SVPWM分析、各个扇区详细计算以及Matlab仿真_svpwm扇区判断,2024年最新统统给你解决

1,429 阅读13分钟

借此试图对SVPWM各个扇区进行详细的计算分析,在计算分析过程中发现了一些比较有意思的问题,以此成文作为记录,方便大家讨论学习,本文适合一些有基础的同学阅读。

两电平逆变器拓扑

最常见的两电平拓扑如下图:
在这里插入图片描述
//以下为之前的更改,之前没有加入矢量
在这里插入图片描述
在这里插入图片描述

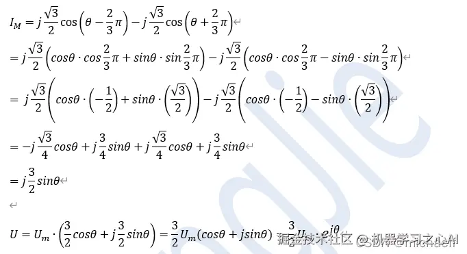
可见U是一个幅值为相电压峰值1.5倍的旋转矢量

空间矢量

ABC三个桥臂分别有0,1两种状态,0是下管开通上管关断,1是上管开通下管关断。三个桥臂的两种状态总共有八个组合,产生的结果如下:
在这里插入图片描述
这八个组合对应八个矢量,对应的电压关系如下:
在这里插入图片描述
其中有两个零矢量,和六个非零矢量。整个空间也被划分成了如下图所示的六个扇区。
在这里插入图片描述
第一个问题:
这六个矢量是怎么排序的?或者说为什么是书本中提到的462315这么个顺序?如果是其他顺序会有什么问题?
这六个矢量控制的是功率半导体-Mosfet或者IGBT;这些管子在开关和导通过程中会有热量产生,也就是损耗。为了最大限度的降低损耗,每个扇区(包含扇区内部)的开关切换,都需要保证只改动一个桥臂的动作,这样发热量最小,功率密度才能做更高。
在这里插入图片描述
如上图,100可以变换为110或者101,这是电机正反转的区别,我们假定逆时针为电机正传,100切换到了110–010—011—001—101—100,形成一个周期。
100—101—001—011—010—110—100,这个周期是电机以另外一个方向运行。

扇区判断

Uref这个矢量按照我们约定的方向在圆内依次运行。在每个扇区内Uref都由两个相邻的矢量根据不同的时间合成矢量,因此第一步我们需要知道Uref在哪个扇区。
在这里插入图片描述
扇区判断的原理是根据矢量的角位置确定矢量在哪个区间,下表是详细的计算过程
在这里插入图片描述
在这里插入图片描述
根据以上计算结论,我们发现可以以下面三个数值来判断扇区,
令:

// word编辑的公式,复制过来格式变了,看下面图片
U\_1= U\_β
U\_2=  √3/2 U\_α-1/2 U\_β
U\_3= -√3/2 U\_α-1/2 U\_β

在这里插入图片描述
在这里插入图片描述

扇区内如何发波?

知道了扇区的位置,接下来就要计算先矢量作用时间了。在计算时间之前,我们来讨论下另外一个有意思的话题:矢量怎么走?
五段式的走法更为复杂,我们先讨论七段式,通过七段式引出问题,然后详细讨论五段式。
七段式SVPWM矢量如何从起点到达终点?
以第一扇区为例,如下图所示,矢量要从0走到Uref,可以有两条路径,可以先沿着U4方向走,然后沿着U6方向走,再沿着U4方向走,最后到达Uref,如图中红色路径。注意发波要对称,不能走完了U4再走U6,那样谐波比较大。也可以按照图中蓝色的路线,先沿着U6走,之后沿着U4,最后把U6走完。
在这里插入图片描述
其实两条路径都可以到达罗马,唯一的区别是零矢量的插入方式不同。红色路径是4-6-4,因为还是为了每次只切换一个桥臂的开关,零矢量的插入方式是0-4-6-7-6-4-0(7段式),或者是4-6-7-6-4(五段式)。
我们把其他扇区都加进来,会得到下图这么一个总体的结果。
在这里插入图片描述
如果考虑软件的计算方便,每次发波都先发000矢量,中间插入111矢量,那么就要按照图中红色曲线发波,如下图。
这样第一扇区要先发U4,矢量走到第二扇区后,不能先发U6,要先发距离000更近的矢量U2,到第三扇区后,还是先发U2。总之,1(001),2(010),4(100)距离零矢量(000)更近,要作为每个扇区的首发。
在这里插入图片描述
当然,也可以选择3(011),5(101),6(110)作为首发,那么在7段式的中间需要插入的就是000矢量。
在这里插入图片描述
//错误
7段式SVPWM,由于在一个开关周期内,一个开关做了两次动作,带来的缺点是功率器件发热量较大,但是优点是谐波含量低,发波对称,没有五段式选择上的烦恼。
//
*
更正:
无论7段式SVPWM还是五段式SVPWM,在一个开关周期内,一个开关都只做一次动作。但是由于七段式在一个周期内比五段式多插入了一个零矢量,导致电流频率是开关频率的两倍。
同时七段式的开关损耗比五段式多了1/3。
七段式和五段式的电流波形如下:
七段式
在这里插入图片描述

五段式SVPWM,又被称为DPWM。由于其在一个开关周期内只插入了一个零矢量,是不连续的SVPWM。而在不同扇区内对零矢量的不同选择,导致了DPWM有很多个变种,每个变种对开关管的损耗、相电压的谐波都会造成不同的结果。

与七段式SVPWM类似,DPWM也有最基本的两条路径,如下图所示:4-6-7-6-4或者是6-4-0-4-6;

如果我们在六个扇区内都选择插入000矢量,那么六个扇区内的矢量分别是6-4-0-4-6,6-2-0-2-6,3-2-0-2-3,3-1-0-1-3,5-1-0-1-5,5-4-0-4-5,如下图蓝色曲线;

如果我们在六个扇区内都选择插入111矢量,那么六个扇区内的矢量分别是4-6-7-6-4,2-6-7-6-2,2-3-7-3-2,1-3-7-3-1,1-5-7-5-1,4-5-7-5-4,如下图红色曲线;这就产生了两种DPWM。

在这里插入图片描述
这时再一想,这两种方式好像都不好,为什么?因为在六个扇区内,所有的零矢量都是000或者111,也就是说每次发波中间都是只开通下管或者只开通上管,IGBT的散热很不均匀。

那么有没有办法可以解决这个问题?比如这个扇区插入000,下一个扇区插入111,这样在两个相邻的扇区,上管IGBT和下管IGBT轮流导通,可以解决IGBT发热不均匀的问题。

可以在135扇区插入111矢量,在246扇区插入000矢量;

也可以在246扇区插入111矢量,在135扇区插入000矢量。

现在DPWM有四种了。

在这里插入图片描述
这种可以让电机在60°的角度内,只开上管或者下管。那么能不能再分的细一些,让谐波含量更低?比如一个扇区内,一半时间插入000,另外一半时间插入111?这个思路好像打开了一扇大门,从此DPWM被玩出了花。

可以在第一扇区先插入000矢量,再插入111矢量;在第二扇区再先插入000矢量,再插入111矢量,其他扇区以此类推,如下图:
在这里插入图片描述
也可以在第一扇区先插入111矢量,再插入000矢量;其他扇区依次类推,如下图:
在这里插入图片描述
还可以以U4,U2,U1等基本矢量的周围60°插入000矢量,在U6,U5,U3基本矢量的周围60°插入111矢量,如下图:
在这里插入图片描述
还可以以U4,U2,U1等基本矢量的周围60°插入111矢量,在U6,U5,U3基本矢量的周围60°插入000矢量,如下图:
图8
如果关注英飞凌官网上IGBT的损耗分析软件,可以看到DPWM有六种:
在这里插入图片描述
其中:
DPWMMIN对应图1;
DPWMMAX对应图2;
DPWM0对应图4;
DPWM1对应图8;
DPWM2对应图3;
DPWM3对应图7;
图7和图8也就是DPWM1和DPWM3在一些外文文献里被称为60°PWM;

本文提到的图5,图6两种方法在实际应用中不多,因为软件工作量太大,效果与DPWM1/3差不多。

其他还有一些DPWM,比如三次谐波插入法(THIPWM),平顶式SVPWM,半频式SVPWM,FFCSVPWM,GDPWM,等等等等。
发波方式实在是太多了,我们熟练掌握其中常用的一两种感觉就可以了。

矢量作用时间计算

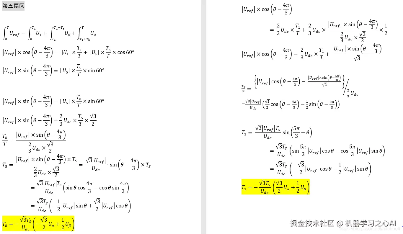
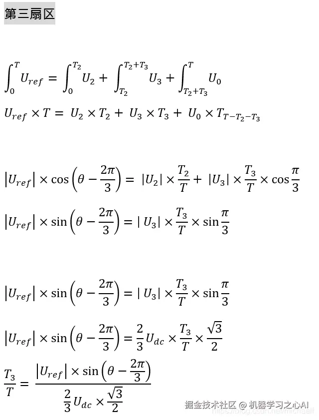
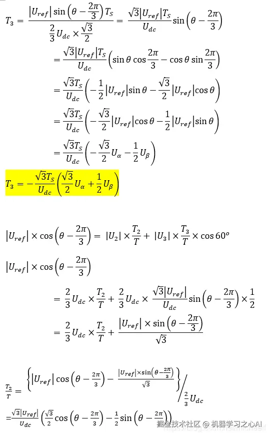
只对第一扇区的矢量作用时间做详细说明,其他扇区贴出计算过程,不做详细说明。
在这里插入图片描述
在这里插入图片描述
在这里插入图片描述
在这里插入图片描述
在这里插入图片描述
在这里插入图片描述
在这里插入图片描述
在这里插入图片描述
在这里插入图片描述
在这里插入图片描述
在这里插入图片描述
在这里插入图片描述
在这里插入图片描述
在这里插入图片描述
在这里插入图片描述

收集整理了一份《2024年最新物联网嵌入式全套学习资料》,初衷也很简单,就是希望能够帮助到想自学提升的朋友。 img img

如果你需要这些资料,可以戳这里获取

一个人可以走的很快,但一群人才能走的更远!不论你是正从事IT行业的老鸟或是对IT行业感兴趣的新人

都欢迎加入我们的的圈子(技术交流、学习资源、职场吐槽、大厂内推、面试辅导),让我们一起学习成长!