SCM信道模型和SCME信道模型的matlab特性仿真,对比空间相关性,时间相关性,频率相关性

131 阅读3分钟

1.算法仿真效果

matlab2022a仿真结果如下(完整代码运行后无水印):

1.jpeg

2.jpeg

3.jpeg  

       由仿真结果可以看出:信道时间相关性随着时间间隔的增大而减小,同一个天线间隔下,宏小区与微小区的间相关性相同,因为这两种场景的AOA产生方法相同,也反映出该信道模型不够准确。同理,频率相关性,空间相关性也具有类似的特征。

 

2.算法涉及理论知识概要

       SCM和SCME是两种用于仿真无线通信信道特性的模型,特别是在LTE和后续技术如5G的研究与设计中。它们旨在模拟真实环境中复杂的无线电波传播特性,包括空间相关性、时间相关性和频率相关性。

 

      SCM模型最初设计用于WCDMA系统,后来被扩展用于其他通信系统。它考虑了多种传播场景,如微小区、宏小区、室内环境等,通过一系列参数来表征信道的多径特性、衰落特性及空间、时间、频率的相关性。

 

      其信道模型图如图所示:

 

79b5cc3271a4c4900e44517e8f7c338d_watermark,size_14,text_QDUxQ1RP5Y2a5a6i,color_FFFFFF,t_100,g_se,x_10,y_10,shadow_20,type_ZmFuZ3poZW5naGVpdGk=.png

 

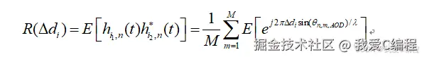
信道的空间相关函数:

 

3cda17b5ed20b24792022e4d502419f7_watermark,size_14,text_QDUxQ1RP5Y2a5a6i,color_FFFFFF,t_100,g_se,x_10,y_10,shadow_20,type_ZmFuZ3poZW5naGVpdGk=.png

 

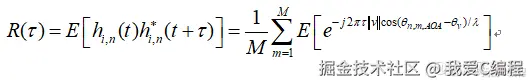
信道的时间相关函数:

 

def4c60a900341016bc60afb32002977_watermark,size_14,text_QDUxQ1RP5Y2a5a6i,color_FFFFFF,t_100,g_se,x_10,y_10,shadow_20,type_ZmFuZ3poZW5naGVpdGk=.png

 

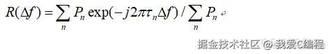
信道的频率相关函数:

 

6de6fd885d1474f0f8e211f076325b80_watermark,size_14,text_QDUxQ1RP5Y2a5a6i,color_FFFFFF,t_100,g_se,x_10,y_10,shadow_20,type_ZmFuZ3poZW5naGVpdGk=.png

 

       SCME模型专为LTE和后续技术设计,它在SCM基础上进行了扩展和改进,以适应更高速率、更广频谱的应用场景。SCME模型同样关注空间、时间和频率相关性,但提供了更为精细的参数化,以适应多样化的信道环境。

 

       空间相关性:SCME模型在空间相关性方面引入了更为细致的簇(Cluster)概念,每个簇内部包含多个径,簇间和簇内径之间的角度和功率分布都有明确的模型描述。空间相关性通过簇的分布和各径功率的角分布函数来表征,增加了模型的复杂度和真实性。

 

       时间相关性:SCME模型沿用了多普勒效应来模拟时间选择性,但对多普勒频谱进行了细化,以更好地适应移动速度范围更广的设备。此外,它还可能包含更复杂的时变模型来描述快速和慢速衰落过程。

 

      频率相关性:在SCME中,频率相关性通过更加精确的功率延迟谱(Power Delay Profile, PDP)来描述,PDP不仅反映多径时延的统计特性,还通过更细致的多径结构模拟了更为复杂的频率选择性衰落。

 

3.MATLAB核心程序 `global dist;

 

%标准化天线间距

ds = [0:0.5:20];

Rd1= zeros(size(ds));

Rd2= zeros(size(ds));

for ii = 1:length(ds);

    ii

    Rtmp1 = 0;

    Rtmp2 = 0;

    for ij = 1:100

        dist=ds(ii);

        H1=scm(scmparset,linkparset(1),antparset);%macro

        H2=scm(scmparset2,linkparset(1),antparset);%micro

        %计算空间相关性

        [R,C,K,P] = size(H1);

        for i1=1:K

            for j1=1:P

                Rtmp1 = Rtmp1+mean2(H1(:,:,i1,j1)*[H1(:,:,i1,j1)]');

                Rtmp2 = Rtmp2+mean2(H2(:,:,i1,j1)*[H2(:,:,i1,j1)]');

            end

        end

    end

    Rd1(ii)=abs(Rtmp1)/P/K/100;

    Rd2(ii)=abs(Rtmp2)/P/K/100;

end

 

Rd1 = Rd1/max(Rd1);

Rd2 = Rd2/max(Rd2);

 

figure;

plot(ds,Rd1,'b');

hold on

plot(ds,Rd2,'r--');

xlabel('标准化天线间距');

ylabel('空间互相关性');

legend('macro','micro');

save result.mat ds Rd1 Rd2

01_165m`