最新golang语言面试题总结(一)_golang面试题,分分钟搞定

193 阅读21分钟

8、channel本质上传递的是数据的拷贝,拷贝的数据越小传输效率越高,传递结构体指针,比传递结构体更高效

9、说一下go中的CSP

CSP(communicating sequential processes)并发模型:Go语言特有且推荐使用的。

Go的CSP并发模型,是通过goroutine和channel来实现的。

不同于传统的多线程通过共享内存来通信,CSP讲究的是“以通信的方式来共享内存”。

普通的线程并发模型,就是像Java、C++、或者Python,他们线程间通信都是通过共享内存的方式来进行的。非常典型的方式就是,在访问共享数据(例如数组、Map、或者某个结构体或对象)的时候,通过锁来访问,因此,在很多时候,衍生出一种方便操作的数据结构,叫做“线程安全的数据结构”。

Go的CSP并发模型,是通过goroutine和channel来实现的。

goroutine 是Go语言中并发的执行单位。可以理解为用户空间的线程。
channel是Go语言中不同goroutine之间的通信机制,即各个goroutine之间通信的”管道“,有点类似于Linux中的管道。 

 

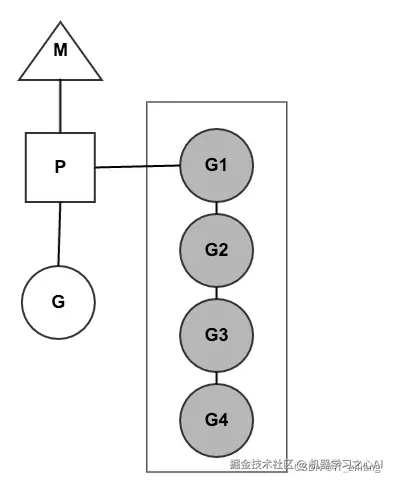
M:是内核线程

P : 是调度协调,用于协调M和G的执行,内核线程只有拿到了 P才能对goroutine继续调度执行,一般都是通过限定P的个数来控制golang的并发度

G : 是待执行的goroutine,包含这个goroutine的栈空间

Gn : 灰色背景的Gn 是已经挂起的goroutine,它们被添加到了执行队列中,然后需要等待网络IO的goroutine,当P通过 epoll查询到特定的fd的时候,会重新调度起对应的,正在挂起的goroutine。

Golang为了调度的公平性,在调度器加入了steal working 算法 ,在一个P自己的执行队列,处理完之后,它会先到全局的执行队列中偷G进行处理,如果没有的话,再会到其他P的执行队列中抢G来进行处理
csp很好的例子:生产者和消费者。

10、说一下go中channel是不是线程安全的,什么情况下会变成线程不安全

 Channel是Go中的一个核心类型,可以把它看成一个管道,通过它并发核心单元就可以发送或者接收数据进行通讯(communication),Channel也可以理解是一个先进先出的队列,通过管道进行通信。

Golang的Channel,发送一个数据到Channel 和 从Channel接收一个数据 都是 原子性的。而且Go的设计思想就是:不要通过共享内存来通信,而是通过通信来共享内存,前者就是传统的加锁,后者就是Channel。也就是说,设计Channel的主要目的就是在多任务间传递数据的,这当然是安全的

11、说一下map是有序的吗?如何实现有序

1、由于golang map内部存储机制是以key为hash的结构来实现,所以顺序是混乱的

2、如果希望是有顺序的,可以把 key 转移至 slice,将slice 进行排序,然后输出。

var keys []string

for key := range maps {

    keys = append(keys, key)

}

sort.Strings(keys) //内值排序


for _, key := range keys {

    fmt.Printf("%s:%v\n", key, maps[key])

}

12、如下程序添加一段代码让程序不报panic异常。

func test() {
	//添加一段程序捕获panic异常
	
}
func main() {
	defer test()
	panic(1)
}

答案:
func test() {
	//添加一段程序捕获panic异常
	recover()
}
func main() {
	defer test()
	panic(1)
}

13、使用go语言将数组中12300045变成12345000

func MobileNnm(arr []int) []int {
	arr2 := make([]int, 0)
	oneCount := 0
	for _, v := range arr {
		if v == 0 {
			oneCount++
		} else {
			arr2 = append(arr2, v)
		}
	}
	for i := 0; i < oneCount; i++ {
		arr2 = append(arr2, 0)
	}
	return arr2
}
func main() {
	//使用go语言将12300045变成12345000
	val1 := []int{1, 2, 3, 0, 0, 0, 4, 5}
	val2 := MobileNnm(val1)
	fmt.Println(val2)
}
结果:[1 2 3 4 5 0 0 0]

14、算法题

题目:1、(( 结果是false    
     2、(())() 是true   
     3、((()))())是falsego实现

思路:压栈找到匹配的出栈,找不到还放入栈中,直到栈为空,代表都匹配上了。
代码如下:(仅供参考)
func main() {
	//题目:1、(( 结果是false
	//2、(())() true
	//3、((()))())false  用go实现
	s0 := []string{"(", "("}
	fmt.Println(IsMatch(s0))//false
	s1 := []string{"(", "(", ")", ")", "(", ")"}
	fmt.Println(IsMatch(s1)) //true
	s2 := []string{"(", "(", ")", ")", "(", ")", ")"}
	fmt.Println(IsMatch(s2))//false
}
func IsMatch(str []string) bool {
	//压栈的思想
	if len(str) == 0 {
		return false
	}
	stack := NewStack()
	for _, v := range str {
		if stack.IsEmpty() {
			stack.Push(v)
		} else {
			sp := stack.Pop()
			if sp == "(" && string(v) == ")" {
				continue
			} else {
				stack.Push(sp)
				stack.Push(v)
			}
		}
	}
	if stack.IsEmpty() {
		return true
	}
	return false
}

type Element interface{} //可存入任何类型
type Stack struct {
	list []Element
}

//初始化栈
func NewStack() *Stack {
	return &Stack{
		list: make([]Element, 0),
	}
}
//判断栈是否空
func (s *Stack) IsEmpty() bool {
	if len(s.list) == 0 {
		return true
	} else {
		return false
	}
}

//入栈
func (s *Stack) Push(x interface{}) {
	s.list = append(s.list, x)
}

//出栈
func (s *Stack) Pop() Element {
	if len(s.list) <= 0 {
		fmt.Println("Stack is Empty")
		return nil
	} else {
		ret := s.list[len(s.list)-1]
		s.list = s.list[:len(s.list)-1]
		return ret
	}
}

15、算法题

题目:上楼梯有一阶和两阶
例如3层楼梯有如下种
1  2  1
1  1  2
1    

n阶有多少种:

代码如下:(仅供参考)
func main() {
	n := Upstairs(3)
	fmt.Println(n)
}

var mapData = make(map[int]int, 0)

func Upstairs(n int) int {
	if n == 1 {
		return 1
	}
	if n == 2 {
		return 2
	}
	if _, ok := mapData[n]; !ok {
		mapData[n] = Upstairs(n-1) + Upstairs(n-2)
	}
	return mapData[n]
}

16、用go实现单链表的反转

题目:单链表12345678910反转成10987654321
代码如下:(仅供参考)
func main() {
	//实现单链表的反转例如12345678910变成10987654321
	var head = new(ListNode)
	CreateNode(head, 10)
	PrintNode("前:", head)
	yyy := reverseList(head)
	PrintNode("后:", yyy)
}

type ListNode struct {
	data interface{}
	next *ListNode
}

func reverseList(head *ListNode) *ListNode {
	cur := head
	var pre *ListNode
	for cur != nil {
		cur.next, pre, cur = pre, cur, cur.next
	}
	return pre
}
func CreateNode(node *ListNode, max int) {
	cur := node
	for i := 1; i <= max; i++ {
		cur.next = &ListNode{}
		cur.data = i
		cur = cur.next
	}
}

//打印链表的方法
func PrintNode(str string, node *ListNode) {
	fmt.Print(str)
	for cur := node; cur != nil; cur = cur.next {
		if cur.data != nil {
			fmt.Print(cur.data, " ")
		}
	}
	fmt.Println()
}
结果:
前:1 2 3 4 5 6 7 8 9 10 
后:10 9 8 7 6 5 4 3 2 1 

17、算法题(在线求答案)

题目:
输入文件构成规则如下:
1. 每行代表一条记录,字段之间以逗号(,)分隔
2. 若字段内容包含逗号(,),则以双引号包围该字段
3. 若字段内容包含双引号("),则以双引号包围该字段,字段内的双引号由一个变两个
请参照上面三条规则,编写一个解析程序,将解析后的记录内容按行输出,字段之间以TAB(\t)分隔,2小时内完成

示例:
    John,33,"足球,摄影",New York
    John,33,"足球,""摄影",New York
输出:
    John 33 足球,摄影 New York
    John 33 足球,"摄影 New York
 
输入:
2,John,45,"足球,摄影",New York
3,Carter Job,33,"""健身"",远足","河北,石家庄"
4,Steve,33,"大屏幕164""","DC""Home"""
5,"Jul,y",33,Football,Canada

求输出!

package main

import (
	"bufio"
	"fmt"
	"os"
	"strings"
)

func parseRecord(line string) string {
	var fields []string
	var inQuote bool
	var field string

	for i := 0; i < len(line); i++ {
		c := line[i]

		if c == ',' && !inQuote {
			fields = append(fields, field)
			field = ""
		} else if c == '"' {
			inQuote = !inQuote
			if i > 0 && line[i-1] == '"' {
				field += "\""
			}
		} else {
			field += string(c)
		}
	}

	fields = append(fields, field)

	return strings.Join(fields, "\t")
}

func main() {
	scanner := bufio.NewScanner(os.Stdin)
	for scanner.Scan() {
		line := scanner.Text()
		fmt.Println(parseRecord(line))
	}

	if err := scanner.Err(); err != nil {
		fmt.Fprintln(os.Stderr, "reading standard input:", err)
	}
}

18、slice和map区别代码输出题

题目一:
func main() {
	s1 := []int{1, 2, 3, 4, 5}
	changeslice(s1)
    fmt.Println(s1)//?s1的结果会变化吗?
	fmt.Println(len(s1), cap(s1))//?s1长度和容量会变化吗?
	m1 := map[int]int{1: 1, 2: 2, 3: 3, 4: 4}
	changeMap(m1)  
	fmt.Println(m1) //?m1中key等于1的值会变化吗?
    fmt.Println(len(m1))//?m1长度和容量会变化吗?
}
func changeslice(s []int) {
	s[0] = 2
	s = append(s, 7, 8, 9, 10)
}
func changeMap(m map[int]int) {
	m[1] = 2
	m[5] = 5
	m[6] = 6
}
答案:s1的值会变化,但是长度和容量不会变化。m1的值会变化,长度会变化。
切记:
 map 没有容量限制,所以内置函数 cap 也不接受 map 类型

题目二:
func main() {
	m := make(map[int]int)
	mdMap(m)
	fmt.Println(m)  //输出结果
}

func mdMap(m map[int]int) {
	m[1] = 100
	m[2] = 200
}
---------------------------------
func main() {
	var m1 map[int]int
	mdMap(m1)
	fmt.Println(m1)//输出的结果
}

func mdMap(m map[int]int) {
	m = make(map[int]int)
	m[1] = 100
	m[2] = 200
}
答案:m结果map[2:200 1:100]     m1的结果map[]

19、mysql有那几种存储引擎

MyISAM:

创建一个myisam存储引擎的表的时候回出现三个文件

1.tb_demo.frm,存储表定义;  2.tb_demo.MYD,存储数据;  3.tb_demo.MYI,存储索引。

MyISAM表无法处理事务,这就意味着有事务处理需求的表,不能使用MyISAM存储引擎。

MyISAM存储引擎特别适合在以下几种情况下使用:

1.选择密集型的表。MyISAM存储引擎在筛选大量数据时非常迅速,这是它最突出的优点。

2.插入密集型的表。MyISAM的并发插入特性允许同时选择和插入数据。例如:MyISAM存储引擎很适合管理邮件或Web服务器日志数据。

InnoDB:

InnoDB是一个健壮的事务型存储引擎MySQL 5.6.版本以后InnoDB就是作为默认的存储引擎。

InnoDB还引入了行级锁定和外键约束,在以下场合下,使用InnoDB是最理想的选择:

  1. 更新密集的表。InnoDB存储引擎特别适合处理多重并发的更新请求。

2.事务。InnoDB存储引擎是支持事务的标准MySQL存储引擎。

3.自动灾难恢复。与其它存储引擎不同,InnoDB表能够自动从灾难中恢复。

4.外键约束。MySQL支持外键的存储引擎只有InnoDB。

5.支持自动增加列AUTO_INCREMENT属性。

MEMORY:

使用MySQL Memory存储引擎的出发点是速度。为得到最快的响应时间,采用的逻辑存储介质是系统内存。虽然在内存中存储表数据确实会提供很高的性能,但当mysqld守护进程崩溃时,所有的Memory数据都会丢失。获得速度的同时也带来了一些缺陷。它要求存储在Memory数据表里的数据使用的是长度不变的格式,这意味着不能使用BLOB和TEXT这样的长度可变的数据类型,VARCHAR是一种长度可变的类型,但因为它在MySQL内部当做长度固定不变的CHAR类型,所以可以使用。

一般在以下几种情况下使用Memory存储引擎:

1.目标数据较小,而且被非常频繁地访问。在内存中存放数据,所以会造成内存的使用,可以通过参数max_heap_table_size控制Memory表的大小,设置此参数,就可以限制Memory表的最大大小。

2.如果数据是临时的,而且要求必须立即可用,那么就可以存放在内存表中。

3.存储在Memory表中的数据如果突然丢失,不会对应用服务产生实质的负面影响。Memory同时支持散列索引和B树索引。B树索引的优于散列索引的是,可以使用部分查询和通配查询,也可以使用<、>和>=等操作符方便数据挖掘。散列索引进行“相等比较”非常快,但是对“范围比较”的速度就慢多了,因此散列索引值适合使用在=和<>的操作符中,不适合在<或>操作符中,也同样不适合用在order by子句中

MERGE:

MERGE存储引擎是一组MyISAM表的组合,这些MyISAM表结构必须完全相同,尽管其使用不如其它引擎突出,但是在某些情况下非常有用。说白了,Merge表就是几个相同MyISAM表的聚合器;Merge表中并没有数据,对Merge类型的表可以进行查询、更新、删除操作,这些操作实际上是对内部的MyISAM表进行操作。Merge存储引擎的使用场景。对于服务器日志这种信息,一般常用的存储策略是将数据分成很多表,每个名称与特定的时间端相关。例如:可以用12个相同的表来存储服务器日志数据,每个表用对应各个月份的名字来命名。当有必要基于所有12个日志表的数据来生成报表,这意味着需要编写并更新多表查询,以反映这些表中的信息。与其编写这些可能出现错误的查询,不如将这些表合并起来使用一条查询,之后再删除Merge表,而不影响原来的数据,删除Merge表只是删除Merge表的定义,对内部的表没有任何影响。

ARCHIVE:

rchive是归档的意思,在归档之后很多的高级功能就不再支持了,仅仅支持最基本的插入和查询两种功能。在MySQL 5.5版以前,Archive是不支持索引,但是在MySQL 5.5以后的版本中就开始支持索引了。Archive拥有很好的压缩机制,它使用zlib压缩库,在记录被请求时会实时压缩,所以它经常被用来当做仓库使用。

20、mysql中事务隔离级别有哪几种

  • 读未提交(READ UNCOMITTED)
  • 读提交(READ COMMITTED)
  • 可重复读(REPEATABLE READ)
  • 串行化(SERIALIZABLE)
  • | 隔离级别 | 脏读 | 不可重复读 | 幻读 | | --- | --- | --- | --- | | READ UNCOMITTED | √ | √ | √ | | READ COMMITTED | × | √ | √ | | REPEATABLE READ | × | × | √ | | SERIALIZABLE | × | × | × |

mysql数据库事务的隔离级别有4个,而默认的事务处理级别就是【REPEATABLE-READ】,也就是可重复读

21、 B树、B+tree、Hash有什么区别

B树是一种多路自平衡搜索树,它类似普通的二叉树,但是B书允许每个节点有更多的子节点。B树示意图如下:

B树的特点:

  1. 所有键值分布在整个树中

  2. 任何关键字出现且只出现在一个节点中

  3. 搜索有可能在非叶子节点结束

  4. 在关键字全集内做一次查找,性能逼近二分查找算法

  5. 树深度会很深,因为树顶放到元素比较少导致,检索元素比较慢。

 缺点:

       业务数据的大小可能远远超过了索引数据的大小,每次为了查找对比计算,需要把数据加载到内存以及 CPU 高速缓存中时,都要把索引数据和无关的业务数据全部查出来。本来一次就可以把所有索引数据加载进来,现在却要多次才能加载完。如果所对比的节点不是所查的数据,那么这些加载进内存的业务数据就毫无用处,全部抛弃。

 B+Tree: 

  

从图中也可以看到,B+树与B树的不同在于:

  1. 所有关键字存储在叶子节点,非叶子节点不存储真正的data

  2. 为所有叶子节点增加了一个链指针

  3. 树顶可以放很多元素,树的深度比较矮,检索元素比较快。

 缺点:

       仍然有一个致命的缺陷,那就是它的索引数据与业务绑定在一块,而业务数据的大小很有可能远远超过了索引数据,这会大大减小一次 I/O 有用数据的获取,间接的增加 I/O 次数去获取有用的索引数据 

Hash:

  

特点:数组+链表

          1、查询单条数据很快,先解析出hash值,根据hash找到链表,然后找到索引最后根据索引找到数据。

  缺点:

  1. 容易hash碰撞

  2. Hash索引仅仅能满足“=”,“IN”,“<=>”查询,不能使用范围查询

  3. 联合索引中,Hash索引不能利用部分索引键查询。

  4. Hash索引无法避免数据的排序操作

  5. Hash索引任何时候都不能避免表扫描

  6. Hash索引遇到大量Hash值相等的情况后性能会下降

22、 Mysql 中 MyISAM 和 InnoDB 的区别有哪些?

  1. InnoDB支持事务,MyISAM不支持

  2. 对于InnoDB每一条SQL语言都默认封装成事务,自动提交,这样会影响速度,所以最好把多条SQL语言放在begin和commit之间,组成一个事务;

  3. InnoDB支持外键,而MyISAM不支持。对一个包含外键的InnoDB表转为MYISAM会失败;

  4. InnoDB是聚集索引,数据文件是和索引绑在一起的,必须要有主键,通过主键索引效率很高。

  5. 但是辅助索引需要两次查询,先查询到主键,然后再通过主键查询到数据。因此主键不应该过大,因为主键太大,其他索引也都会很大。

  6. 而MyISAM是非聚集索引,数据文件是分离的,索引保存的是数据文件的指针。主键索引和辅助索引是独立的。

  7. InnoDB不保存表的具体行数,执行select count(*) from table时需要全表扫描。而MyISAM用一个变量保存了整个表的行数,执行上述语句时只需要读出该变量即可,速度很快;

  8. Innodb不支持全文索引,而MyISAM支持全文索引,查询效率上MyISAM要高

23、 go向关闭的channel发送和读取数据是否报错

package main

import "fmt"

//向已关闭的通道读取数不会报错
func main1() {
	var ch = make(chan int)
	go func() {
		close(ch)
	}()
	fmt.Println(<-ch)
}

//向已关闭的通道发送数据报panic: send on closed channel
func main2() {
	var ch = make(chan int)
	go func() {
		close(ch)
	}()
	ch <- 1
}

//关闭通道向有缓存区接收数据会报错
func main3() {
	var ch = make(chan int, 10)
	go func() {
		close(ch)
	}()
	fmt.Println(<-ch)
}

//关闭通道向有缓冲区发送数据会报错panic:send on closed channel 
func main4() {
	var ch = make(chan int, 10)
	go func() {
		close(ch)
	}()
	ch <- 1
}

//关闭通道向有缓冲区循环发送数据会报错 panic: send on closed channel
func main() {
	var ch = make(chan int, 10)
	go func() {
		close(ch)
	}()
	for {
		ch <- 1
	}
}

24、Golang并发模型有几种

控制并发有三种种经典的方式,一种是通过channel通知实现并发控制 一种是WaitGroup,另外一种就是Context。

1、无缓冲通道

无缓冲的通道指的是通道的大小为0,也就是说,这种类型的通道在接收前没有能力保存任何值,它要求发送 goroutine 和接收 goroutine 同时准备好,才可以完成发送和接收操作。

从上面无缓冲的通道定义来看,发送 goroutine 和接收 gouroutine 必须是同步的,同时准备后,如果没有同时准备好的话,先执行的操作就会阻塞等待,直到另一个相对应的操作准备好为止。这种无缓冲的通道我们也称之为同步通道。

正式通过无缓冲通道来实现多 goroutine 并发控制

func main() {
    ch := make(chan instruct{})
    go func() {
        ch <- struct{}{}
    }()
    fmt.Println(<-ch)
}

当主 goroutine 运行到 <-ch 接受 channel 的值的时候,如果该 channel 中没有数据,就会一直阻塞等待,直到有值。 这样就可以简单实现并发控制

2. 通过sync包中的WaitGroup实现并发控制

在 sync 包中,提供了 WaitGroup ,它会等待它收集的所有 goroutine 任务全部完成,在主 goroutine 中 Add(delta int) 索要等待goroutine 的数量。在每一个 goroutine 完成后 Done() 表示这一个goroutine 已经完成,当所有的 goroutine 都完成后,在主 goroutine 中 WaitGroup 返回返回。

  func main() {
   var wg sync.WaitGroup
 
  // 开N个后台打印线程
  for i := 0; i < 10; i++ {
  wg.Add(1)
 
   go func() {
   fmt.Println("你好, 世界")
   wg.Done()
   }()
  }
 
  // 等待N个后台线程完成
   wg.Wait()
  }

3. 在Go 1.7 以后引进的强大的Context上下文,实现并发控制

3.1 简介

在一些简单场景下使用 channel 和 WaitGroup 已经足够了,但是当面临一些复杂多变的网络并发场景下 channel 和 WaitGroup 显得有些力不从心了。比如一个网络请求 Request,每个 Request 都需要开启一个 goroutine 做一些事情,这些 goroutine 又可能会开启其他的 goroutine,比如数据库和RPC服务。所以我们需要一种可以跟踪 goroutine 的方案,才可以达到控制他们的目的,这就是Go语言为我们提供的 Context,称之为上下文非常贴切,它就是goroutine 的上下文。它是包括一个程序的运行环境、现场和快照等。每个程序要运行时,都需要知道当前程序的运行状态,通常Go 将这些封装在一个 Context 里,再将它传给要执行的 goroutine 。context 包主要是用来处理多个 goroutine 之间共享数据,及多个 goroutine 的管理。

3.2 package context

context 包的核心是 struct Context,接口声明如下:

// A Context carries a deadline, cancelation signal, and request-scoped values
// across API boundaries. Its methods are safe for simultaneous use by multiple
// goroutines.
type Context interface {
    // Done returns a channel that is closed when this `Context` is canceled
    // or times out.
    Done() <-chan struct{}

    // Err indicates why this Context was canceled, after the Done channel
    // is closed.
    Err() error

    // Deadline returns the time when this Context will be canceled, if any.
    Deadline() (deadline time.Time, ok bool)

    // Value returns the value associated with key or nil if none.
    Value(key interface{}) interface{}
}
  • Done() 返回一个只能接受数据的channel类型,当该context关闭或者超时时间到了的时候,该channel就会有一个取消信号

  • Err() 在Done() 之后,返回context 取消的原因。

  • Deadline() 设置该context cancel的时间点

  • Value() 方法允许 Context 对象携带request作用域的数据,该数据必须是线程安全的。

Context 对象是线程安全的,你可以把一个 Context 对象传递给任意个数的 gorotuine,对它执行 取消 操作时,所有 goroutine 都会接收到取消信号。

一个 Context 不能拥有 Cancel 方法,同时我们也只能 Done channel 接收数据。
背后的原因是一致的:接收取消信号的函数和发送信号的函数通常不是一个。
一个典型的场景是:父操作为子操作操作启动 goroutine,子操作也就不能取消父操作。

3.4 context例子

当然,想要知道 Context 包是如何工作的,最好的方法是看一个例子。

func childFunc(cont context.Context, num *int) {
    ctx, _ := context.WithCancel(cont)
    for {
        select {
        case <-ctx.Done():
            fmt.Println("child Done : ", ctx.Err())
            return
        }
    }
}

func main() {
    gen := func(ctx context.Context) <-chan int {
        dst := make(chan int)
        n := 1
        go func() {
            for {
                select {
                case <-ctx.Done():
                    fmt.Println("parent Done : ", ctx.Err())
                    return // returning not to leak the goroutine
                case dst <- n:
                    n++
                    go childFunc(ctx, &n)
                }
            }
        }()
        return dst
    }

    ctx, cancel := context.WithCancel(context.Background())
    for n := range gen(ctx) {
        fmt.Println(n)
        if n >= 5 {
            break
        }
    }
    cancel()
    time.Sleep(5 * time.Second)
}

在上面的例子中,主要描述的是通过一个channel实现一个为循环次数为5的循环,
在每一个循环中产生一个goroutine,每一个goroutine中都传入context,在每个goroutine中通过传入ctx创建一个Context,并且通过select一直监控该Context的运行情况,当在父Context退出的时候,代码中并没有明显调用子ContextCancel函数,但是分析结果,子Context还是被正确合理的关闭了,这是因为,所有基于这个Context或者衍生的子Context都会收到通知,这时就可以进行清理操作了,最终释放goroutine,这就优雅的解决了goroutine启动后不可控的问题。

3.5 Context 使用原则

  • 不要把Context放在结构体中,要以参数的方式传递

  • Context作为参数的函数方法,应该把Context作为第一个参数,放在第一位。

  • 给一个函数方法传递Context的时候,不要传递nil,如果不知道传递什么,就使用context.TODO

  • ContextValue相关方法应该传递必须的数据,不要什么数据都使用这个传递

  • Context是线程安全的,可以放心的在多个goroutine中传递

25、go分布式锁有几种

1 、进程内加锁

想要得到正确的结果的话,要把对计数器(counter)的操作代码部分加上锁:
// ... 省略之前部分
var wg sync.WaitGroup
var l sync.Mutex
for i := 0; i < 1000; i++ {
	wg.Add(1)
	go func () {
		defer wg.Done()
		l.Lock()
		counter++
		l.Unlock()
	}()
}
wg.Wait()
println(counter)
// ... 省略之后部分
这样就可以稳定地得到计算结果了:
❯❯❯ go run local_lock.go
1000

2、trylock

在某些场景,我们只是希望一个任务有单一的执行者。而不像计数器场景一样,所有goroutine都执行
成功。后来的goroutine在抢锁失败后,需要放弃其流程。这时候就需要trylock了。
trylock顾名思义,尝试加锁,加锁成功执行后续流程,如果加锁失败的话也不会阻塞,而会直接返回
加锁的结果。在Go语言中我们可以用大小为1的Channel来模拟trylock:

package main
import (
"sync"
)
type Lock struct {
	c chan struct{}
}

// NewLock generate a try lock
func NewLock() Lock {
	var l Lock
	l.c = make(chan struct{}, 1)
	l.c <- struct{}{}
	return l
}

// Lock try lock, return lock result
func (l Lock) Lock() bool {
	lockResult := false
	select {
	case <-l.c:
		lockResult = true
	default:
	}
	return lockResult
}

// Unlock , Unlock the try lock
func (l Lock) Unlock() {
	l.c <- struct{}{}
}

因为我们的逻辑限定每个goroutine只有成功执行了 Lock  才会继续执行后续逻辑,因此
在 Unlock  时可以保证Lock结构体中的channel一定是空,从而不会阻塞,也不会失败。上面的代
码使用了大小为1的channel来模拟trylock,理论上还可以使用标准库中的CAS来实现相同的功能且
成本更低,读者可以自行尝试。
在单机系统中,trylock并不是一个好选择。因为大量的goroutine抢锁可能会导致CPU无意义的资源
浪费。有一个专有名词用来描述这种抢锁的场景:活锁。
活锁指的是程序看起来在正常执行,但实际上CPU周期被浪费在抢锁,而非执行任务上,从而程序整体
的执行效率低下。活锁的问题定位起来要麻烦很多。所以在单机场景下,不建议使用这种锁。

3、基于Redis的setnx

在分布式场景下,我们也需要这种“抢占”的逻辑,这时候怎么办呢?我们可以使用Redis提供
的 setnx  命令:


package main

import (
"fmt"
"sync"
"time"

"github.com/go-redis/redis"
)

func incr() {
	client := redis.NewClient(&redis.Options{
		Addr:     "localhost:6379",
		Password: "", // no password set
		DB:       0,  // use default DB
	})

	var lockKey = "counter_lock"
	var counterKey = "counter"
	// lock
	resp := client.SetNX(lockKey, 1, time.Second*5)
	lockSuccess, err := resp.Result()

	if err != nil || !lockSuccess {
		fmt.Println(err, "lock result: ", lockSuccess)
		return
	}

	// counter ++
	getResp := client.Get(counterKey)
	cntValue, err := getResp.Int64()
	if err == nil {
		cntValue++
		resp := client.Set(counterKey, cntValue, 0)
		_, err := resp.Result()
		if err != nil {
			// log err
			println("set value error!")
		}
	}
	println("current counter is ", cntValue)

	delResp := client.Del(lockKey)
	unlockSuccess, err := delResp.Result()
	if err == nil && unlockSuccess > 0 {
		println("unlock success!")
	} else {
		println("unlock failed", err)
	}
}
func main() {
	var wg sync.WaitGroup
	for i := 0; i < 10; i++ {
		wg.Add(1)
		go func() {
			defer wg.Done()
			incr()
		}()
	}
	wg.Wait()
}
看看运行结果:
1.  ❯❯❯ go run redis_setnx.go
2.  <nil> lock result: false
3.  <nil> lock result: false
4.  <nil> lock result: false
5.  <nil> lock result: false
6.  <nil> lock result: false
7.  <nil> lock result: false
8.  <nil> lock result: false
9.  <nil> lock result: false
10.  <nil> lock result: false
11.  current counter is 2028
12.  unlock success!

通过代码和执行结果可以看到,我们远程调用 setnx  实际上和单机的trylock非常相似,如果获取
锁失败,那么相关的任务逻辑就不应该继续向前执行。
setnx  很适合在高并发场景下,用来争抢一些“唯一”的资源。比如交易撮合系统中卖家发起订单,
而多个买家会对其进行并发争抢。这种场景我们没有办法依赖具体的时间来判断先后,因为不管是用户
设备的时间,还是分布式场景下的各台机器的时间,都是没有办法在合并后保证正确的时序的。哪怕是
我们同一个机房的集群,不同的机器的系统时间可能也会有细微的差别。
所以,我们需要依赖于这些请求到达Redis节点的顺序来做正确的抢锁操作。如果用户的网络环境比较
差,那也只能自求多福了。

4、基于ZooKeeper

package main

import (
"time"

"github.com/samuel/go-zookeeper/zk"
)

func main() {
	c, _, err := zk.Connect([]string{"127.0.0.1"}, time.Second) //*10)
	if err != nil {
		panic(err)
	}
	l := zk.NewLock(c, "/lock", zk.WorldACL(zk.PermAll))
	err = l.Lock()
	if err != nil {
		panic(err)
	}
	println("lock succ, do your business logic")

	time.Sleep(time.Second * 10)

	// do some thing
	l.Unlock()
	println("unlock succ, finish business logic")
}

img img img

既有适合小白学习的零基础资料,也有适合3年以上经验的小伙伴深入学习提升的进阶课程,涵盖了95%以上Go语言开发知识点,真正体系化!

由于文件比较多,这里只是将部分目录截图出来,全套包含大厂面经、学习笔记、源码讲义、实战项目、大纲路线、讲解视频,并且后续会持续更新

如果你需要这些资料,可以戳这里获取