基于贝叶斯决策理论,我研发了一款高效足球分析系统

722 阅读5分钟

引言

五大联赛和欧冠如今正打的火热,不过想必球迷们都有一个感受——这届联赛有点冷。就以本届西甲和意甲举例,开赛头一天的比赛,居然不约而同全部都已平局结束,不少人想必都在那吃了亏吧。

而对于这种情况,我们还能准确度预测分析比赛的趋势么?其实也未必不能,有些看似反直觉的比赛结果,其实也是有内含的逻辑规律在内,只是常人缺乏决策理论的支持,难免就容易失利。今天笔者就作为某知名足球分析系统开发者的一员,向大家介绍我的研发心得,以及贝叶斯决策理论在足球分析其中的应用。

足球预测系统PC端 提取码:fz0o

贝叶斯决策理论概述

贝叶斯决策理论是一种基于概率论的统计决策方法,其核心思想是在不完全信息下,通过已知的先验概率和样本信息,计算出后验概率,从而做出最优决策。在足球分析领域,贝叶斯决策理论具有以下优势:

考虑先验信息:贝叶斯决策理论能够充分利用历史数据和专家经验,提高预测准确性。

模型自适应:随着样本量的增加,贝叶斯模型能够自动调整参数,适应数据变化。

鲁棒性:贝叶斯决策理论对异常值具有较强的抵抗能力,适用于复杂多变的足球比赛环境。

image.png

系统算法原理

数据预处理

首先,我们对足球比赛数据进行预处理,包括数据清洗、特征提取和归一化处理。具体步骤如下:

(1)数据清洗:去除无关数据,如比赛日期、场地等信息。

(2)特征提取:根据比赛数据,提取以下特征:球队实力、球员能力、比赛状态、历史交锋战绩等。

(3)归一化处理:将特征数据映射到[0,1]区间,消除不同量纲的影响。

image.png

贝叶斯模型构建

设X为比赛特征向量,Y为比赛结果(胜、平、负)。贝叶斯决策理论可用以下公式表达:

image.png

其中,P(H)为先验概率,表示比赛结果H发生的概率;P(E|H)为条件概率,表示在比赛结果E发生的条件下,特征向量E出现的概率;P(E)为边缘概率,表示特征向量E出现的概率。

模型参数估计

(1)先验概率P(Y):根据历史比赛数据,计算各比赛结果的发生概率。

先验概率估计公式:

image.png

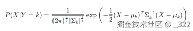
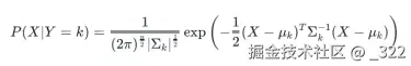
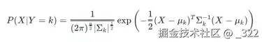
(2)条件概率P(X|Y):采用多项式分布和高斯分布相结合的方法,对特征向量X进行建模。

条件概率表示公式:

image.png

(3)边缘概率P(X):通过对特征向量X进行积分计算得到。

边缘概率计算公式:

image.png

系统实现 与系统预测案例

系统实现

基于Python编程语言,结合Scikit-learn、TensorFlow等机器学习库,实现上述贝叶斯足球分析系统。具体步骤如下:

(1)数据读取:从数据库中读取预处理后的比赛数据。

(2)模型训练:使用训练数据对贝叶斯模型进行训练,得到模型参数。

(3)预测分析:输入比赛特征向量,输出比赛结果预测。

为了便于理解,这里列出一个简化的Python实力,展示如何使用贝叶斯定理进行分类,使用scikit-learn库来实现一个高斯朴素贝叶斯分类器,这是一个常用的贝叶斯模型,它假设特征在给定类别的条件下是条件独立的,以下立意演示使用贝叶斯来分类数据集,该数据集包含两个特征和一个目标类别:

# 导入必要的库

from sklearn.datasets import make_classification

from sklearn.model_selection import train_test_split

from sklearn.naive_bayes import GaussianNB

from sklearn.metrics import accuracy_score, classification_report

import numpy as np

 

# 生成模拟数据集

X, y = make_classification(n_samples=1000, n_features=2, n_informative=2, n_redundant=0, random_state=42)

 

# 划分训练集和测试集

X_train, X_test, y_train, y_test = train_test_split(X, y, test_size=0.3, random_state=42)

 

# 创建高斯朴素贝叶斯分类器实例

gnb = GaussianNB()

 

# 训练模型

gnb.fit(X_train, y_train)

 

# 预测测试集结果

y_pred = gnb.predict(X_test)

 

# 计算准确率

accuracy = accuracy_score(y_test, y_pred)

print(f"Model accuracy: {accuracy:.2f}")

 

# 输出分类报告

print(classification_report(y_test, y_pred))

 

# 输出先验概率和每个类别的似然概率

print(f"Class priors: {gnb.class_prior_}")

print(f"Means: {gnb.theta_}")

print(f"Variances: {gnb.sigma_}")

足球预测系统

如下图所示,右下角共显示11场赛事的预测结果,其中除了3场未结束还未出结果的赛事,其余皆为预测成功,根据历史数据统计,该足球预测系统的综合预测命中率在80%%左右,同时该系统的赛事预测范围广泛,全球各项大大小小的足球比赛皆在预测范围内。

除此之外,该系统还预设了赛事盘面监控功能,如系统界面右侧所示,先前提过的西甲意甲开门冷,或许球迷们觉得出乎意料,但其实在资金面专家的眼中却并非如此,在足球预测的博弈中,专家才是最后的胜者,该界面功能的设立目的也在于此,该功能可以监控盘面变动情况,了解比分、让球、大球数值的变动,从中我们可以看出资金方的意图,了解到其看重的比赛趋势,从而避免被割韭菜的局面。

image.png

结论

以上便是使用贝叶斯决策来研发足球分析系统的理念,当然实际构建过程要更为复杂,诸多过拟合问题,数据安全问题等等,还是建议球迷们采用足球分析系统的成品,笔者将自己参与研发的这款分析系统分享给大家。

足球预测系统

提取码:fz0o