掌握数据科学中的算法效率:大 O 符号和计算复杂性

155 阅读53分钟

机器学习工程师可扩展且高效的数据处理和模型训练的基本策略和工具 欢迎来到雲闪世界

编辑

        时间和空间复杂度是抽象概念,也是高效数据处理和模型训练的支柱。通过掌握这些原则,数据科学家可以优化工作流程,降低计算成本,并快速构建处理大型数据集的可扩展解决方案。         低效的算法会导致不必要的延迟、过多的内存占用以及糟糕的用户体验。另一方面,经过优化的算法可让数据科学家更快地得出结果、处理更大的数据集并提高其模型的整体性能。

     让我们探索时间和空间复杂性的基础知识,深入研究数据科学家的用例,并提供测量和优化代码的工具和技术。

      无论是使用简单的数据结构还是复杂的机器学习 (ML) 算法,理解和管理复杂性对于成为更有效、更高效的数据科学家至关重要。

     最后的练习可以让读者检查自己的理解,确保理解最重要的概念。

时间复杂度基础知识

定义和概述

        时间复杂度衡量算法完成所需的时间与输入长度的关系。它提供了算法运行时间的理论估计,帮助我们了解执行时间如何随着输入数据大小的增加而增加。时间复杂度对于数据科学家来说至关重要,因为它使他们能够预测代码的效率并就算法选择做出明智的决策,尤其是在处理大数据时。

    我们经常使用大O符号来表示时间复杂度,它描述了算法运行时间的上限。

    大 O 符号有助于根据最坏情况对算法进行分类,从而允许人们以简单但独立于机器的方式比较不同算法的效率。

大 O 符号

       大 O 符号用输入n的大小来表示算法的时间复杂度,给出运行时间的上限。它忽略了随着输入大小的增加而变得不重要的常量和低阶项。

       例如,时间复杂度为O ( n ) 的算法所花费的时间与输入大小成正比。相反,时间复杂度为O ( n² ) 的算法所花费的时间与输入大小的平方成正比。

     数学表示:

    如果T( n )表示算法的时间复杂度作为输入大小n的函数,则:

    T( n ) = O ( f( n ) )

    这个表达式意味着,对于足够大的输入大小n,运行时间T( n )被f( n )的一个常数倍数所限制。 常见的时间复杂度

让我们来看看几种典型的时间复杂度。本文顶部的图片按升序显示了每种复杂度。

1. O(1):恒定时间

如果执行时间与输入大小无关,则算法的时间复杂度为常数O (1)。此类算法是最快的,无论输入大小n是多少,都会执行固定数量的操作。

# 示例:通过索引访问数组中的元素。
 arr = [ 10 , 20 , 30 , 40 , 50 ] 
element = arr[ 2 ]   # O(1) 操作
print (element)   # 输出:30

这里,访问索引 2 处的元素需要常数时间O (1),因为它直接检索值而无需任何额外的计算。

2. O(log n ):亚线性对数时间

当算法的运行时间随n呈对数增长时,就会出现次线性对数时间复杂度 O(log⁡ n ) 。此类算法通常每一步都会将问题规模减半,就像二分搜索等分治算法中一样。

二分查找通过将搜索间隔减半来对已排序数组进行操作。

# O(log n) 示例:二分搜索
def  binary_search ( arr, target ): 
    low, high = 0 , len (arr) - 1 
    
    while low <= high: 
        mid = (low + high) // 2.  # 将搜索空间大小除以 2 
        if arr[mid] == target: 
            return mid 
        elif arr[mid] < target: 
            low = mid + 1 
        else : 
            high = mid - 1 
            
    return - 1   # 未找到目标

arr = [ 10 , 20 , 30 , 40 , 50 , 60 , 70 , 80 ] 
index = binary_search(arr, 50 )   # O(log n) 操作
print (index)   # 输出:4

请注意,每次比较都会将问题规模减少一半,从而导致亚线性时间复杂度为O (log ⁡ n )。

3. O(n):线性时间

如果算法的运行时间随输入大小线性增加,则该算法具有线性时间复杂度O ( n )。输入大小加倍,运行时间也会加倍。

# 示例:遍历数组。
 arr = [ 10 , 20 , 30 , 40 , 50 ] 
for element in arr:   # O(n) 操作
    print (element)

4. O(n log ⁡ n):线性对数时间
线性时间复杂度 O( n log⁡ n ) 出现在涉及线性和对数运算的算法中,这对于高效排序算法(例如,归并排序)很常见。
 归并排序是一种经典的分治算法,它将数组分成两半,递归地对每半进行排序,然后合并排序后的两半。
def  merge_sort ( arr ):
    如果 len (arr) <= 1 :
        返回arr 

    mid = len (arr) // 2  # 分成两半
    left = merge_sort(arr[:mid]) 
    right = merge_sort(arr[mid:]) 
    
    # 合并两半
    返回merge(left, right) 

def  merge ( left, right ): 
    sorted_arr = [] 
    i = j = 0 

    while i < len (left) and j < len (right):
        如果left[i] < right[j]: 
            sorted_arr.append(left[i]) 
            i += 1 
        else : 
            sorted_arr.append(right[j]) 
            j += 1

     sorted_arr.extend(left[i:]) 
    sorted_arr.extend(right[j:])
    返回sorted_arr 

arr = [ 38 , 27 , 43 , 3 , 9 , 82 , 10 ] 
sorted_arr = merge_sort(arr)   # O(n log n) 操作
print (sorted_arr)   # 输出:[3, 9, 10, 27, 38, 43, 82]

归并排序的时间复杂度为O ( nlog⁡n ) ,因为数组被拆分为 log( n ) 个步骤,而合并每个步骤都需要O ( n )时间。

5. O(n²)、O(2ⁿ ) 、O(​​n!):多项式、指数和阶乘时间复杂度

O(n²):如果算法的运行时间随输入大小二次方增加,则该算法具有二次时间复杂度。这种复杂度在具有嵌套循环的算法中很常见。

O(n²): 如果算法的运行时间随输入大小二次方增加,则该算法具有二次时间复杂度。这种复杂度在具有嵌套循环的算法中很常见。

# 示例:冒泡排序
def  bubble_sort ( arr ): 
    n = len (arr) 
    for i in  range (n): 
        for j in  range ( 0 , ni- 1 ): 
            if arr[j] > arr[j+ 1 ]: 
                arr[j], arr[j+ 1 ] = arr[j+ 1 ], arr[j] 
    return arr 

arr = [ 64 , 34 , 25 , 12 , 22 , 11 , 90 ] 
sorted_arr = bubble_sort(arr)   # O(n^2) 操作
print (sorted_arr)   # 输出:[11, 12, 22, 25, 34, 64, 90]

由于比较每对元素的嵌套循环,冒泡排序具有二次时间复杂度O ( n² )。

O(2 ⁿ ): 指数时间复杂度出现在算法中,其中每增加一个输入元素,运行时间就会加倍。这种算法通常不适用于大输入。示例:使用蛮力解决旅行商问题。

O(n!): 阶乘时间复杂度甚至比指数更差,其中运行时间随着输入大小而阶乘增长。

# 示例:生成列表的所有排列。
from itertools import permutations 

arr = [ 1 , 2 , 3 ] 
perm = list (permutations(arr))   # O(n!) 操作
print (perm) 
# 输出:
# [(1, 2, 3), (1, 3, 2), (2, 1, 3), (2, 3, 1), (3, 1, 2), (3, 2, 1)]

生成数组的所有排列具有阶乘时间复杂度O ( n !),因为长度为n的数组有n ! 种可能的排列。

数据科学示例

A)常见数据结构的时间复杂度

在数据科学中处理数据结构时,理解时间复杂度至关重要。例如:

  • 数组: 通过索引访问元素是O (1),而搜索元素是O ( n )。
  • 链表: 开头的插入和删除是O (1),搜索元素是O ( n )。
  • 哈希表: 插入、删除和访问平均为O (1),但在发生许多冲突的最坏情况下会降级为O ( n )。

B)排序算法的时间复杂度及其对大数据集的影响

数据科学程序中的一个常见要求是排序。因此,排序算法的选择会对性能产生重大影响:

  • 快速排序: 平均情况O ( n log⁡ n );最坏情况 O( n ²),且枢轴选择不当。
  • 归并排序: 始终On log⁡ n):对于大数据来说,这是一个稳定可靠的选择。
  • 冒泡排序: O):对于大型数据集来说通常太慢。

C)来自 Python 库的实例(pandas、NumPy)

pandas 和 NumPy 等 Python 库在数据科学中很受欢迎。了解操作的时间复杂度有助于优化性能:

i. Pandas: .loc通过或访问 DataFrame 元素的复杂度.ilocO (1)。排序(例如.sort_values())的复杂度为O ( n log⁡ n )。跨列应用函数(例如.apply())依赖于函数,复杂度从O ( n ) 到O (  )。

# 示例:对 DataFrame 进行排序
import pandas as pd 

df = pd.DataFrame({ 
    'A' : [ 2 , 1 , 9 , 8 , 7 ], 
    'B' : [ 5 , 3 , 6 , 4 , 10 ] 
}) 

sorted_df = df.sort_values(by= 'A' )   # O(n log n) 操作
print (sorted_df)

输出:

   AB 
1 1 3 
0 2 5 
4 7 10 
3 8 4 
2 9 6

ii. NumPy: 访问 NumPy 数组中的元素的复杂度为O (1)。对于简单实现,矩阵乘法等运算的复杂度为O ( n³ )。

# 示例:矩阵乘法
import numpy as np 

A = np.array([[ 1 , 2 ], [ 3 , 4 ]]) 
B = np.array([[ 5 , 6 ], [ 7 , 8 ]]) 

C = np.dot(A, B)   # 矩阵乘法的 O(n^3) 运算
print (C) 

# 输出:
# [[19 22] 
# [43 50]]

了解时间复杂性可以让数据科学家编写更高效的代码,选择合适的算法,并扩展他们的解决方案以有效地处理大型数据集(有关更多详细信息,请联系博主)。

空间复杂性基础知识

定义和概述

空间复杂度是算法相对于输入数据大小n所需的内存。时间复杂度衡量算法的运行时间如何随n变化,空间复杂度衡量内存使用量如何变化;这一测量对数据科学家至关重要,因为内存限制会影响数据处理任务的性能和可行性,尤其是在处理大数据或复杂的 ML 模型时。

空间复杂度通常用O符号表示,以 n为函数给出内存使用量的上限。这有助于描述算法的内存需求以及它们如何随着输入大小的增加而增长。因此,数据科学家可以选择更高效的算法或数据结构来优化内存使用量。

空间复杂度的大 O 符号

与时间复杂度类似,空间复杂度的 Big O符号提供了一种描述算法所需内存量上限的方法。因此,它捕获了内存使用情况的最坏情况,忽略了随着输入大小的增加而变得微不足道的常数和低阶项。

如果S( n )表示算法的空间复杂度作为输入大小 n的函数,则:

S( n ) = O ( f( n ) )

该表达式意味着算法所需的内存量与f( n ) 成比例,其中f( n ) 可以是常数、线性、二次函数或任何其他描述内存使用量如何随n变化的函数。

常见的空间复杂性

1. O(1):常数空间

如果所需内存量不随输入大小而变化,则算法的空间复杂度为 O(1)。此复杂度意味着算法使用的内存量是固定的,与n的大小无关。

# 示例:交换 两个变量。def swap ( a, b ): 
    temp = a   # O(1) space
     a = b 
    b = temp 
    return a, b 

x, y = swap( 10 , 20 ) 
print (x, y)   # 输出:20, 10

请注意,空间复杂度为Otemp (1),因为无论输入大小如何,函数都需要固定数量的内存(即变量)。

2. On):线性空间

如果所需内存随输入大小线性增长,则算法的空间复杂度为O ( n )。当算法需要存储与输入大小相同的额外数据结构(例如数组或列表)时,通常会发生这种复杂度。


# 示例:存储 一个数组。def create_array ( n ): 
    arr = [ 0 ] * n   # O(n) 空间
    return arr 

arr = create_array( 10 ) 
print (arr)   # 输出:[0, 0, 0, 0, 0, 0, 0, 0, 0, 0]

上面的空间复杂度为O ( n ),因为存储数组所需的内存随着输入大小n线性增长。

3. O):二次空间

如果所需内存随着n呈二次增长,则算法具有二次空间复杂度O (  ) ,这在涉及创建矩阵或二维数组来存储中间结果的算法中很常见。

# 示例:用于计算最长公共
#子序列(LCS)的动态规划表。
def  lcs_length ( X, Y ): 
    m, n = len (X), len (Y) 
    dp = [[ 0 ] * (n + 1 ) for _ in  range (m + 1 )]   # O(n^2) 空间

    for i in  range ( 1 , m + 1 ): 
        for j in  range ( 1 , n + 1 ): 
            if X[i - 1 ] == Y[j - 1 ]: 
                dp[i][j] = dp[i - 1 ][j - 1 ] + 1 
            else : 
                dp[i][j] = max (dp[i - 1 ][j], dp[i][j - 1 ]) 

    return dp[m][n] 

lcs_len = lcs_length( "ABCBDAB" , "BDCAB" ) 
print (lcs_len)   # 输出:4

空间复杂度为O (  ),因为动态规划表dp的维度为 ( m + 1) × ( n + 1),其中mn是输入字符串的长度。

数据科学示例

A)大型数据集和矩阵中的内存使用情况

处理大型数据集时,内存使用情况是一个关键因素。例如,将大型 CSV 文件加载到 Pandas DataFrame 中会消耗大量内存,尤其是当文件大小为数百万行和数百列时。

# 示例:pandas DataFrame 的内存使用情况
import pandas as pd 

# 具有 1 百万行和 3 列的示例 DataFrame
 df = pd.DataFrame({ 
    'A' : range ( 1 , 1000001 ), 
    'B' : range ( 1000001 , 2000001 ), 
    'C' : range ( 2000001 , 3000001 ) 
}) 

# 检查内存使用情况
memory_usage = df.memory_usage(deep= True ). sum () 
print ( f"Memory usage: {memory_usage / ( 1024 ** 2 ): .2 f} MB" )   
# 输出:内存使用情况(以 MB 为单位)
# 内存使用情况:22.89 MB

在此示例中,内存使用量与 DataFrame 中的行数和列数呈线性关系。了解空间复杂度有助于通过选择合适的数据类型或使用分块等技术将数据分成较小的部分来处理,从而优化数据处理任务。

B)机器学习算法中的空间复杂度

空间复杂性在机器学习算法中也起着重要作用,特别是涉及大型模型或数据存储的算法。

i)决策树的空间复杂度为On × m),其中nm分别是树中的节点数和特征数。这会导致深树或具有许多节点的树占用大量内存。

ii) 神经网络 (NN) 往往具有较高的空间复杂度,尤其是具有许多层和神经元的深度网络。空间复杂度包括存储每层的权重、偏差和激活所需的内存。具有L层且每层有n 个神经元的全连接 NN 的空间复杂度约为O ( L × n ² )。

# 示例:简单 NN 中的空间复杂度
from tensorflow.keras.models import Sequential 
from tensorflow.keras.layers import Dense 

# 具有 3 层的简单神经网络
model = Sequential([ 
    Dense( 64 , input_shape=( 32 ,),activation= 'relu' ),   # 64 个神经元,输入大小为 32
     Dense( 32 ,activation= 'relu' ),   # 32 个神经元
    Dense( 10 ,activation= 'softmax' )   # 10 个输出类
]) 

# 打印模型摘要以查看参数数量
model.summary()

输出:

<span style="color:rgba(0, 0, 0, 0.8)"><span style="background-color:#ffffff"><span style="background-color:#f9f9f9"><span style="color:#242424">模型:“顺序” _________________________________________________________________      
层
(类型)输出形状参数#    ===================================================================================================================================================      总
参数:4,522可训练参数:4,522不可训练参数:0        _________________________________________________________________

                                                                 

                                                                 

                                                                 




</span></span></span></span>

空间复杂度与参数(权重和偏差)的数量成正比。每一层的参数都会影响整体内存使用量,而内存使用量会随着 NN 的大小和深度而增长。

C)处理大型数据集中的内存限制

处理大数据时,内存限制可能是一个限制因素。以下是一些有效处理内存的技术。

i)分块: 分块处理大型数据集,而不是将整个数据集加载到内存中。

<span style="color:rgba(0, 0, 0, 0.8)"><span style="background-color:#ffffff"><span style="background-color:#f9f9f9"><span style="color:#242424"><span style="color:#007400"># 示例:使用 pandas 分块处理大型 CSV 文件</span>
chunk_size = <span style="color:#1c00cf">100000</span>
 chunk_iter = pd.read_csv( <span style="color:#c41a16">'large_dataset.csv'</span> , chunksize=chunk_size) 

<span style="color:#aa0d91">for</span> chunk <span style="color:#aa0d91">in</span> chunk_iter: 
    <span style="color:#007400"># 处理每个块</span>
    process_chunk(chunk)</span></span></span></span>

ii)稀疏矩阵: 使用稀疏矩阵存储含有许多零的数据,有效减少内存使用量。

<span style="color:rgba(0, 0, 0, 0.8)"><span style="background-color:#ffffff"><span style="background-color:#f9f9f9"><span style="color:#242424"><span style="color:#007400"># 示例:使用 SciPy 创建稀疏矩阵</span>
<span style="color:#aa0d91">from</span> scipy.sparse <span style="color:#aa0d91">import</span> csr_matrix 
<span style="color:#aa0d91">import</span> numpy <span style="color:#aa0d91">as</span> np 

density_matrix = np.array([ 
    [ <span style="color:#1c00cf">0</span> , <span style="color:#1c00cf">0</span> , <span style="color:#1c00cf">3</span> ], 
    [ <span style="color:#1c00cf">4</span> , <span style="color:#1c00cf">0</span> , <span style="color:#1c00cf">0</span> ], 
    [ <span style="color:#1c00cf">0</span> , <span style="color:#1c00cf">2</span> , <span style="color:#1c00cf">0</span> ] 
]) 

sparse_matrix = csr_matrix(dense_matrix) 
<span style="color:#5c2699">print</span> (sparse_matrix) 
<span style="color:#007400"># 输出:</span>
<span style="color:#007400"># (0, 2) 3 </span>
<span style="color:#007400"># (1, 0) 4 </span>
<span style="color:#007400"># (2, 1) 2</span></span></span></span></span>

稀疏矩阵仅存储非零元素,从而显著减少了内存使用量。

iii) 高效的数据类型: 选择适当的数据类型以最小化内存使用量。例如,使用float32而不是 可以float64将所需内存减少一半。

<span style="color:rgba(0, 0, 0, 0.8)"><span style="background-color:#ffffff"><span style="background-color:#f9f9f9"><span style="color:#242424"><span style="color:#007400"># 示例:在 pandas 中使用较小的数据类型</span>
<span style="color:#aa0d91">import</span> pandas <span style="color:#aa0d91">as</span> pd 

df_int32 = pd.DataFrame({ 
    <span style="color:#c41a16">'A'</span> : pd.Series( <span style="color:#5c2699">range</span> ( <span style="color:#1c00cf">1</span> , <span style="color:#1c00cf">1000001</span> ), dtype= <span style="color:#c41a16">'int32'</span> ), 
    <span style="color:#c41a16">'B'</span> : pd.Series( <span style="color:#5c2699">range</span> ( <span style="color:#1c00cf">1000001</span> , <span style="color:#1c00cf">2000001</span> ), dtype= <span style="color:#c41a16">'int32'</span> ), 
    <span style="color:#c41a16">'C'</span> : pd.Series( <span style="color:#5c2699">range</span> ( <span style="color:#1c00cf">2000001</span> , <span style="color:#1c00cf">3000001</span> ), dtype= <span style="color:#c41a16">'int32'</span> ) 
}) 

df_int64 = pd.DataFrame({ 
    <span style="color:#c41a16">'A'</span> : pd.Series( <span style="color:#5c2699">range</span> ( <span style="color:#1c00cf">1</span> , <span style="color:#1c00cf">1000001</span> )), 
    <span style="color:#c41a16">'B'</span> : pd.Series( <span style="color:#5c2699">range</span> ( <span style="color:#1c00cf">1000001</span> , <span style="color:#1c00cf">2000001</span> )), 
    <span style="color:#c41a16">'C'</span>:pd.Series(<span style="color:#5c2699">范围</span><span style="color:#1c00cf">2000001,3000001</span>))})<span style="color:#5c2699">打印</span>( df_int32.info <span style="color:#1c00cf"></span><span style="color:#5c2699">打印</span>()<span style="color:#5c2699">打印</span>(df_int64.info())




</span></span></span></span>

输出:

<span style="color:rgba(0, 0, 0, 0.8)"><span style="background-color:#ffffff"><span style="background-color:#f9f9f9"><span style="color:#242424"><class 'pandas.core.frame.DataFrame'> 
RangeIndex: 1000000 条,0999999
数据列(共 3 列):
# 列 非空 计数 Dtype 
--- ------ -------------- ----- 
0 A 1000000 非空 int32 
1 B 1000000 非空 int32 
2 C 1000000 非空 int32 
dtypes: int32(3)
内存使用量:11.4 MB
无

<class 'pandas.core.frame.DataFrame'> 
RangeIndex: 1000000 条,0999999
数据列(共 3 列):
# 列 非空 计数 Dtype 
--- ------ -------------- ----- 
0 A 1000000 非空 int64 
1 B 1000000 非空 int64 
2 C 1000000 非空 int64 
dtypesint64(3)
内存使用量:22.9 MB
无</span></span></span></span>

int32请注意,使用versus时,每个摘要底部列出的内存使用量约为其一半int64

数据科学中的算法分析

如何确定时间和空间复杂度

确定算法的时间和空间复杂度对于数据科学家来说至关重要,因为它有助于评估解决方案的效率和可扩展性。以下是分析算法复杂度的分步指南。

步骤1.确定基本操作。

  • 时间复杂度: 确定对运行时间有贡献的最常执行的操作。此操作可能是排序算法中的比较、循环中的算术运算或分治算法中的递归调用。
  • 空间复杂度: 识别算法使用的数据结构,例如数组、列表、矩阵或哈希表,并根据输入大小估计它们所需的内存。

步骤2.将运行时间和空间使用情况表示为输入大小的函数。

  • 时间复杂度:计算输入大小 n的函数中基本操作的数量,这可能涉及分析循环、递归或嵌套结构。
  • 空间复杂度: 考虑变量、辅助数据结构所需的内存以及执行期间使用的额外存储。

步骤 3.使用大O符号简化函数:

  • 删除低阶项和常数,将重点放在随输入大小增加而增长最快的项上,例如n² + n + c → 
  • 用大O符号表示最终结果,以便在输入规模变大时对算法的行为进行一般估计。

步骤 4.考虑最佳、平均和最坏情况:

  • 分析算法在不同场景下的表现——尤其是最佳情况平均情况最坏情况。例如,在排序算法中,最佳情况可能出现在输入为已排序数组时,而最坏情况则出现在输入为完全未排序数组时。

步骤5.分析递归算法:

  • 对于递归算法,可以推导出一个递归关系,该关系用较小的子问题来表示算法的运行时间。
  • 使用主定理迭代替代等技术解决递归关系以确定时间复杂度。

估算复杂性的常见陷阱和挑战

1. 忽略常数因素。 虽然大O符号关注增长率并忽略常数因素,但这些常数在实践中有时可能很重要,尤其是对于较小的输入。我们必须意识到这些因素,即使我们在最终的大O表达式中省略了它们。

2. 错误识别主导项。 处理嵌套循环或递归调用时,很容易低估或高估导致时间复杂度的主导项。需要仔细分析以确保我们识别正确的项。

3. 忽视内存使用。 与时间复杂度相比,空间复杂度经常被忽视,但它同样重要,尤其是对于大型数据集而言。忽视它可能会导致内存溢出或使用效率低下,从而阻碍原本性能良好的算法。

4. 假设所有输入的最坏情况复杂度。 虽然最坏情况复杂度提供了安全网,但许多算法在平均或最佳情况下的表现明显更好。仅考虑最坏情况而高估复杂性可能会导致不必要的保守选择。

案例研究

1. 排序算法:比较快速排序、归并排序和冒泡排序

A)快速排序

时间复杂度:

  • 最佳情况O ( nlog⁡n )
  • 平均情况:O ( nlogn )
  • 最坏情况:O (  )(当枢轴是最小或最大元素时)

空间复杂度: O ( n log ⁡ n ) (由于递归堆栈空间)

# 示例:快速排序算法的 Python 实现。def 
quicksort  ( arr ) : 
    if  len (arr) <= 1 : 
        return arr 
    pivot = arr[ len (arr) // 2 ] 
    left = [x for x in arr if x < pivot] 
    middle = [x for x in arr if x == pivot] 
    right = [x for x in arr if x > pivot] 
    return quicksort(left) + middle + quicksort(right)

B)归并排序

时间复杂度:

  • 最佳情况O ( nlog⁡n )
  • 平均情况:O ( nlogn )
  • 最坏情况O ( nlogn )

空间复杂度: O ( n ) (合并期间临时数组的额外空间)


# 示例:合并 排序算法的 Python 实现。def merge_sort ( arr ): 
    if  len (arr) <= 1 : 
        return arr 
    mid = len (arr) // 2
     left = merge_sort(arr[:mid]) 
    right = merge_sort(arr[mid:]) 
    return merge(left, right)

C)冒泡排序

时间复杂度:

  • 最佳情况:On)(如果传递了一个排序数组)
  • 平均情况:O (  )
  • 最坏情况:O (  )

空间复杂度: O(1)(就地排序,不需要额外的空间)

# 示例:冒泡排序算法的 Python 实现。def 
bubble_sort  ( arr ) : 
    n = len (arr) 
    for i in  range (n): 
        swapped = False 
        for j in  range ( 0 , ni- 1 ): 
            if arr[j] > arr[j+ 1 ]: 
                arr[j], arr[j+ 1 ] = arr[j+ 1 ], arr[j] 
                swapped = True 
        if  not swapped: 
            break 
    return arr

2. 搜索算法:二分搜索与线性搜索

A)线性搜索

时间复杂度:

  • 最佳情况:O(1)(如果元素是列表中的第一个)
  • 平均情况:O ( n )
  • 最坏情况:O ( n )

空间复杂度: O (1)(就地搜索)

# 示例:线性搜索算法的 Python 实现。def linear_search 
(  arr , target ): for i in range ( len (arr)): if arr[i] == target: return i return - 1

B)二分查找

时间复杂度:

  • 最佳情况:O(1)(如果元素是中间元素)
  • 平均情况:Onlogn
  • 最坏情况:O ( n log n )

空间复杂度: O (1) (迭代)或O ( n log n ) (由于堆栈空间而递归)

# 示例:二分搜索算法的 Python 实现。def binary_search ( arr, target ):     low, high = 0 
,  len (arr) - 1 while low <= high:         mid = (low + high) // 2 if arr[mid] == target: return mid elif arr [mid] < target:             low = mid + 1 else :             high = mid - 1 return - 1

3.机器学习算法:K均值聚类、决策树和神经网络中的时间和空间复杂度

A)K均值聚类:

时间复杂度:

  • 每次迭代:O ( n × k × m ),其中n是点的数量,k是聚类的数量,mmm 是维数。
  • 总计:O( I × n × k × m ),其中I是迭代次数。

空间复杂度: O ( k × m )(用于存储质心)和O ( n × k )(用于距离计算)。

# 示例:K-Means 聚类的 Python 实现
from sklearn.cluster import KMeans 
import numpy as np 

# 示例数据集
X = np.array([[ 1 , 2 ], [ 1 , 4 ], [ 1 , 0 ], 
              [ 10 , 2 ], [ 10 , 4 ], [ 10 , 0 ]]) 

# 应用 K-Means 聚类
kmeans = KMeans(n_clusters= 2 , random_state= 0 ).fit(X) 

# 打印聚类中心
print (kmeans.cluster_centers_) 
# 输出:
# [[10. 2.] 
# [ 1. 2.]]

K-Means 算法的时间复杂度与点数、维度和迭代次数成正比,空间复杂度主要取决于存储聚类质心和分配。

B)决策树:

时间复杂度:

  • 训练:On × m × log⁡n ),其中n是样本数量,m是特征数量。
  • 推论:O(log⁡ n),假设有一棵平衡树。

空间复杂度: O ( n × m ),存储树。

C)感知器算法的时间和空间复杂度

假设您有一个包含n 个样本的数据集,每个样本有m 个特征。目标是使用感知器算法对这些样本进行分类。

感知器算法伪代码:

# m+1 个元素,包括偏差项
初始化权 重 = [ 0 , 0 , … , 0 ] 

for  epoch  in  range(max_epochs): 

   for  sample  (x_i,  y_i)  in the dataset: 
       prediction  =  sign(weights*x_i) 
       if  prediction  !=  y_i: 
       weights  =  weights  +  learning_rate  *  (y_i  -  prediction)  *  x_i

时间复杂度分析

1.初始化:

• 初始化权重需要O ( m ) 时间,其中 m 是特征的数量。

  1. 内循环(每个样本):

• 内循环遍历所有n 个样本。

• 对于每个样本,该算法计算权重和特征向量**xᵢ 之间的点积, **这需要O ( m ) 时间。

• 更新权重(如果预测不正确)也需要O ( m ) 时间。

因此每个样本的时间复杂度为O ( m )。

  1. 外循环(epoch):

• 外层循环最多运行T.epochs个(通常表示为max_epochs)。

• 每个时期处理所有n 个样本,导致每个时期的时间复杂度为O ( n × m )。

因此,感知器算法在所有时期的时间复杂度为:O ( T × n × m )

在哪里:

• T是时期数,

• n是样本数量,

• m是特征的数量。

空间复杂度分析

• 空间复杂度主要由权重的存储决定,需要. O( m ) 空间。

总结一下。 对于具有大量特征和样本的数据集,感知器算法的时间复杂度为O ( T × n × m ) ,这使得它与每个时期的样本数量和特征数量呈线性关系。这种效率就是感知器仍然是大规模线性分类问题的热门选择的原因。但是,时期数T会影响整体性能,尤其是在数据不是线性可分的情况下。

D)神经网络:

时间复杂度:

  • 训练:OI × n × m × l),其中I是迭代次数,n是样本数,m是特征数,l是神经元数。
  • 推理:Om × l)(对于每一层)。

空间复杂度: O ( m × l )(存储每层的权重和偏差)。

数据科学家的实际应用

理解和优化时间和空间复杂度不仅仅是一项学术活动,更是数据科学中的实际需要。数据科学家经常处理大型数据集、复杂模型和有限的计算资源。能否有效地管理这些资源是模型能否有效扩展的关键。接下来,我们将探讨在日常数据科学任务中优化时间和空间复杂度的实用策略。

优化数据处理

1. 数据预处理和特征工程中时间复杂度的优化策略

数据预处理和特征工程是数据科学流程中的关键步骤。这些步骤通常涉及的操作会随着数据集大小的增加而变得非常耗时。以下是一些优化时间复杂度的策略。

A)矢量化: 使用 NumPy 或 pandas 等库将循环替换为矢量化操作。矢量化操作以低级语言实现,并针对性能进行了优化,在许多情况下将时间复杂度从循环中的O ( n ) 降低到 O (1)。

# 示例:NumPy 中的向量化操作
import numpy as np 

# 生成一个大型随机数数组
data = np.random.rand( 1000000 ) 

# 应用向量化操作
result = np.sqrt(data)   # 每个元素的复杂度为 O(1) 
print (result) 
# 输出:
# [0.78308551 0.81651889 0.62994819 ... 0.93505794 0.61405861 0.79262269]

B) 高效的数据结构: 使用针对您需要执行的操作进行优化的数据结构。例如,如果您需要频繁查找,请使用哈希表(Python 中的字典)而不是列表。

# 示例:使用字典进行快速查找
数据 = { 'a' : 1 , 'b' : 2 , 'c' : 3 } 

# 查找的时间复杂度为 O(1)
值 = 数据[ 'b' ] 
print (value) # 输出:2

C)抽样: 处理海量数据集时,处理样本可能比处理整个数据集更有效率。这种技术显著降低了时间复杂度,同时仍提供有代表性的分析。

# 示例:在 pandas 中随机抽样
import dask.dataframe as dd 

# 使用 Dask 加载大型数据集
ddf = dd.read_csv( 'large_dataset.csv' ) 

# 并行执行操作
ddf[ 'new_col' ] = ddf[ 'existing_col' ].apply( lambda x: x * 2 , meta=( 'x' , 'f8' )) 
result = ddf.compute()   # O(n) 但跨核心并行化

2. 降低高维数据空间复杂度的技术

高维数据很快就会导致内存问题,因此有效管理空间复杂度至关重要。以下是一些降低空间复杂度的技巧:

A)降维: 主成分分析(PCA)或 t-SNE 等技术可以在保留最关键信息的同时减少特征的数量,从而将空间复杂度从On × m)降低到On × k),其中k < m

# 示例:应用 PCA 降低维数
from sklearn.decomposition import PCA 

# 假设 X 是高维数据集
pca = PCA(n_components= 10 ) 
X_reduced = pca.fit_transform(X)   # 降低空间复杂度

B) 稀疏表示: 处理包含许多零的数据时使用稀疏数据结构。稀疏矩阵仅存储非零元素,从而大大减少内存使用量。

# 示例:使用 SciPy 创建稀疏矩阵
from scipy.sparse import csr_matrix 
import numpy as np 

# 创建一个包含许多零的密集矩阵
density_matrix = np.array([ 
    [ 0 , 0 , 3 ], 
    [ 4 , 0 , 0 ], 
    [ 0 , 2 , 0 ] 
]) 

# 转换为稀疏矩阵
sparse_matrix = csr_matrix(dense_matrix)   # 降低空间复杂度
print (sparse_matrix) 

# 输出:
# (0, 2) 3 
# (1, 0) 4 
# (2, 1) 2

C) 数据类型优化: 选择最有效的数据类型来存储数据。例如,使用float32而不是float64可以将浮点数的内存使用量减半。

# 示例:优化 pandas 中的数据类型
import pandas as pd 

df = pd.DataFrame({ 
    'A' : pd.Series( range ( 1 , 1000001 ), dtype= 'int32' ), 
    'B' : pd.Series( range ( 1000001 , 2000001 ), dtype= 'float32' ) 
}) 

print (df.info())   # 降低空间复杂度

# 输出:
# <class 'pandas.core.frame.DataFrame'> 
# RangeIndex: 1000000 个条目,0 到 999999 
# 数据列(共 2 列):
# # 列非空计数 Dtype   
# --- ------ -------------- -----   
# 0 A 1000000 非空 int32   
# 1 B 1000000 非空float32 
# 数据类型:float32(1), int32(1) 
# 内存使用量:7.6 MB 
# 无

D) 特征选择: 删除不相关或冗余的特征可以显著降低数据集的维数,从而降低空间复杂度。

# 示例:在 scikit-learn 中使用特征选择
from sklearn.feature_selection import SelectKBest, f_classif 

# 假设 X 和 y 是你的特征和标签
selector = SelectKBest(f_classif, k= 10 ) 
X_selected = selector.fit_transform(X, y)   # 降低空间复杂度

平衡时间和空间

1. 算法选择中时间和空间复杂度的权衡

时间和空间复杂度通常存在权衡关系。针对时间进行优化的算法可能会使用更多空间,反之亦然。数据科学家在选择算法时必须考虑这些权衡,尤其是在处理大型数据集或资源有限的系统时。

示例:排序算法中的权衡

  • 归并排序: 时间效率高(O(nlog⁡n ) 需要额外的空间(O ( n ))。
  • 快速排序: 平均时间复杂度也是O ( nlog⁡n ) 但由于采用就地排序,因此空间效率更高( O ( nlog⁡n ))。
  • 堆排序: 时间复杂度为O ( n log⁡ n ),但占用空间为常数 ( O (1) ),因此在需要考虑空间的情况下,它是理想的选择。

2. 何时优先考虑时间效率而不是空间效率,反之亦然

优先考虑时间效率:

  • 处理大型数据集时,执行时间至关重要。
  • 在实时系统中,延迟必须最小。
  • 该技术适用于时间敏感的应用程序,例如在线推荐或流数据分析。

优先考虑空间效率:

  • 在内存受限的环境中工作时(例如嵌入式系统或移动设备)。
  • 在大规模数据处理任务中,与数据集大小相比,可用的 RAM 是有限的。
  • 该技术适用于在内存使用量最少的环境中部署的算法(例如边缘计算)。

示例:在神经网络中优先考虑时间,在嵌入式系统中优先考虑空间

  • 在训练深度神经网络时,我们优先考虑时间效率,以便快速处理大数据,即使这需要大量的 GPU 内存。
  • 在边缘设备上部署模型时,空间效率至关重要,通常需要量化等模型压缩技术来减小模型尺寸。

真实世界的例子

1.案例研究:优化电子商务平台的数据处理

电子商务平台每天处理数百万笔交易。数据科学团队必须在管理大量客户数据集的同时构建实时推荐系统。

问题:

  • 最初的推荐算法采用蛮力法计算用户相似度,导致算法过于复杂,响应时间过慢。

解决方案:

  • 优化时间复杂度: 实现了局部敏感哈希(LSH),将查找相似用户的时间复杂度从 O(n²) 降低到O ( nlog⁡n )  从而可以 实现实时推荐。
  • 管理空间复杂度: 使用稀疏矩阵存储用户与物品的交互,减少内存使用量 80% 以上。

结果:

  • 优化的算法现在可以提供实时建议,而不会导致系统超载,从而有效地处理峰值负载。

2.案例研究:基因组数据分析中的空间复杂性

在基因组学研究中,数据科学家处理的 DNA 序列可能跨越数十亿个碱基对。管理如此大量的数据需要仔细考虑空间复杂性。

问题:

  • 原始管道使用密集矩阵来存储遗传数据,导致标准服务器内存溢出。

解决方案:

  • 优化空间复杂度: 切换到稀疏矩阵来表示遗传数据,从而将内存使用量降低了几个数量级。
  • 权衡考虑: 团队优先考虑空间效率而不是时间效率,因为主要目标是在不崩溃的情况下处理整个数据集,即使这意味着更长的处理时间。

结果:

  • 新方法使团队能够在商品硬件上分析整个基因组,从而实现更容易获取和更可扩展的研究。

概括

在数据科学中优化时间和空间复杂度不仅是为了提高性能,还在于使解决方案可扩展、高效并适应不同的环境。数据科学家可以通过了解时间和空间复杂度之间的权衡并应用实用策略来管理这些复杂性,从而构建更强大、更高效的系统。无论是处理海量数据集、训练复杂模型还是在受限环境中部署算法,这些原则都将帮助您实现更好的项目成果。

测量复杂性的工具

理解和分析算法的理论时间和空间复杂度至关重要,但实际实施往往可以揭示出并非微不足道的细微差别。分析和基准测试是数据科学家衡量代码性能和识别瓶颈的关键实践。接下来,我们将探索用于测量和优化 Python 代码的时间和空间复杂度的工具和技术。

分析和基准测试

1. 使用 Pythontimeit模块测量时间复杂度

Python 中的模块timeit是一个简单但功能强大的工具,用于对代码进行计时。它会多次运行代码,以提供更准确的执行时间估计,非常适合比较不同实现的性能。

# 示例:使用 timeit 比较列表推导和 For 循环
import timeit 

n_elements= 10000 
# 列表推导
list_comp_time = timeit.timeit( '[x**2 for x in range(1000)]' , number=n_elements) 
print ( f"列表推导:{list_comp_time: .5 f}秒" ) 

# For 循环
def  for_loop (): 
    result = [] 
    for x in  range (n_elements): 
        result.append(x** 2 ) 
    return result 

loop_time = timeit.timeit( 'for_loop()' , globals = globals (), number=n_elements) 
print ( f"For 循环:{loop_time: .5 f}秒" )

输出:

列表理解:0.20256 秒
For 循环:2.12603 秒

现在让我们设置n_elements=100000

列表理解:0.20954 秒
For 循环:21.47131 秒

使用列表推导可使n_elements=100000速度提高 100 倍。

我们曾经timeit比较过列表推导和 for 循环的运行时间。通过多次迭代测量两种实现的运行时间,我们可以利用这项技术来决定使用哪种方法。

2. 使用内存分析器测量空间复杂度

Python 中的库memory_profiler允许您测量代码的内存使用情况。它提供有关程序中不同点的内存消耗的详细信息,以便我们识别内存密集型操作。

# 示例:使用 memory_profiler 测量内存使用情况
from memory_profiler import profile 

@profile 
def  my_func (): 
    a = [ 1 ] * ( 10 ** 6 ) 
    b = [ 2 ] * ( 2 * 10 ** 7 ) 
    del b 
    return a 

if __name__ == '__main__' : 
    my_func()

输出:

行号内存使用量 增量 出现次数 行内容
================================================================= 
     3    38.816 MiB    38.816 MiB            1    @profile 
     4                                          def  my_func (): 
     5    46.492 MiB     7.676 MiB            1        a = [ 1 ] * ( 10 ** 6 ) 
     6   199.117 MiB   152.625 MiB            1        b = [ 2 ] * ( 2 * 10 ** 7 ) 
     7    46.629 MiB - 152.488 MiB            1        del b 
     8    46.629 MiB     0.000 MiB            1        return a

您必须安装该memory_profiler包并执行该脚本。例如:

conda 安装 memory_profiler

上面,@profile装饰器逐行提供了内存使用情况的细分,让您可以精确定位内存消耗的位置并进行相应的优化。

3. 结合时间和空间分析

有时,需要同时分析时间和空间复杂度才能全面了解算法的性能。py-spy和等工具vprof可以提供结合时间和内存使用情况的可视化效果,让您更深入地了解代码在不同条件下的表现。

# 示例:使用 vprof 进行可视化分析
import vprof 

def  sample_function (): 
    data = [x** 2  for x in  range ( 100000 )] 
    return  sum (data) 

if __name__ == '__main__' : 
    sample_function()

然后,使用组合内存和热点分析运行:

vprof-c cmhp 内存.py

默认浏览器将启动并显示以下内容。

编辑

编辑

编辑

浏览器中vprof分析器视图的屏幕截图。Chrome 无法正确显示分析器,因此在我的 Mac 上打开 Safari 到localhost:8000解决了这个问题。请注意,多个选项卡允许不同的视图。

在此示例中,vprof提供了内存使用情况和时间复杂度的直观细分,可帮助您识别瓶颈并更有效地优化代码。随着代码规模的扩大,此工具变得非常方便。

通用库中的复杂性分析

1. 了解 Pandas 的时间和空间复杂度

Pandas 是数据科学中的主要库,但了解其操作的复杂性可以帮助您编写更高效的代码。

  • 时间复杂度: .iloc[]像和这样的操作对于单元素访问.loc[]具有常数时间复杂度O (1),但是像操作可以根据所应用的函数从O ( n ) 到O ( n.apply() ² )不等。
# 示例:测量 Pandas 操作的时间复杂度
import pandas as pd 
import timeit 

# 创建一个大型 DataFrame
 df = pd.DataFrame({ 
    'A' : range ( 100000 ), 
    'B' : range ( 100000 ) 
}) 

# 计算简单操作的计时
time = timeit.timeit( "df['A'] + df['B']" , globals = globals (), number= 1000 ) 
print ( f"加法操作:{time: .5 f}秒" ) 
# 输出:
# 加法操作:0.03900 秒

  • 空间复杂度: Pandas DataFrames 对于大型数据集而言内存效率较高,但某些操作(例如创建新列或合并 DataFrames)会显著增加内存使用量。

2. NumPy 的复杂性

NumPy 的数组操作通常针对性能进行了优化,但了解它们的复杂性有助于选择正确的操作。

  • 时间复杂度: 大多数 NumPy 运算都是矢量化的,因此每个元素的时间复杂度为O (1)。但是,矩阵乘法等运算的时间复杂度可能为 O(n³),具体取决于实现方式。
# 示例:在 NumPy 中测量时间复杂度
import numpy as np 

# 创建一个大数组
arr = np.random.rand( 1000 , 1000 ) 

# 计时矩阵乘法
time = timeit.timeit( "np.dot(arr, arr)" , globals = globals (), number= 100 ) 
print ( f"矩阵乘法:{time: .5 f}秒" ) 

# 输出:
# 矩阵乘法:1.39620 秒

  • 空间复杂度: NumPy 数组比 Python 列表更节省内存,但像广播这样的大型操作会增加内存使用量。

3. Scikit-learn 的复杂性

Scikit-learn 提供了各种机器学习算法,每种算法都有时间和空间复杂度。了解这些复杂性有助于您为数据集选择正确的算法。

  • 时间复杂度: K最近邻 (KNN) 等算法的拟合时间复杂度为O (  ),而随机森林等基于树的方法的时间复杂度为O ( nlog⁡n )。
  • 空间复杂度: 决策树等算法的空间复杂度为On × m),其中n是样本的数量,m是特征的数量。
# 示例:测量 Scikit-learn 算法的时间复杂度
from sklearn.ensemble import RandomForestClassifier 
from sklearn.datasets import make_classification 
import timeit 

# 生成大型数据集
X, y = make_classification(n_samples= 10000 , n_features= 20 ) 

# 计时 RandomForestClassifier
 rf = RandomForestClassifier() 
time = timeit.timeit( "rf.fit(X, y)" , globals = globals (), number= 10 ) 
print ( f"Random Forest training: {time: .5 f} seconds" ) 

# 输出:
# Random Forest training: 23.06059 秒

4. TensorFlow 中的复杂性

TensorFlow 是深度学习中常用的库。了解前向传播和反向传播等操作的复杂性对于优化神经网络至关重要。

  • 时间复杂度: 训练神经网络所需的时间取决于层数、神经元数量和训练次数。例如,反向传播每个训练次数的时间复杂度为O ( n × m × l )。
  • 空间复杂度: 空间复杂度包括存储权重、偏差和激活。具有数百万个参数的大型模型很快就会消耗大量内存。
# 示例:在 TensorFlow 中测量训练时间
import tensorflow as tf 
from tensorflow.keras.layers import Dense 
from tensorflow.keras.models import Sequential 
import timeit 

# 创建一个简单的神经网络
model = Sequential([ 
    Dense( 128 ,activation= 'relu' ,input_shape=( 1000 ,)), 
    Dense( 64 ,activation= 'relu' ), 
    Dense( 10 ,activation= 'softmax' ) 
]) 

model.编译(优化器 = 'adam',loss = 'sparse_categorical_crossentropy'# 计时训练过程
时间 = timeit.timeit(“model.fit(X_train,y_train,epochs=10,batch_size=32,verbose=0)”,
                     globals = globals(),number= 1)
打印(f“训练时间:{time:.5 f}秒”)

优化技术

1.编写更高效代码的技巧

编写高效的代码通常需要进行一些细微但影响深远的更改。以下是一些提示:

A) 使用内置函数: Python 的内置函数通常用 C 实现,并针对性能进行了优化。尽可能使用这些函数,而不是编写循环。

# 示例:使用 sum() 代替循环
data = [ 1 , 2 , 3 , 4 , 5 ] 

# 效率较低
total = 0 
for x in data: 
    total += x 

# 效率较高
total = sum (data)   # 使用优化的 C 实现的 O(n) 
# 输出:
# 15

B) 最小化数据复制: 避免使用引用或就地操作进行不必要的数据复制。这可以降低时间和空间复杂度。

# 示例:使用 NumPy 进行就地操作
import numpy as np 

arr = np.array([ 1 , 2 , 3 , 4 , 5 ]) 

# 就地操作
arr += 1   # 就地修改数组,降低空间复杂度
print (arr) 
# 输出:
# [2 3 4 5 6]

C) 利用惰性求值: 仅在需要时使用生成器和惰性求值来处理数据,从而减少内存使用量

# 示例:使用生成器处理大数据
def  large_data_generator (): 
    for i in  range ( 1000000 ): 
        Yield i ** 2 

# 仅根据需要处理数据
for val in large_data_generator(): 
    if val > 100000 : 
        break

2. 降低时间和空间复杂度的常见 Python 实践

A) 避免使用全局变量: 全局变量会增加内存使用量,并使代码优化变得困难。相反,使用函数参数和返回值将数据本地化到需要的位置。

# 示例:用函数参数替换全局变量

# 使用全局变量效率较低
data = [ 1 , 2 , 3 , 4 , 5 ] 

def  process_data (): 
    global data 
    result = [x** 2  for x in data] 
    return result 

# 将数据作为参数传递效率更高
def  process_data_v2 ( data ): 
    result = [x** 2  for x in data] 
    return resultprocessed_data 

= process_data_v2([ 1 , 2 , 3 , 4 , 5 ]) 
print (processed_data) 
# 输出:
# [1, 4, 9, 16, 25]

通过作为函数参数传递data,您可以在函数内本地化数据管理,从而减少潜在的内存开销并使您的代码更易于调试和优化。

B) 使用生成器代替列表: 列表非常适合存储数据,但消耗的内存与其包含的元素数量成正比。另一方面,生成器会即时生成项目,并且每次只为一个项目占用内存。

# 示例:将列表推导式转换为生成器

# 列表推导式(使用更多内存)
 squares_list = [x** 2  for x in  range ( 1000000 )] 

# 生成器表达式(使用更少内存)
 squares_generator = (x** 2  for x in  range ( 1000000 )) 

# 访问生成器中的项目
for square in squares_generator: 
    if square > 100 : 
        break

生成器在处理大型数据集或流数据时非常方便,因为它们有助于降低代码的空间复杂度。

C) 用于itertools内存高效迭代:itertools模块提供了一组内存高效的工具,用于创建高效循环的迭代器。

# 示例:使用 itertools.chain 迭代多个列表
import itertools 

list1 = [ 1 , 2 , 3 ] 
list2 = [ 4 , 5 , 6 ] 

# 将两个列表链接在一起而不创建新列表
for item in itertools.chain(list1, list2): 
    print (item)

itertools.chain函数避免创建包含所有元素的中间列表,从而在组合大型可迭代对象时节省内存。

D) 优化前进行性能分析: 在优化代码之前,先对其进行性能分析以确定真正的瓶颈。过早优化可能会导致代码更复杂,且不会带来明显的好处。使用timeit和等工具memory_profiler来指导您的优化。

# 示例:在优化之前对函数进行性能分析
import timeit 

def  example_function (): 
    result = [x** 2  for x in  range ( 10000 )] 
    return result 

# 对函数进行性能分析,查看是否需要优化
time = timeit.timeit( 'example_function()' , globals = globals (), number= 1000 ) 
print ( f"Execution time: {time: .5 f} seconds" ) 

# 输出:
# Execution time: 0.21148 seconds

如果函数已经很高效,可能就不需要进一步优化了。只需专注于优化代码中真正影响性能的部分即可。

结论

掌握时间和空间复杂性不仅意味着编写更快的代码,还意味着创建可扩展、高效且强大的解决方案,以处理现实世界数据科学项目的复杂性。通过了解时间和空间之间的权衡,利用工具来衡量和优化性能,并在日常工作中应用最佳实践,您可以显著提高数据处理和模型训练管道的效率。

本博客为您提供了分析和改进算法性能的知识和工具。无论您是优化数据预处理、为您的任务选择最佳算法,还是确保您的机器学习模型能够有效扩展,这些概念都将帮助您更有效地实现目标。请记住,对复杂性的深刻理解是您在数据科学方面的竞争优势。

接下来,尝试回答附录中的练习吧!

附录:问题集

练习 1:使用惰性求值优化数据处理

问题:
您有一个处理大型数据集的管道。该管道涉及多个转换,包括过滤、映射和缩减。哪种方法更节省内存,为什么:使用 Python 列表还是使用 Python 生成器?请举一个例子来说明您的答案。

答:
使用 Python 生成器会更加节省内存。

解释:
Python 列表将所有元素存储在内存中,这在处理大型数据集时可能会出现问题,因为它需要与数据大小成比例的大量内存。另一方面,Python 生成器会动态生成项目,每次只生成一个项目,因此在任何给定时刻只会在内存中保留一个元素。

例子:

# 使用列表
数据 = [x for x in  range ( 1000000 )]   # 列表理解
filtered_data = [x for x in data if x % 2 == 0 ] 
mapped_data = [x * 2  for x infiltered_data ] 
reduced_data = sum (mapped_data) 
print (reduced_data)

在上面的代码中,每个列表推导都会在内存中创建一个新列表,从而导致使用率很高。

现在,使用生成器:

# 使用生成器
数据 = (x for x in  range ( 1000000 ))   # 生成器表达式
filtered_data = (x for x in data if x % 2 == 0 ) 
mapped_data = (x * 2  for x infiltered_data ) 
reduced_data = sum (mapped_data) 
print (reduced_data)

使用生成器,管道的每个步骤一次处理一个项目,而无需将所有中间结果存储在内存中,从而使内存使用量最小。

结论:
生成器的内存效率更高,因为它们允许您以流式方式处理数据,从而显著降低空间复杂度,尤其是在处理大型数据集时。

练习2:分析矩阵乘法的复杂度

问题:
将两个大小为n × n的方阵相乘。简单来说,我们使用三个嵌套循环。该算法的时间复杂度是多少?有没有更有效的方法来处理大型矩阵?比较时间复杂度。

答案:
朴素方法的时间复杂度。

朴素矩阵乘法算法的时间复杂度为 O(n³)。这一指标源于三个嵌套循环:最外面的两个循环对结果矩阵的行和列进行迭代,最里面的循环计算点积,对每个元素花费O ( n ) 时间。

解释:

def  naive_matrix_multiplication ( A, B ): 
    n = len (A) 
    C = [[ 0 ] * n for _ in  range (n)] 
    for i in  range (n): # O(n) 
        for j in  range (n): # O(n) 
            for k in  range (n): # O(n)
                 C[i][j] += A[i][k] * B[k][j]
    返回C

因此,该算法执行n ² 次点积,每次点积都需要O ( n ) 时间,因此时间复杂度为O ( n × n × n ) = O( n³ )。

更有效的方法:Strassen 算法

我们可以使用 Strassen 算法来降低大型矩阵的时间复杂度。这种分治方法在O ( n ².⁸¹) 时间内将两个矩阵相乘,比大型矩阵的简单O ( n ³) 更快。

解释:

施特拉森算法减少了合并较小子矩阵所需的乘法次数,从而改善了整体时间复杂度。但是,该算法实现起来更复杂,常数因子也更高,因此对于较小的矩阵来说效率较低。

结论:

斯特拉森算法为大型矩阵提供了一种更有效的方法,将时间复杂度从O ( n ³) 降低到大约O ( n ².⁸¹)(请注意,这读作 n^{2.81})。但是,对于较小的矩阵或更简单的情况,简单的O ( n ³) 方法通常更实用。

练习 3:递归函数的空间复杂度(中级)

问题:
考虑以下计算第 n 个斐波那契数的递归 Python 函数:

def  fibonacci ( n ):
    如果n <= 1 :
        返回n
    否则:
        返回fibonacci(n - 1 ) + fibonacci(n - 2 )

  1. 这个函数的时间复杂度是多少?
  2. 空间复杂度是多少?如何改进?

回答

时间复杂度:

这个朴素递归斐波那契函数的时间复杂度为 O(2ⁿ)。这是因为每次函数调用都会产生两次调用,从而导致调用次数呈指数增长n

解释:

该函数通过多次重新计算相同的斐波那契数来完成大量冗余工作。该算法的时间复杂度呈指数级增长,因此对于较大的 值来说并不实用n

空间复杂度:

空间复杂度为O ( n ),因为递归树的深度为n,每次递归调用都会向调用堆栈添加一个框架。

改进

可以通过记忆或将递归函数转换为迭代函数来提高空间复杂度。

示例:通过记忆来提高空间复杂度

def  fibonacci_memo ( n, memo={} ):
    如果n在memo 中:
        返回memo[n]
    如果n <= 1:
        返回n 
    memo[n] = fibonacci_memo(n - 1 , memo) + fibonacci_memo(n - 2 , memo)
    返回memo[n]

通过将之前计算的斐波那契数存储在字典 ( memo) 中,可以避免冗余计算,并将时间复杂度降低到O ( n )。由于存储的值,空间复杂度仍为O ( n ),但调用堆栈不再随 而增长n

朴素递归斐波那契函数由于其指数时间复杂度而效率低下。使用记忆化,您可以将时间复杂度提高到O ( n )。但是,由于存储了先前计算的值,空间复杂度仍为O ( n )。或者,迭代解决方案的时间复杂度为O ( n ),空间复杂度为O (1)。

练习 4:优化高维特征选择(高级)

问题:
您正在处理一个包含 1,000,000 个样本和 10,000 个特征的高维数据集。您计划使用递归特征消除 (RFE) 和线性支持向量机 (SVM) 来选择前 100 个特征。RFE 算法以递归方式删除最不重要的特征并重新训练模型,直到达到所需的特征数量。假设训练的线性 SVM 为O ( n × m ),其中n是样本数,m是特征数,请分析在此数据集上使用 RFE 的时间复杂度。您能否建议一种更有效的特征选择方法?其时间复杂度是多少?

回答:

使用 SVM 的 RFE 的时间复杂度:

  • 在最坏的情况下,RFE 需要重新训练 SVM mmm 次,其中 mmm 是特征的数量。
  • 在第一次迭代中,SVM 对所有 10,000 个特征进行训练,时间复杂度为On × 10,000)。
  • 在第二次迭代中,SVM 对 9,999 个特征进行训练,依此类推,直到只剩下 100 个特征。
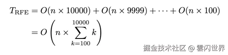
  • 总体时间复杂度可以表示为每次迭代的复杂度之和:

编辑

  • 可以使用算术级数求和的公式来简化求和:

编辑

因此,在该数据集上使用 SVM 的 RFE 的时间复杂度为 O(n × 10⁸),这在计算上极其昂贵,尤其是当n的值较大时(在本例中为 1,000,000)。

更有效的方法

除了使用 RFE,更有效的方法可能是使用主成分分析 (PCA) 来降低维数。PCA 将数据投影到低维空间,同时保留数据的方差,这在实践中通常与特征选择一样有效。

PCA 的时间复杂度
PCA 的时间复杂度为 O(m² × n ),其中 mmm 是特征数量,n是样本数量。由于我们想要将 10,000 个特征减少到 100 个,因此 PCA 会将时间复杂度从O ( n × 10⁸) (RFE) 降低到大约 O(108×100)=O(1010)O(10⁸ \times 100) = O(10^{10})O(108×100)=O(1010)。

PCA 的空间复杂度
PCA 还提供了比 RFE 更好的空间复杂度,因为它不需要在每次迭代中存储特征集的多个版本。

总结。 就时间和空间复杂度而言, PCA ****在高维数据集的降维方面比 RFE 高效得多。虽然 RFE 可以彻底选择最相关的特征,但其O ( n × 10⁸) 时间复杂度对于大型数据集来说是令人望而却步的。PCA 的时间复杂度为O ( m ² × n ),在这种情况下提供了更实用的解决方案,主要是当目标是将特征集从 10,000 个减少到 100 个时。

练习 5:大数据中 KNN、KD-Tree 和 LSH 的 NN 搜索(高级)

问题:
您正在构建一个实时推荐系统,该系统使用最近邻 (NN) 搜索根据用户的偏好查找相似用户。数据集包含 500 万用户和 1000 万个项目,以稀疏矩阵表示,其中每个条目表示用户与项目的交互。该系统需要每秒处理 100,000 个相似性查询。

有三种可能的方法来实施最近邻搜索:

  1. 强力 KNN是一种直接方法,将每个查询点与数据集中的每个点进行比较。
  2. KD-Tree是一种空间分区数据结构,通过以树结构组织点来减少搜索空间。
  3. 局部敏感哈希 (LSH) 是一种近似方法,将相似的点哈希到相同的存储桶中,从而减少所需的比较次数。

比较每种方法的时间和空间复杂度。哪种方法最适合这种情况?为什么?

回答:

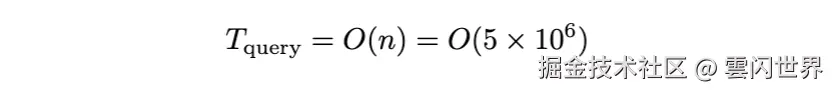
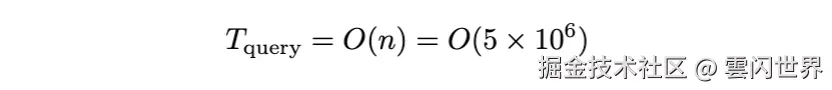
1. 暴力 KNN

时间复杂度:

对于每个查询,强力 KNN 计算查询点与所有其他数据点之间的距离。

每个查询的时间复杂度:On × m),其中n = 5×10⁶(用户数量)和m =10⁷(项目数量)。

编辑

对于每秒 100,000 个查询:

编辑

空间复杂度:

  • 空间复杂度为

编辑

结论:
由于时间复杂度高,强力 KNN 不适用于实时应用,因此对于大规模数据集来说不切实际。

2. KD树

时间复杂度:

KD-Tree 对于低维空间(通常d ≤ 20)有效,但在高维空间中性能会下降。

对于低维度,查询的时间复杂度为O (log n ),但是对于高维度,查询的时间复杂度降为O ( n )(由于“维数灾难”)。

鉴于高维度(1000 万个项目),适当的时间复杂度更接近O ( n )。

编辑

对于每秒 100,000 个查询:

编辑

空间复杂度:

KD-Tree需要O ( n )空间来存储树结构。

编辑

结论:
KD-Tree 对于非常高维的空间不太实用,因为其查询时间接近线性复杂度,类似于蛮力。

3. 局部敏感哈希(LSH)

时间复杂度:

  • LSH 将点散列到存储桶中,其中相似的点很有可能位于同一个存储桶中。
  • 每个查询的时间复杂度:

编辑

其中k是哈希函数的数量,L是哈希表的数量。

  • 假设k = 10 且L = 50:

编辑

  • 对于每秒 100,000 个查询:

编辑

空间复杂度:

  • LSH 需要额外的空间来存储哈希表。

编辑

结论:
LSH 在时间和空间复杂度之间提供了最佳的平衡,使其成为最适合需要实时查询的高维、大规模数据集的方法。

最终比较和建议

暴力 KNN:

  • 时间复杂度:每个查询 O(5 × 10¹³)
  • 空间复杂度: O(5×10¹³)
  • 适用性: 不适用于大规模实时应用。

KD树:

  • 时间复杂度:每个查询 O(5 × 10⁶)(高维度时会降低)
  • 空间复杂度: O(5 × 10¹³)
  • 适用性: 对于低维空间,该方法比蛮力算法更好,但在高维空间中效果较差。

局部敏感哈希(LSH):

  • 时间复杂度:每个查询 O(2.2 × 10³)
  • 空间复杂度: O(2.5×10⁸)
  • 适用性: 对于高维、大规模、实时应用来说,这是最有效和可扩展的选项。

建议:
对于需要实时查询的高维数据集,LSH 是最佳选择。它大大降低了时间复杂度,同时保持了空间的高效性,使其成为此场景下实现实时推荐系统的最佳方法。

感谢关注雲闪世界。(Aws解决方案架构师vs开发人员&GCP解决方案架构师vs开发人员)

 订阅频道(t.me/awsgoogvps_…)
TG交流群(t.me/awsgoogvpsHost)