皮尔森相关系数(Pearson correlation coefficient),阿里+头条+腾讯大厂物联网嵌入式开发笔试真题

216 阅读3分钟

概述

皮尔森相关系数也称皮尔森积矩相关系数(Pearson product-moment correlation coefficient) ,是一种线性相关系数,是最常用的一种相关系数。记为r,用来反映两个变量X和Y的线性相关程度,r值介于-1到1之间,绝对值越大表明相关性越强。


定义

总体相关系数ρ定义为两个变量X、Y之间的协方差和两者标准差乘积的比值,如下:
这里写图片描述
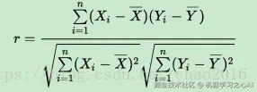
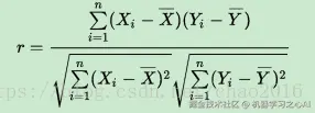
估算样本的协方差和标准差,可得到样本相关系数(即样本皮尔森相关系数),常用r表示:
这里写图片描述
r还可以由(Xi,Yi)样本点的标准分数均值估计得到与上式等价的表达式:
这里写图片描述
其中这里写图片描述为Xi样本的标准分数、样本均值和样本标准差,n为样本数量。


物理意义

皮尔森相关系数反映了两个变量的线性相关性的强弱程度,r的绝对值越大说明相关性越强。

  • 当r>0时,表明两个变量正相关,即一个变量值越大则另一个变量值也会越大;
  • 当r<0时,表明两个变量负相关,即一个变量值越大则另一个变量值反而会越小;
  • 当r=0时,表明两个变量不是线性相关的(注意只是非线性相关),但是可能存在其他方式的相关性(比如曲线方式);
  • 当r=1和-1时,意味着两个变量X和Y可以很好的由直线方程来描述,所有样本点都很好的落在一条直线上。

皮尔森距离

通过皮尔森系数定义:
这里写图片描述
皮尔森系数范围为[-1,1],因此皮尔森距离范围为[0,2]。


机器学习中的应用

皮尔森(pearson)相关系数、斯皮尔曼(spearman)相关系数和肯德尔(kendall)相关系数并称为统计学三大相关系数。其中,spearman和kendall属于等级相关系数亦称为“秩相关系数”,是反映等级相关程度的统计分析指标。pearson是用来反应俩变量之间相似程度的统计量,在机器学习中可以用来计算特征与类别间的相似度,即可判断所提取到的特征和类别是正相关、负相关还是没有相关程度。

Pearson相关系数的计算方法有三种形式,如下:
这里写图片描述

皮尔森相关系数是衡量线性关联性的程度,p的一个几何解释是其代表两个变量的取值根据均值集中后构成的向量之间夹角的余弦。


代码实现

python实现公式3的代码:

def pearson(vector1, vector2):
    n = len(vector1)
    #simple sums
    sum1 = sum(float(vector1[i]) for i in range(n))
    sum2 = sum(float(vector2[i]) for i in range(n))
    #sum up the squares
    sum1_pow = sum([pow(v, 2.0) for v in vector1])
    sum2_pow = sum([pow(v, 2.0) for v in vector2])
    #sum up the products
    p_sum = sum([vector1[i]*vector2[i] for i in range(n)])
    #分子num,分母den
    num = p_sum - (sum1*sum2/n)
    den = math.sqrt((sum1_pow-pow(sum1, 2)/n)*(sum2_pow-pow(sum2, 2)/n))
    if den == 0:
        return 0.0
    return num/den

python实现公式1的代码:

收集整理了一份《2024年最新物联网嵌入式全套学习资料》,初衷也很简单,就是希望能够帮助到想自学提升的朋友。 img img

如果你需要这些资料,可以戳这里获取

一个人可以走的很快,但一群人才能走的更远!不论你是正从事IT行业的老鸟或是对IT行业感兴趣的新人

都欢迎加入我们的的圈子(技术交流、学习资源、职场吐槽、大厂内推、面试辅导),让我们一起学习成长!