字节微软阿里快手面试题——617. 合并二叉树

95 阅读2分钟

617. 合并二叉树

给你两棵二叉树: root1root2

想象一下,当你将其中一棵覆盖到另一棵之上时,两棵树上的一些节点将会重叠(而另一些不会)。你需要将这两棵树合并成一棵新二叉树。合并的规则是:如果两个节点重叠,那么将这两个节点的值相加作为合并后节点的新值;否则,不为 null 的节点将直接作为新二叉树的节点。

返回合并后的二叉树。

注意: 合并过程必须从两个树的根节点开始。

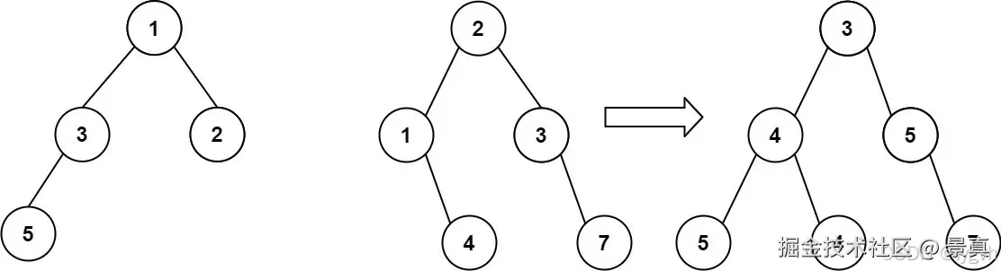
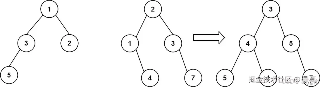
示例 1:

在这里插入图片描述

输入:root1 = [1,3,2,5], root2 = [2,1,3,null,4,null,7]
输出:[3,4,5,5,4,null,7]

示例 2:

输入:root1 = [1], root2 = [1,2]
输出:[2,2]

提示:

  • 两棵树中的节点数目在范围 [0, 2000]
  • -10^4 <= Node.val <= 10^4

有返回值的DFS,后序

class Solution {
    // 把t1和t2两棵树合并,返回合并后的树的根节点
    public TreeNode mergeTrees(TreeNode t1, TreeNode t2) {
        if (t1 == null) {
            return t2;
        }
        if (t2 == null) {
            return t1;
        }
        
        // 先合并当前节点
        TreeNode merged = new TreeNode(t1.val + t2.val);
        merged.left = mergeTrees(t1.left, t2.left);
        merged.right = mergeTrees(t1.right, t2.right);
        return merged;
    }
}
  • 时间复杂度:O(min⁡(m,n)),其中 m 和 n 分别是两个二叉树的节点个数。对两个二叉树同时进行深度优先搜索,只有当两个二叉树中的对应节点都不为空时才会访问到该节点,因此被访问到的节点数不会超过较小的二叉树的节点数。
  • 空间复杂度:O(min⁡(m,n)),其中 m 和 n 分别是两个二叉树的节点个数。空间复杂度取决于队列中的元素个数,队列中的元素个数不会超过较小的二叉树的节点数。