有向图的拓扑序列
给定一个 n 个点 m条边的有向图,点的编号是 1到 n,图中可能存在重边和自环。
请输出任意一个该有向图的拓扑序列,如果拓扑序列不存在,则输出 −1。
若一个由图中所有点构成的序列 A满足:对于图中的每条边 (x,y),x 在 A 中都出现在 y 之前,则称 A是该图的一个拓扑序列。
输入格式 第一行包含两个整数 n和 m。
接下来 m行,每行包含两个整数 x和 y,表示存在一条从点 x到点 y的有向边 (x,y)。
输出格式 共一行,如果存在拓扑序列,则输出任意一个合法的拓扑序列即可。
否则输出 −1。
数据范围 1 ≤ n,m ≤ 10^5^ 输入样例: 3 3 1 2 2 3 1 3 输出样例: 1 2 3
啥是拓扑排序?
-
一个有向图,如果图中有入度为 0 的点,就把这个点删掉,同时也删掉这个点所连的边。
-
一直进行上面出处理,如果所有点都能被删掉,则这个图可以进行拓扑排序。
举例子

开始时,图是这样的状态,发现A的入度为 0,所以删除A和A上所连的边,结果如下图:

这时发现B的入度为 0,C的入度为 0,所以删除B和B上所连的边、C和C上所连的边,结果如下图:

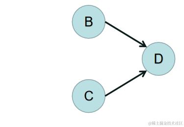
这时发现发现D的入度为 0,所以删除D和D上所连的边(如果有就删),结果如下图:

这时整个图被删除干净,所有能进行拓扑排序。
解题思路
-
首先记录各个点的入度
-
然后将入度为 0 的点放入队列
-
将队列里的点依次出队列,然后找出所有出队列这个点发出的边,删除边,同事边的另一侧的点的入度 -1。
-
如果所有点都进过队列,则可以拓扑排序,输出所有顶点。否则输出-1,代表不可以进行拓扑排序。
代码
CPP代码
#include <iostream>
#include <cstring>
#include <algorithm>
using namespace std;
const int N = 100010;
int e[N], ne[N], idx;//邻接表存储图
int h[N];
int q[N], hh = 0, tt = -1;//队列保存入度为0的点,也就是能够输出的点,
int n, m;//保存图的点数和边数
int d[N];////保存各个点的入度
void add(int a, int b){
e[idx] = b, ne[idx] = h[a], h[a] = idx++;
}
void topsort(){
for(int i = 1; i <= n; i++){//遍历一遍顶点的入度。
if(d[i] == 0)//如果入度为 0, 则可以入队列
q[++tt] = i;
}
while(tt >= hh){//循环处理队列中点的
int a = q[hh++];
for(int i = h[a]; i != -1; i = ne[i]){//循环删除 a 发出的边
int b = e[i];//a 有一条边指向b
d[b]--;//删除边后,b的入度减1
if(d[b] == 0)//如果b的入度减为 0,则 b 可以输出,入队列
q[++tt] = b;
}
}
if(tt == n - 1){//如果队列中的点的个数与图中点的个数相同,则可以进行拓扑排序
for(int i = 0; i < n; i++){//队列中保存了所有入度为0的点,依次输出
cout << q[i] << " ";
}
}
else//如果队列中的点的个数与图中点的个数不相同,则可以进行拓扑排序
cout << -1;//输出-1,代表错误
}
int main(){
cin >> n >> m;//保存点的个数和边的个数
memset(h, -1, sizeof h);//初始化邻接矩阵
while (m -- ){//依次读入边
int a, b;
cin >> a >> b;
d[b]++;//顶点b的入度+1
add(a, b);//添加到邻接矩阵
}
topsort();//进行拓扑排序
return 0;
}
Java 代码
import java.util.*;
public class Main{
static int N = 100010,n,m,hh,tt,idx;
static int[] e = new int[N],ne = new int[N],h = new int[N];
static int[] q = new int[N];
static int[] d = new int[N];
public static void add(int a,int b){
e[idx] = b;
ne[idx] = h[a];
h[a] = idx++;
}
public static boolean bfs(){
hh = 0 ; tt = -1;
for(int i = 1 ; i <= n ; i ++ ){
if(d[i] == 0){ //首先将所有入度为0的点全部插入q队列中
q[++tt] = i;
}
}
while(hh <= tt){
int t = q[hh++]; //拿出队头
for(int i = h[t] ; i != -1; i = ne[i]){ //遍历一下队列中所有的边
int s = e[i]; //然后将这个边拿出来
d[s] -- ; //将这个边的入度数减1
if(d[s] == 0){
q[++tt] = s; //如果减完之后s的入度数为0;就将他插入队列中
}
}
}
return tt == n - 1; //最后返回,如果队列中的tt等于n-1个数,说明就是正确的的
}
public static void main(String[] args){
Scanner scan = new Scanner(System.in);
n = scan.nextInt();
m = scan.nextInt();
for(int i = 0 ; i < N ; i ++ ){
h[i] = -1;
}
while(m -- > 0){
int a = scan.nextInt();
int b = scan.nextInt();
add(a,b);
d[b] ++;
}
if(bfs()){
//队列刚好队头删除的点就是我们的拓扑序列,因为我们只是将hh往后面移动,但是它具体前面的值还在,直接输出就行
for(int i = 0 ; i < n; i ++ ){
System.out.print(q[i] + " ");
}
}else{
System.out.println("-1");
}
}
}