面对英超联赛,我用机器学习构建了一款足球预测系统

590 阅读7分钟

引言

在足球数据分析中,机器学习技术的应用正成为提升比赛预测准确性的核心手段。通过整合历史数据与先进算法,可以更精确地预测比赛结果并提出战术建议。本文将深入探讨基于机器学习的足球预测模型系统的构建,实现机器学习AI对足球的高概率预测。

随着传统领域和产业的数字化转型,以及AI对各行业的介入,机器学习在团队过程功能分析中展现出巨大的潜力。在足球领域,数字化和传感器技术的不断进步导致数据量迅速增长。基于此的足球预测系统也被成功构建出来,目前已成为足球预测的首选工具。

研究方法

1.数据采集

要准确预测比赛结果,首先需要收集有关比赛球队的各类数据。使用网络爬虫技术可以帮助实现这一目标,自动化地提取网站上的数据、图像、文字等信息。通过迭代或递归的方式,爬虫能够高效地抓取和整理所需的信息。

2.数据可视化

worldliveball等软件可对各时间节点传球网络等进行可视化。在网络中,节点代表参与者,其数量与球员号码相对应。节点的圆圈大小与其度数相关,度数指的是传球的频率,因此传球次数越多,圆圈也就越大。此外,节点的度中心性反映了球员的重要性,度数和传球次数之间存在正相关关系。由于传球是单向的,这意味着信息从一个球员传递到另一个球员。链接的宽度表示权重,反映了传递次数,次数越多,连接越显著。每个节点的位置是根据其与其他球员的平均传球位置来确定的,如下图所示:

image.png

3.社会网络分析

①建立一个整体网络,构建一个“传球流”的定向图,其中节点代表球队中的每个球员。根据球员之间成功传球的次数对网络中的弧线进行加权,弧线的权重与传球频率相关。这样,每个球员的节点通过加权弧线连接到其他球员节点。

②对具体比赛的数据进行分析,计算每个时间点上球员节点的加权邻接矩阵,以及中心性和最大半径等指标。

③确定网络结构模式,包括核心球员和外围球员,通过分析这些球员及其关系来识别核心和外围角色。同时,分析三节点子网的配置,识别其类型及发生频率,以了解二元和三元特定配置的分布情况。

系统模型构建

团队配置包括二元和三元配置。二元配置涉及两个玩家之间的交互,而三元配置则涵盖三个玩家之间的交互。为了深入分析玩家的传球模式,可以关注三个节点构成的子网。在这个子网中,三个节点之间的每一对形成二元配置,同时,这三个节点的组合也构成了一个三元配置。

1.度中心性

度中心性是一个用来评估球员参与度的指标。它反映了每位球员与队友之间的连接数量。度中心性越高,意味着该球员的活动范围越广,与其他队员的联系也越频繁。设ni是加权有向图G的n个球员位置顶点,标准化中心度指标是比例与相邻的顶点的权重百分比,计算公式为:

image.png

其中ki是顶点的度中心指数,ni和aij是G的加权邻接矩阵的元素。

2.亲近中心性

亲近中心性是一个用来量化球员之间接近程度的指标。得分越高,说明该球员能够通过更少的传球接触到更多的队友。给定一个带n个顶点的加权有向图G。顶点in的标准化接近度指数的计算公式如下:

image.png

其中dw(ni、nj)是ni和nj之间的测地距离。

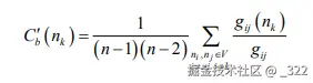
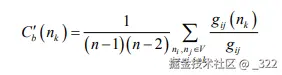
3.压力中心性

压力中心性是一个衡量节点在团队运动中承受压力的指标,例如传球给队友。这一指标揭示了球员在功能上如何将互动中的队员集中起来。压力中心性得分越高,意味着球员在进攻连接中的作用和相关性也越强。

给定一个加权有向图G=(V,E),其应力中心指数的计算公式为:

image.png

其中g(nk)是ni和nj之间通过nk的最短路径数。

4.中介中心性

中介中心性衡量的是球员在传球网络中的关键作用。得分较高的球员通常是那些经常位于队友之间的关键节点。例如,BC得分高的球员在将球传给其他人时可能很重要。其中介中心性的计算公式为:

image.png

5.偏心中心性

偏心中心性是一个衡量球员在队伍网络中与最远队友之间距离的指标。相较于网络的平均偏心率,偏心中心性较高的球员要么更容易受到其他队员的影响,要么更容易影响其他队员。其中介中心性的计算公式为:

image.png

6.度权威

度权威是一个衡量球员在球队中传球接收频率的指标。中心性得分越高,表示队友更倾向于将球传给这个球员,使其在进攻时比其他球员更频繁地获得球权。计算公式为:

image.png

7.邻近权威

邻近权威衡量的是球员与队友之间的接近程度。如果一个球员与其队友距离较近,这意味着在传球时,队友更倾向于与该球员配合。

给定一个具有n个球员位置的加权有向图G,令in为图G的一个顶点。顶点in的邻近权威指数p(ni)是可以到达ni的顶点与这些顶点到ni的平均距离的比例,由下公式决定:

image.png

通过数据清洗、整合和挖掘,将数据应用到上述指标计算公式中,得出了各项指标的具体结果。考虑到每个指标的测量维度和依据,本文将这些小指标统一归类为四个主要指标:导向性、凝聚性、协调性和受欢迎性,分类结果如图表所示。由于同类小指标可能存在信息重叠,本文对每类小指标进行标准化处理,并以等权重的方式计算,最终得出大指标的值。

image.png

AI系统机器学习预测足球实践

模型构建完毕之后便是系统的实施,以AI机器学习为基准构建一款智能足球预测系统。

1.AI机器学习预测接近80%预测率

以worldliveball为例,经过机器学习算法对预测模型的深度构建,以及泊松分布、蒙特卡洛、埃罗预测法的实施应用,目前该系统的预测准确率在80%左右,并且由于计算处理能力的提升,以及欧足协官方足球数据资源的应用,该系统的足球赛事预测范围广泛,包括但不限于欧协联、欧罗巴杯、英超、西甲、欧洲杯等。

image.png

2.足球预测拓展:盘面监控分析

除了基本的足球预测功能之外,该系统还拓展增添了赛事监控功能,该功能可以对足球比赛的盘进行数据监控,监控其比分、让球、大球的变动,记录其盘的掉水、升盘情况的变化,俗话说“看球先看盘”,从其中数据的变化,我们可以了解到资金面对结果的倾向,从而判断比赛接下来的进球可能,把握比赛的趋势。

image.png

总结

我们不难看出,机器学习能够处理众多种类的数据信息,并将其提炼为模型构建所需要的元素,同时也可以将泊松分布、蒙特卡洛、埃罗预测法等方法融入进去,共同训练预测模型,其构成的足球预测概率已达到80%左右,该系统现分享给大家,一共大家一同探讨进步。

AI足球预测系统分享

提取码:yyw5