开关电源之磁隔离反馈_uc1901,四年物联网嵌入式开发面试遇到的问题整理

183 阅读9分钟

在这里插入图片描述
采用光耦隔离的反激应用电路如下,常采用TL431(三端稳压器)+PC817(光耦)。TL431的作用等同于带有基准的运放。
,
光耦隔离有如下优点:

  • 电路简单,器件便宜
  • 灵敏度高,传输效率高
  • 抗干扰能力强
  • 可传输直流信号

但也有如下缺点:

  • 随着时间的增加,耦合效果变差
  • 抗辐射能力差

1.2 磁隔离

磁隔离是采用变压器进行隔离。当然磁隔离除了变压器,还需要误差放大器,产生信号变化的电路,一般是载波信号。因为是变压器传递驱动信号,而变压器的原理是变化的电压产生磁场,传递能量。
磁隔离实现方式一般有两种,一种直接用磁隔离反馈芯片,目前用的不多,TI家也只有一种UCx901系列,另一种用分立器件搭建。

2.磁隔离的分类

2.1 隔离反馈芯片UCx901

UC1901内部电路如下:
在这里插入图片描述
UC1901简化应用电路如下图所示。
在这里插入图片描述
可以看到UC1901内部结构,主要包括误差放大器和参考电压电路,振荡电路,乘法器和反相器。
drivA/B单边输出与补偿端输出幅值之比为4:1,下面对此进行简要分析。
在这里插入图片描述
1)Q4,Q5,R4,R5组成差分电路,按照单端来计算输出输入之比,为beta*Rc/rbe.Rc=R4,beta是BJT的电流放大倍数。差分输入为RC形成的载波幅值。单端差模输出为
在这里插入图片描述
2)误差放大器的输出控制Q1,Q2.Q3的作用是调节补偿/Verror的增益输出,受Vin的控制,Q3工作在放大状态,作用可能是影响静态工作点。Q1的输出即comp/误差放大器输出增益为
在这里插入图片描述
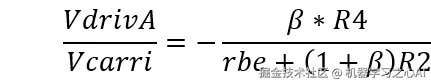
3) drivA/B与comp关系
在这里插入图片描述
从上可以看出,comp与drivea,b的符号相同,有个4:1的倍数关系。

4)误差放大器输入输出经过反相器后关系如下
在这里插入图片描述
输入越大,输出越大,驱动输出越大。所以起关键作用的正是这反相器。
综上,驱动输出与反馈电压成正比,反馈电压越大,输出越大,与振荡器的频率相等。
此类芯片与pwm控制芯片都有各自的工作频率和环路补偿,搭配不好环路就会进行振荡。之前在使用此类芯片时,输出一直振荡,怎么调都调不好,讲真到目前为止还没完全弄清楚此芯片,TI的文献也都特别少,无奈之下,只能尝试分立器件搭建的元件。

2.2 分立器件电路

2.2.1 分类

分类主要有自激起动、电感电流取样、误差信号变压器耦合反馈三种,分别采用自激变换器、耦合电感采样、误差放大器将DC/DC变换器的次级信号传送到初级。
1. 自激起动磁隔离方案
在这里插入图片描述
T2,N1,R4,D3,C3,R3构成了一个贮能式自激变换器。这种方案的最大优点是变换器输出电压的误差信号可直接控制PwM。缺点是低温工作特性差。
2. 电感电流取样隔离
在这里插入图片描述
主要思想是通过在输出电感增加耦合线圈感应电感电流的变化率,实现对输出误差信号的间接采样,耦合电感采样的缺点是负载调整率差。
3. 误差信号变压器耦合反馈
相比之下,误差信号变压器耦合反馈实现对输出电压误差信号的直接采样和放大。闭环系统的单位带宽增益积大,瞬态响应快,易于提高系统的电压调整率和负载调整率,所以多采用此类方法实现磁隔离。下面是误差信号变压器耦合反馈工作原理框图。
在这里插入图片描述
误差信号依次通过调制电路、隔离变压器、检波解调电路输出反馈控制信号到控制器中。

2.2.2 误差信号变压器耦合反馈

2.2.2.1 误差信号调制方式分类

按照误差信号调制方式的不同,该方案可以分为误差调幅(EAM)、误差调频(EFM)、和误差调宽(EwM)三种,调幅稳定性高,使用的最多。
1. 误差调频(EFM)
原理:将误差经采样放大后,对压控振荡器VcO的频率进行线性控制。
缺点:Vco频率随误差放大器的输出变化而变化。存在一个与开关频率不一致的频率,所以不利于系统的稳定。
在这里插入图片描述
2. 误差调宽(EwM)
原理:将误差信号经采样放大后去控制一个脉宽调制器,将脉冲经过变压器传递到副边。
缺点:频率固定,变压器的励磁电流较大,加重系统自身的工作电流,不利于变换器工作效率的提高。
在这里插入图片描述
3. 误差调幅(EAM)
原理:误差信号通过一个乘法器对定频脉冲进行幅度调制,被调制的脉
冲信号通过隔离变压器Tl传递到原边。
特点:频率可调。传递的是高频信号的幅度,所以它的励磁电流小,减小了系统本身的工作电流。有利于工作效率的提高。

在这里插入图片描述
这样看来UC1901内部应该使用的是误差调幅原理。

3.磁隔离电路的设计

3.1 具体电路原理分析

下面对某一种调幅具体电路进行分析。
在这里插入图片描述

  • TL431部分与光耦的里的TL431的作用一样,实现误差的放大。
  • 三极管部分主要用于产生与开关频率相同的驱动信号
  • 变压器传递驱动信号
  • 副边二极管和电容用于整流得到直流信号。
    可以看到,相比于光耦隔离,磁隔离主要是需要外加交流的驱动信号,这个驱动信号的来源是重点。
    上面电路工作过程主要分为以下几步:
    1)t0-t1时刻,有驱动信号时,三极管导通。变压器励磁电流增加,上升斜率如下公式。
    在这里插入图片描述
    2)t1-t2时刻,无驱动信号时,三极管关断,励磁电流增加速率减小,副边二极管截止,C2放电。
    3)t2-t5时,变压器磁复位,励磁电感与Cv谐振,励磁电流下降。谐振频率为
    在这里插入图片描述
    4)t5时刻,去磁完成,开启新一轮工作。
    电路的工作波形如下:
    在这里插入图片描述
    若能正常磁复位,需要满足
    在这里插入图片描述

3.2 环路补偿设计

根据下面电路进行参数设计说明。
在这里插入图片描述
1)传递函数
输出电压反馈到控制端满足
在这里插入图片描述

收集整理了一份《2024年最新物联网嵌入式全套学习资料》,初衷也很简单,就是希望能够帮助到想自学提升的朋友。 img img

如果你需要这些资料,可以戳这里获取

一个人可以走的很快,但一群人才能走的更远!不论你是正从事IT行业的老鸟或是对IT行业感兴趣的新人

都欢迎加入我们的的圈子(技术交流、学习资源、职场吐槽、大厂内推、面试辅导),让我们一起学习成长!