GAMES101现代计算机图形学入门(一)

77 阅读1分钟

image.png

向量

乘法

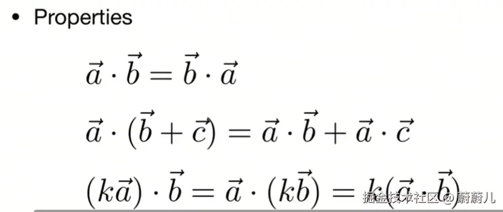
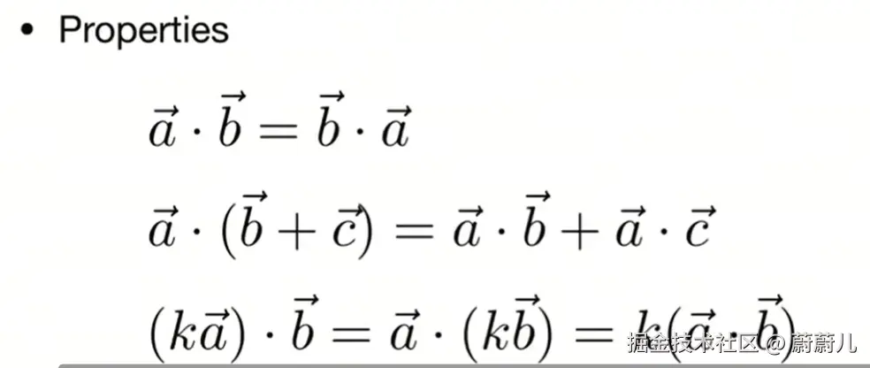
点乘

image.png

image.png 在笛卡尔坐标系中:

image.png 点乘在图形学中的应用: 1.找到两个向量的夹角 2.把一个向量进行平行和垂直的分解 image.png

3.告诉两个向量的方向性(相同,相反,垂直);两个向量的接近性 (应用场景:光线反射和眼睛看到的效果)

差乘

image.png

image.png

在坐标系中:

image.png

在图形学中的应用: 1.判定左右,内外 光栅化

定义坐标系

image.png

矩阵

乘法

数-矩阵相乘 矩阵-矩阵相乘

image.png

矩阵-列向量相乘

转置