美团面试题——654. 最大二叉树

124 阅读2分钟

654. 最大二叉树

给定一个不重复的整数数组 nums最大二叉树 可以用下面的算法从 nums 递归地构建:

  1. 创建一个根节点,其值为 nums 中的最大值。
  2. 递归地在最大值 左边子数组前缀上 构建左子树。
  3. 递归地在最大值 右边子数组后缀上 构建右子树。

返回 nums 构建的 最大二叉树

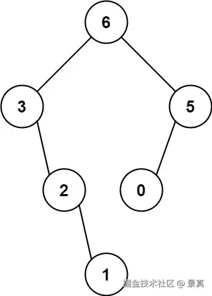
示例 1:

tree1-1720239554678-1.jpg

输入:nums = [3,2,1,6,0,5]
输出:[6,3,5,null,2,0,null,null,1]
解释:递归调用如下所示:
- [3,2,1,6,0,5] 中的最大值是 6 ,左边部分是 [3,2,1] ,右边部分是 [0,5] 。
    - [3,2,1] 中的最大值是 3 ,左边部分是 [] ,右边部分是 [2,1] 。
        - 空数组,无子节点。
        - [2,1] 中的最大值是 2 ,左边部分是 [] ,右边部分是 [1] 。
            - 空数组,无子节点。
            - 只有一个元素,所以子节点是一个值为 1 的节点。
    - [0,5] 中的最大值是 5 ,左边部分是 [0] ,右边部分是 [] 。
        - 只有一个元素,所以子节点是一个值为 0 的节点。
        - 空数组,无子节点。

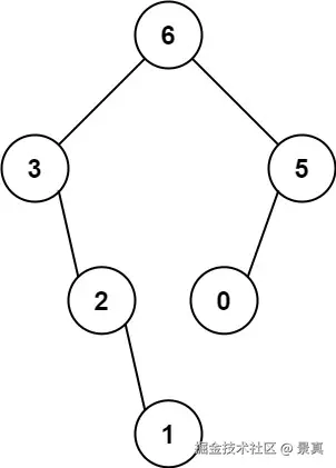
示例 2:

tree2-1720239554678-3.jpg

输入:nums = [3,2,1]
输出:[3,null,2,null,1] 

提示:

  • 1 <= nums.length <= 1000
  • 0 <= nums[i] <= 1000
  • nums 中的所有整数 互不相同

递归

class Solution {
    // 主函数
    public TreeNode constructMaximumBinaryTree(int[] nums) {
        return build(nums, 0, nums.length - 1);
    }

    // 定义:将 nums[lo..hi] 构造成符合条件的树,返回根节点
    TreeNode build(int[] nums, int lo, int hi) {
        // 结束条件
        if (lo > hi) {
            return null;
        }

        // 找到数组中的最大值和对应的索引
        int index = -1, maxVal = Integer.MIN_VALUE;
        for (int i = lo; i <= hi; i++) {
            if (maxVal < nums[i]) {
                index = i;
                maxVal = nums[i];
            }
        }

        TreeNode root = new TreeNode(maxVal);
        // 递归调用构造左右子树
        root.left = build(nums, lo, index - 1);
        root.right = build(nums, index + 1, hi);

        return root;
    }
}
  • 时间复杂度:O(n^2),其中 n 是数组 nums 的长度。在最坏的情况下,数组严格递增或递减,需要递归 n 层,第 i (0≤i<n) 层需要遍历 n-i 个元素以找出最大值,总时间复杂度为 O(n^2)。
  • 空间复杂度:O(n),即为最坏情况下需要使用的栈空间。