【高数定积分求解旋转体体积】 —— (上)高等数学 定积分 柱壳法 学习技巧_同济大学高等数学柱壳法

393 阅读3分钟

目录

Shell method

Setting up the Integral

例题

Example 1:

Example 2:

Example 3:

Example 4:

Example 5 :

Example 6:

Practice:

📝Summary:


Computing volumes for solids of revolution using cylindrical shells(利用柱壳法计算旋转体体积):

Shell method

柱壳法对于旋转固体体积的计算公式如下:

Setting up the Integral

• Keypoints:

  1. When using cylindrical shells, you integrate with respect to the variable that is perpendicular to the axis of rotation.(使用柱壳法时,可以相对于垂直于旋转轴的变量进行积分)

  2. The integral can be set up as 2π ∫(a to b) r(x) h(x) dx or 2π ∫(c to d) r(y) h(y) dy , depending on the orientation.


例题

Example 1:

Use the shell method to find the volume of the solid generated by revolving the shaded region about the y-axis.

Limit is 0<x<pi


Example 2:

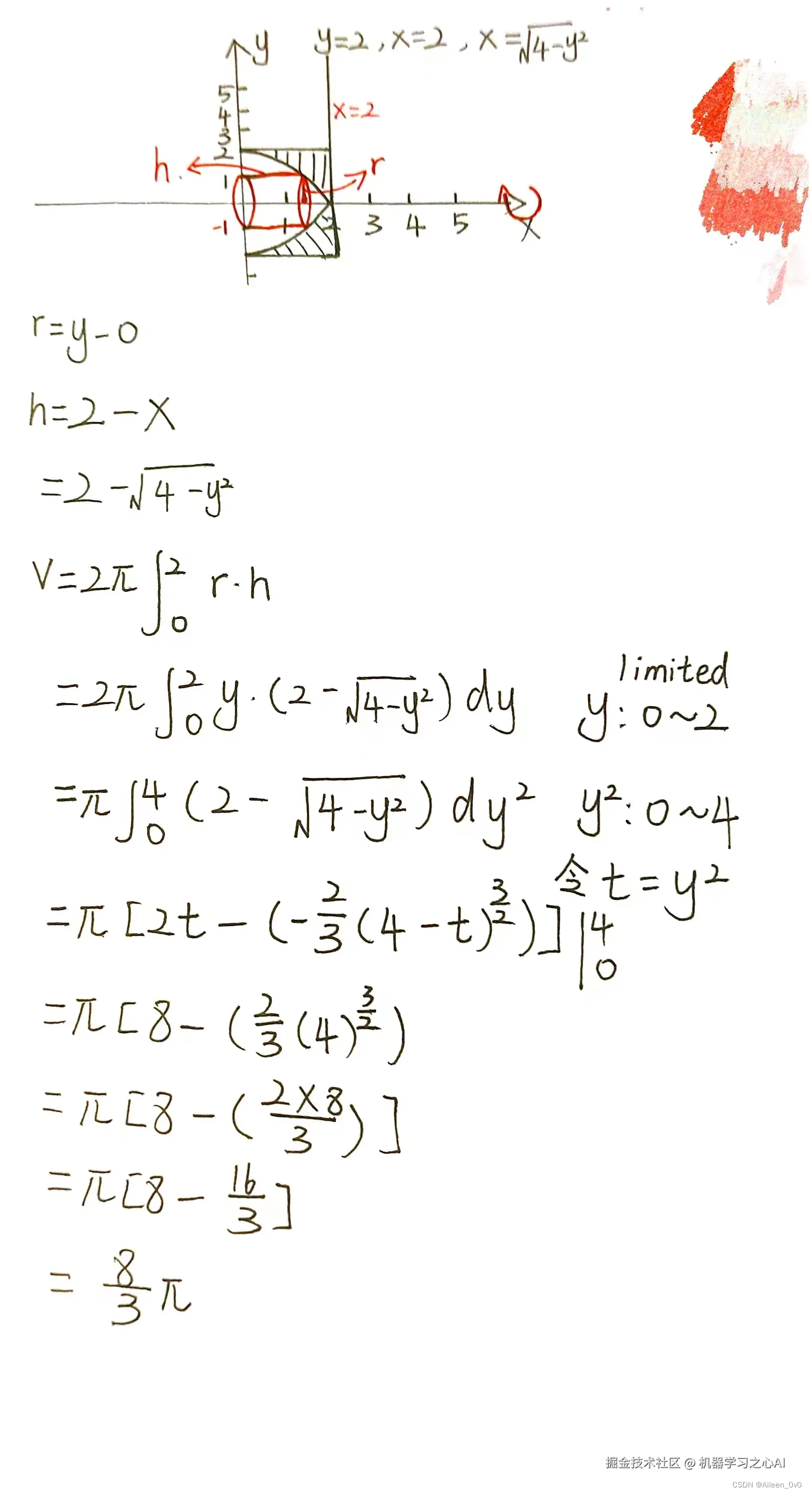
Use the shell method to find the volume of the solid generated by revolving the shaded region about the x-axis.


Example 3:

Use the shell method to find the volume of the solid generated by revolving the region bounded by the given curves and lines about the y-axis.

Example 4:

Use the shell method to find the volume of the solid generated by revolving the region bounded by the given curves and lines about the y-axis. You must include a clearly labeled sketch of the region.


img img

网上学习资料一大堆,但如果学到的知识不成体系,遇到问题时只是浅尝辄止,不再深入研究,那么很难做到真正的技术提升。

需要这份系统化的资料的朋友,可以戳这里获取

一个人可以走的很快,但一群人才能走的更远!不论你是正从事IT行业的老鸟或是对IT行业感兴趣的新人,都欢迎加入我们的的圈子(技术交流、学习资源、职场吐槽、大厂内推、面试辅导),让我们一起学习成长!