失函数,用来衡量预测结果与目标结果之间的差值。
损失函数(Loss Function),也称为代价函数或目标函数,是衡量模型预测值与实际值差异的函数。在训练神经网络时,目标是最小化损失函数,以此来调整网络的参数。以下是一些常见的损失函数:
- 均方误差(Mean Squared Error, MSE) : 这是回归问题中最常用的损失函数。它计算预测值与实际值之差的平方的平均值。
- 平均绝对误差(Mean Absolute Error, MAE) : 与MSE类似,但计算的是绝对值的平均,对异常值的敏感度较低。
- 交叉熵损失(Cross-Entropy Loss) : 用于分类问题,特别是二分类和多分类问题。对于二分类问题。
- 对数损失(Logarithmic Loss) : 与交叉熵损失相同,常用于二分类问题。
- Hinge损失(Hinge Loss) : 用于支持向量机(SVMs),计算间隔的非负性。
- Categorical Cross-Entropy Loss: 多分类问题的交叉熵损失,用于神经网络的最后层,当进行多类别分类时。
- Dice损失(Dice Loss) : 用于计算两个样本之间的相似度,特别适用于医学图像分割。
- Focal Loss: 由何凯明等人提出,用于解决类别不平衡问题,特别是用于目标检测和分类。
- IoU损失(Intersection over Union Loss) : 用于计算预测的边界框和真实边界框之间的重叠程度,常用于目标检测。
- 三元组损失(Triplet Loss) : 用于训练具有三元组的模型,包含一个锚点、一个正样本和一个负样本。目标是使锚点与正样本的距离小于锚点与负样本的距离。
不同的损失函数适用于不同类型的问题和模型。选择合适的损失函数对于训练有效的神经网络至关重要。
采样过程
上面的模型预测结果可视化展示,可以看到噪声量越多,预测结果越差。那么从完全随机的噪声开始,一次预测是很难获取好的结果。扩散模型的优化方式则是通过多步预测,如果新的一次的预测结果比上一次的更好一点,那么将每次预测的结果与本次的输入进行融合,作为下一次预测的输入,那么我们就持续朝着更好的方向移动。
下图则是分 5 步进行预测的过程,左侧是 5 次的输入值,右侧是 5 次的预测结果,可以看到结果越往后越好。
这中分步的过程称做采样,采样的次数越多,模型推理获得的图像质量越高。另外模型训练的 epoch 越大,调整学习率,优化器等,以及使用更大的训练数据集,获得更好的模型也可以优化预测图像的质量。
# 把采样过程拆解为 5 步,每次只前进一步
n_steps = 5
x = torch.rand(8, 1, 28, 28).to(device) # 符合正态分布的随机值
step_history = [x.detach().cpu()]
pred_output_history = []
for i in range(n_steps):
with torch.no_grad(): # 在推理的时候步需要考虑张量的导数
pred = net(x)
pred_output_history.append(pred.detach().cpu()) # 将模型的预测输出保存下来,以便后续绘制
mix_factor = 1/(n_steps - i) # 设置朝着预测方向移动多少
x = x * (1 - mix_factor) + pred * mix_factor
step_history.append(x.detach().cpu())
# 绘制结果
fig, axs = plt.subplots(n_steps, 2, figsize=(9, 4), sharex=True)
axs[0,0].set_title('x (model Input data)')
axs[0,1].set_title('model prediction data')
for i in range(n_steps):
axs[i, 0].imshow(torchvision.utils.make_grid(step_history[i])[0].clip(0, 1), cmap='Greys')
axs[i, 1].imshow(torchvision.utils.make_grid(pred_output_history[i])[0].clip(0, 1), cmap='Greys')
plt.show()
DDPM
Diffusers 库中 DDPM 版本实现过程的区别:
- UNet2DModel 模型结构相比 BasicUNet 模型结构更优。
- 退化过程的处理方式更复杂
- 训练目标不同,旨在预测噪声,不是“去噪”后的图像
- UNet2DModel 模型通过调节时间步来调节噪声量,时间 t 作为一个额外参数被传入前向过程。
- 有更多种类的采样策略可供选择。
Finished epoch 0. Average loss for this epoch: 0.020083
Finished epoch 1. Average loss for this epoch: 0.012908
Finished epoch 2. Average loss for this epoch: 0.011645
from diffusers import UNet2DModel
device = torch.device("cuda" if torch.cuda.is_available() else "cpu")
print(f'Using device: {device}')
def corrupt(x, amount):
""" 根据 amount 为输入 x 加入噪声,这就是退化的过程 """
noise = torch.rand_like(x)
amount = amount.view(-1, 1, 1, 1) # 整理形状以保证广播机制不出错
return (1 - amount) * x + amount * noise
# 数据加载器(可以调整 batch_size)
batch_size = 128
dataset = torchvision.datasets.MNIST(root="mnist/", train=True, download=True, transform=torchvision.transforms.ToTensor())
train_dataloader = DataLoader(dataset, batch_size=batch_size, shuffle=True)
# 设置将在整个数据集上运行多个个周期
n_epochs = 3
# 创建网络
net = UNet2DModel(
sample_size=28,
in_channels=1,
out_channels=1,
layers_per_block=2,
block_out_channels=(32, 64, 64),
down_block_types=(
"DownBlock2D",
"AttnDownBlock2D",
"AttnDownBlock2D",
),
up_block_types=(
"AttnUpBlock2D",
"AttnUpBlock2D",
"UpBlock2D",
)
)
net.to(device)
# 指定损失函数
loss_fn = nn.MSELoss()
# 指定优化器
opt = torch.optim.Adam(net.parameters(), lr = 1e-3)
# 记录训练过程中的损失,供后期查看
losses = []
# 训练
for epoch in range(n_epochs):
for x, y in train_dataloader:
# 得到数据并准备退化
x = x.to(device) # 将数据加载到 GPU 显存中
noise_amount = torch.rand(x.shape[0]).to(device) # 随机选取噪声量
noisy_x = corrupt(x, noise_amount) # 创建“带噪”的输入 noisy_x
# 得到模型预测结果,这里传递 t=0, 以表明模型是在没有时间步的情况下工作,也可以输入 noise_amount * 1000, 以使时间步与噪声水平相当
pred = net(noisy_x, 0).sample
# 计算损失函数
loss = loss_fn(pred, x) # 输出与真实“干净”的 x 有多接近
# 反向传播并更新参数
opt.zero_grad()
loss.backward()
opt.step()
# 存储损失,供后期查看
losses.append(loss.item())
# 输出在每个周期训练得到的损失的均值
avg_loss = sum(losses[-len(train_dataloader):])/len(train_dataloader)
print(f'Finished epoch {epoch}. Average loss for this epoch: {avg_loss:05f}')
# Plot losses and some samples
fig, axs = plt.subplots(1, 2, figsize=(12, 5))
# 查看损失曲线
axs[0].plot(losses)
axs[0].set_ylim(0, 0.1)
axs[0].set_title('Loss over time')
# 把采样过程拆解为 40 步,每次只前进一步
n_steps = 40
x = torch.rand(64, 1, 28, 28).to(device) # 符合正态分布的随机值
step_history = [x.detach().cpu()]
pred_output_history = []
for i in range(n_steps):
noise_amount = torch.ones((x.shape[0], )).to(device) * (1 - i/n_steps)
with torch.no_grad(): # 在推理的时候步需要考虑张量的导数
pred = net(x, 0).sample
pred_output_history.append(pred.detach().cpu()) # 将模型的预测输出保存下来,以便后续绘制
mix_factor = 1/(n_steps - i) # 设置朝着预测方向移动多少
x = x * (1 - mix_factor) + pred * mix_factor
step_history.append(x.detach().cpu())
axs[1].imshow(torchvision.utils.make_grid(x.detach().cpu(), nrow=8)[0].clip(0, 1), cmap='Greys')
axs[1].set_title('Generated Samples')
plt.show()
退化过程
模型训练
参考
GitHub - s9roll7/animatediff-cli-prompt-travel: animatediff prompt travel
GitHub - mix1009/sdwebuiapi: Python API client for AUTOMATIC1111/stable-diffusion-webui
一文学会Stable Diffusion模型原理轻松入门AIGC - 知乎 (zhihu.com)
大白话AI | 图像生成模型DDPM | 扩散模型 | 生成模型 | 概率扩散去噪生成模型_哔哩哔哩_bilibili
AI绘画原理解析:从CLIP、BLIP到DALLE、DALLE 2、DALLE 3、Stable Diffusion_dalle3算法-CSDN博客
