题目 有边数限制的最短路
给定一个 n 个点 m 条边的有向图,图中可能存在重边和自环, 边权可能为负数。
请你求出从 1 号点到 n号点的最多经过 k条边的最短距离,如果无法从 1号点走到 n号点,输出 impossible。
注意:图中可能 存在负权回路 。
输入格式 第一行包含三个整数 n,m,k。
接下来 m行,每行包含三个整数 x,y,z,表示存在一条从点 x到点 y的有向边,边长为 z。
点的编号为 1∼n。
输出格式 输出一个整数,表示从 1号点到 n号点的最多经过 k条边的最短距离。
如果不存在满足条件的路径,则输出 impossible。
数据范围 1 ≤ n,k ≤ 500, 1 ≤ m ≤ 10000, 1 ≤ x,y ≤ n, 任意边长的绝对值不超过 10000。
输入样例: 3 3 1 1 2 1 2 3 1 1 3 3 输出样例: 3
算法分析
1、问题:为什么Dijkstra不能使用在含负权的图中?

(这是以前错误的分析,若看完这个例子分析觉得正确的说明对最短路理解得还不够透彻,这里不做删除)
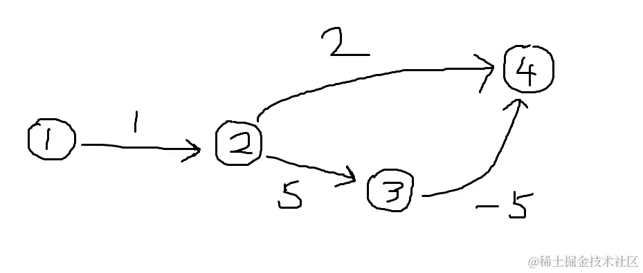
分析:如图所示:
若通过Dijkstra算法可以求出从1号点到达4号点所需的步数为3 (每次选择离源点最短距离的点更新其他点)
但实际上从 1 号点到达 4 号点所需步数为 1 (1 –> 2 –> 3),因此不能使用 Dijkstra 解决含负权图的问题

正确的分析
Dijkstra算法的3个步骤
- 找到当前未标识的且离源点最近的点
t - 对
t号点点进行标识 - 用
t号点更新其他点的距离 反例
结果:
dijkstra算法在图中走出来的最短路径是1 -> 2 -> 4 -> 5,算出 1 号点到 5 号点的最短距离是2 + 2 + 1 = 5,然而还存在一条路径是1 -> 3 -> 4 -> 5,该路径的长度是5 + (-2) + 1 = 4,因此 dijkstra 算法失效
dijkstra详细步骤
- 初始
dist[1] = 0 - 找到了未标识且离源点
1最近的结点1,标记1号点,用1号点更新其他所有点的距离,2号点被更新成dist[2] = 2,3号点被更新成dist[3] = 5 - 找到了未标识且离源点
1最近的结点2,标识2号点,用2号点更新其他所有点的距离,4号点被更新成dist[4] = 4 - 找到了未标识且离源点
1最近的结点4,标识4号点,用4号点更新其他所有点的距离,5号点被更新成dist[5] = 5 - 找到了未标识且离源点
1最近的结点3,标识3号点,用3号点更新其他所有点的距离,4号点被更新成dist[4] = 3 - 结束
- 得到
1号点到5号点的最短距离是5,对应的路径是1 -> 2 -> 4 -> 5,并不是真正的最短距离
2、什么是bellman - ford算法?
Bellman - ford 算法是求含负权图的单源最短路径的一种算法,效率较低,代码难度较小。其原理为连续进行松弛,在每次松弛时把每条边都更新一下,若在 n-1 次松弛后还能更新,则说明图中有负环,因此无法得出结果,否则就完成。 (通俗的来讲就是:假设 1 号点到 n 号点是可达的,每一个点同时向指向的方向出发,更新相邻的点的最短距离,通过循环 n-1 次操作,若图中不存在负环,则 1 号点一定会到达 n 号点,若图中存在负环,则在 n-1 次松弛后一定还会更新)
3、bellman - ford算法的具体步骤
for n次
for 所有边 a,b,w (松弛操作)
dist[b] = min(dist[b],back[a] + w)
注意:back[] 数组是上一次迭代后 dist[] 数组的备份,由于是每个点同时向外出发,因此需要对 dist[] 数组进行备份,若不进行备份会因此发生串联效应,影响到下一个点
4、在下面代码中,是否能到达n号点的判断中需要进行if(dist[n] > INF/2)判断,而并非是if(dist[n] == INF)判断,原因是INF是一个确定的值,并非真正的无穷大,会随着其他数值而受到影响,dist[n]大于某个与INF相同数量级的数即可
5、bellman - ford算法擅长解决有边数限制的最短路问题
时间复杂度 O(nm) 其中n为点数,m为边数
C ++ 代码
#include <cstring>
#include <iostream>
#include <algorithm>
using namespace std;
const int N = 510, M = 10010;
struct Edge
{
int a, b, c;
}edges[M];
int n, m, k;
int dist[N];
int last[N];
void bellman_ford()
{
memset(dist, 0x3f, sizeof dist);
dist[1] = 0;
for (int i = 0; i < k; i ++ )
{
memcpy(last, dist, sizeof dist);
for (int j = 0; j < m; j ++ )
{
auto e = edges[j];
dist[e.b] = min(dist[e.b], last[e.a] + e.c);
}
}
}
int main()
{
scanf("%d%d%d", &n, &m, &k);
for (int i = 0; i < m; i ++ )
{
int a, b, c;
scanf("%d%d%d", &a, &b, &c);
edges[i] = {a, b, c};
}
bellman_ford();
if (dist[n] > 0x3f3f3f3f / 2) puts("impossible");
else printf("%d\n", dist[n]);
return 0;
}
Java 代码
import java.io.BufferedReader;
import java.io.IOException;
import java.io.InputStreamReader;
import java.util.Arrays;
public class Main {
static int N = 510;
static int M = 100010;
static int n;//总点数
static int m;//总边数
static int k;//最多经过k条边
static int[] dist = new int[N];//从1到点到n号点的距离
static Node[] list = new Node[M];//结构体
static int INF = 0x3f3f3f3f;
static int[] back = new int[N];//备份dist数组
public static void bellman_ford()
{
Arrays.fill(dist, INF);
dist[1] = 0;
for(int i = 0;i < k;i++)
{
back = Arrays.copyOf(dist, n + 1);//由于是从1开始存到n
for(int j = 0;j < m;j++)
{
Node node = list[j];
int a = node.a;
int b = node.b;
int c = node.c;
dist[b] = Math.min(dist[b], back[a] + c);
}
}
if(dist[n] > INF/2) System.out.println("impossible");
else System.out.println(dist[n]);
}
public static void main(String[] args) throws IOException {
BufferedReader reader = new BufferedReader(new InputStreamReader(System.in));
String[] str1 = reader.readLine().split(" ");
n = Integer.parseInt(str1[0]);
m = Integer.parseInt(str1[1]);
k = Integer.parseInt(str1[2]);
for(int i = 0;i < m;i++)
{
String[] str2 = reader.readLine().split(" ");
int a = Integer.parseInt(str2[0]);
int b = Integer.parseInt(str2[1]);
int c = Integer.parseInt(str2[2]);
list[i] = new Node(a,b,c);
}
bellman_ford();
}
}
class Node
{
int a, b, c;
public Node(int a,int b,int c)
{
this.a = a;
this.b = b;
this.c = c;
}
}