周期信号的傅里叶级数表示(离散时间),2024年最新34岁程序员年薪50w

337 阅读9分钟

一)成谐波关系的复指数信号的线性组合

1、复指数是周期的,周期为N。而且,由下式
在这里插入图片描述
给出的所有离散时间复指数信号的集合都是周期的,且周期为N。上式中的全部信号,其基波频率都是2π/N的倍数,因此他们之间成谐波关系的。

上式给出的信号集合中只有N个信号是不同的,具体而言:
在这里插入图片描述
其一般关系为:
在这里插入图片描述
当k变化一个N的整数倍时,就得到一个完全一样的序列。

2、利用
在这里插入图片描述
中的序列Øk[n]的线性组合来表示更为一般的周期序列,这样一个线性组合就有如下形式:
在这里插入图片描述
序列Øk[n]只在k的N个相继值得区间上是不同的,因此上式的求和仅仅需要包括N项。于是,上式的求和是当k在N个相继整数的区间上变化时,从任意k值开始对k进行的。为了指出这一点,特将求和限表示成k=,即
在这里插入图片描述
上式称为离散时间傅里叶级数,而系数ak则称为傅里叶级数系数

二)周期信号傅里叶级数表示的确定

1、离散时间傅里叶级数对的推导:
教材P134

2、离散时间傅里叶级数对:
在这里插入图片描述
其中式(3.94)称为综合公式,式(3.95)称为分析公式。离散时间傅里叶级数系数ak称为x[n]的频谱系数。这些系数说明x[n]可分解成N个成谐波关系的复指数信号之和。

3、若k取任何一组N个相连的整数,则有
在这里插入图片描述
这就是说,假设考虑的k值多于N个,那么ak的值必定以N为周期,周期性重复。

即离散时间傅里叶级数系数是以周期N重复的

4、离散时间博里叶级数另一种表达式:

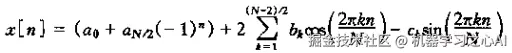
1)x[N]是一个周期为N的实周期信号,其傅里叶级数系数为ak,设ak用笛卡尔坐标表示为
在这里插入图片描述其中bk和ck都是实数

若N为奇数,则有
在这里插入图片描述
若为偶数,则有
在这里插入图片描述
2)若ak的极坐标为AkejΘk,那么x[n]的傅里叶级数表示也能写成如下形式

若N为奇数,则有
在这里插入图片描述
若N为偶数,则有
在这里插入图片描述
5、与连续时间情况相比,离散时间不存在任何收敛问题,也没有吉伯斯现象。

二、离散时间博里叶级数性质

1、离散时间博里叶级数性质
在这里插入图片描述

2、若x[n]是一个周期信号,周期为N,其博里叶级数系数记为ak,那么就写成
在这里插入图片描述

一)相乘

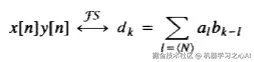
在离散时间情况下,假设
在这里插入图片描述
x(t)、y(t)都是周期的,且周期为N,那么乘积x[n]y[n]也是一个周期为N的周期序列。
其傅里叶系数dk为
在这里插入图片描述
上面这种类型的运算称为两个周期的傅里叶系数序列之间的周期卷积,而求和变量从-∞到∞这种卷积和的形式就称为非周期卷积

二)一次差分(对应于连续时间中的微分性质)


在这里插入图片描述
则对应于x[n]一次差分的傅里叶系数可表示成
在这里插入图片描述
三)离散时间周期信号的帕斯瓦尔定理

1、离散时间周期信号的帕斯瓦尔定理是
在这里插入图片描述
其中ak是x[n]的傅里叶级数系数,N是周期。
上式左边是x[n]在一个周期内的平均功率而|ak|2是x[n]的第k此谐波的平均功率。

帕斯瓦尔定理表明:一个周期信号的平均功率等于它的所有谐波分量的平均功率之和。

当然,在离散时间中只有N个不同的谐波分量。同时,由于ak也是周期的,周期为N,所以上式右边的求和可以在任何k的N个相继值上进行。

三、傅里叶级数与线性时不变系统

1、一个线性时不变系统对一组复指数信号的线性组合的响应具有特别简单的形式。具体而言,

1)在连续时间情况下,若x(t)=est是一个连续时间线性时不变系统的输入,那么其输出就为y(t)=H(s)est,其中H(s)为
在这里插入图片描述
其中h(τ)是该线性时不变系统的单位冲激响应。

2)在离散时间情况下,若x[n]=zn是一个离散时间线性时不变系统的输入,那么其输出就为y[n]=H[z]zn,其中H(z)为
在这里插入图片描述
其中h[k]是该线性时不变系统的单位脉冲响应。

2、当s或z为一般复数是,H(s)和H(z)就称为该系统的系统函数

1)对于连续时间信号与系统而言 现在考虑是的RE{s}=0这一种特殊情况,这样s=jw,est就具有ejwt的形式。这个输入是在频率w上的一个复指数。具有s=jw的系统函数[ 即H(jw)被看成w的函数 ]就称为该系统的频率响应,它由下式给出:
在这里插入图片描述
2)对于离散时间信号与系统而言 现在考虑的是|z|=1的z值上,这样z=ejw,zn就具有ejwn的形式。对z局限在z=ejw形式的系统函数H(z)称为该系统的频率响应,它由下式给出:
在这里插入图片描述
3、利用系统的频率响应来表示一个线性时不变系统,对ejwt(连续时间)或ejwn(离散时间)这种形式的复指数信号的响应是特别简单的;而且,由于线性时不变系统具有叠加性质,因此一个线性时不变系统对复指数信号线性组合的响应也同样是简单和容易表示的。

4、对于连续时间情况。令x(t)为一个周期信号,其傅里叶级数表示为
在这里插入图片描述
假设将信号加入单位冲激响应为h(t)的线性时不变系统作为它的输入,那么其输出是
在这里插入图片描述于是y(t)是周期的,与x(t)有相同的基波频率。

若{ak}是输入x(t)的一组傅里叶级数系数,那么{ak H(jkw0)}就是输出y(t)的一组傅里叶级数系数。
这就是说,线性时不变系统的作用就是通过乘以相应频率相应点上的频率响应值来逐个改变输入输入信号的每一个傅里叶系数。

收集整理了一份《2024年最新物联网嵌入式全套学习资料》,初衷也很简单,就是希望能够帮助到想自学提升的朋友。 img img

如果你需要这些资料,可以戳这里获取

一个人可以走的很快,但一群人才能走的更远!不论你是正从事IT行业的老鸟或是对IT行业感兴趣的新人

都欢迎加入我们的的圈子(技术交流、学习资源、职场吐槽、大厂内推、面试辅导),让我们一起学习成长!