树中的特点与二叉树遍历

183 阅读4分钟

社~

一、首先咱得了解二叉树的结构,和前序/中序/后序遍历分别是什么哟 Niki同学

1:什么是根和左右孩子:二叉树的每个节点都可以作为根,每个根下面的叫左右孩子,也可以没有孩子

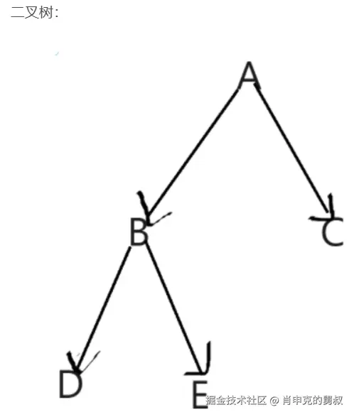
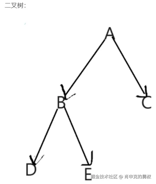
实际使用中会如下图A是根、左孩子是B,右孩子是C;C是根、没有左右孩子,B是根、左孩子是D,右孩子是E

2 前序/中序和后序遍历分别是什么:

前序遍历:先访问再访问左孩子然后访问右孩子,简称根左右的访问顺序叫前序遍历

中序遍历:先访问左孩子再访问然后访问右孩子,简称左根右的访问顺序叫中序遍历

后序遍历:先访问左孩子再访问右孩子然后访问,简称左右根的访问顺序叫后序遍历

如下图前序遍历为:A, B, D, E, C

如下图中序遍历为:D, B, E, A, C

如下图后序遍历为:D, E, B, C, A

二、理解前中序的意义

如下图

从前序遍历可知根节点为 A,我们在中序遍历中找到A。在 A左半边的值在图中也恰好在左半 边,右半边的值也恰好在图中右边 。所以按这个规律画图即可

我们来举个栗子

1 已经知道在二叉树中:

前序序列: E,H,B,C,F,A,D,G

中序序列: B,H,F,C,A,E,D, G

求后序遍历:

2 根据上述结论开始解题

第一步:从前序遍历中找到第一个根节点(E)

第二步: 从前序遍历中找到第二个根节点(H)

第三步: 从前序遍历中找到第三个根节点(B),但由图可知B已经结束所以直接跳过

第四步: 从前序遍历中找到第四个根节点(C)

第五 步:由图可知F,A已经结束,所以直接跳过

第六步: 从前序遍历中找到第七个根节点(D)

后续遍历如图应为:B, F, A, C, H, G, D, E

三、什么是完全二叉树以及层序遍历

完全二叉树:在二叉树中,如果除了最后一层外,其它层的节点数都达到最大值,并且最后一层的节点都靠左排列,那么这棵二叉树就是完全二叉树。完全二叉树在实际应用中有着广泛的应用,因此判断一棵二叉树是否为完全二叉树是一个常见的问题。

完全二叉树是一种特殊的二叉树,它满足以下两个条件:

每一层(除了最后一层)都被严格地填充了节点。
最后一层的节点都尽可能地靠左对齐

下面这个就是完全二叉树:

但这个就不属于完全二叉树:(应该优先靠左)


知道了什么是完全二叉树,接下来再看看层序遍历(这就很简单了Niki同学):

先看定义:层序遍历以树的根节点开始,按照从上到下、从左到右的顺序逐层遍历树中的节点。这意味着在遍历当前层的节点之前,需要先遍历完上一层的节点。

下面这是一个普通的二叉树(当然也是上面讲的完全二叉树)

所以有道题人家给了是完全二叉树,又知道它的层序遍历序列,所以就可以直接画出那棵二叉树,再根据上面讲的中序遍历,算出中序序列

四、关于树中的一些知识点

树节点的度数即为该节点 孩子的个数。

树的度指其中树中所有节点的度的最大值。

树的深度 = 树的层数

在二叉树中, 如果叶子节点(也就是度为0的节点)个数为N,度数为2的节点数为M,则N=M+1

比如,上面这个树中1号结点的度就为3,因为他的孩子就是2、3、4;再如2号结点的度就为2,他的孩子是5、6;所以对于整个树来说,树的度就是3,因为找不到比1号结点度更大的结点了。


还有好几个很重要的公式:

1.一棵树的度为n的树中 总结点数=度为n的结点数+度为n-1的结点数+···+度为1的结点数+度为0的结点数。

2.树的总结点数 为树中所有结点的度数之和再+1(+1的原因是得加上根结点,不用管直接记住)

很多题中根据上面的1和2可以建立一个等式,就可以解出答案!!到处都要考这个公式!

搞懂哟Niki同学~