蜂窝网络下行链路的覆盖率和速率性能matlab仿真分析

96 阅读5分钟

1.程序功能描述 参考如下文献对蜂窝网络下行链路的覆盖率和速率性能进行数值仿真。

6ba675581a52fda6c9c2cb7789280a21_watermark,size_14,text_QDUxQ1RP5Y2a5a6i,color_FFFFFF,t_100,g_se,x_10,y_10,shadow_20,type_ZmFuZ3poZW5naGVpdGk=.png

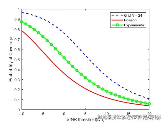
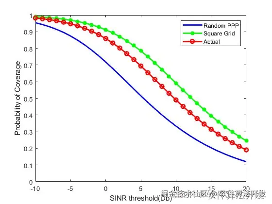
    蜂窝网络通常通过将基站放置在网格上来建模,移动用户要么随机分布,要么确定放置。这些模型已被广泛使用,但存在高度理想化和不易处理的问题,因此使用复杂的系统级模拟来评估覆盖率/停机概率和速率。长期以来,人们一直希望采用更易于操作的模型。我们使用随机几何为多小区信号干扰加噪声比(SINR)开发了新的通用模型。在非常一般的假设下,下行链路SINR-CCDF的搜索表达式(相当于覆盖概率)涉及可快速计算的积分,并且在一些实际的特殊情况下,可以简化为公共积分(例如,Q函数),甚至简化为简单的闭式表达式。我们还从静态频率重用中导出平均速率,然后导出覆盖增益(和平均速率损耗)。我们将我们的覆盖率预测与网格模型和实际基站部署进行了比较,并观察到所提出的模型是悲观的(覆盖率的下限),而网格模型是乐观的,两者的准确度大致相同。除了更易于处理之外,所提出的模型还可以更好地捕捉基站在未来网络中日益机会主义和密集的位置。

2.测试软件版本以及运行结果展示 MATLAB2022a版本运行

2.jpeg

3.jpeg

4.jpeg

5.jpeg

3.核心程序

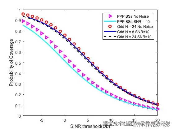
`clc; clear; close all; warning off; addpath(genpath(pwd)); rng('default')

%% SINR = [-11:1:20]; beta1 = 10.^(SINR/10); alpha = 4;

%without noise Pc1 = zeros(size(SINR));

for i = 1:length(SINR) i f = func_Pc_cal1(beta1(i)); Pc1(i) = f; end figure; plot(SINR,Pc1,'m>','linewidth',2); hold on

%with noise SNR = 10; Pc2 = zeros(size(SINR)); for i = 1:length(SINR) i f = func_Pc_cal2(beta1(i),SNR); Pc2(i) = f; end plot(SINR,Pc2,'c','linewidth',2); hold on

%%%%%%%%%%%%%%%%%%%%%%%%%%%%%%%%%%%%%%%%%%%%%%%%%%%%%%%%%%%%%%%%%%%%%%%%%%% %% Pc3 = zeros(size(SINR));

for i = 1:length(SINR) i f = func_Pc_cal3(beta1(i)); Pc3(i) = f; end plot(SINR,Pc3,'ro','linewidth',2); hold on

SNR = 10; Pc4 = zeros(size(SINR)); for i = 1:length(SINR) i f = func_Pc_cal4(beta1(i),SNR); Pc4(i) = f; end plot(SINR,Pc4,'b','linewidth',2); hold on axis([-9.1,20,0,1]);

SNR = 10; Pc5 = zeros(size(SINR)); for i = 1:length(SINR) i f = func_Pc_cal5(beta1(i),SNR); Pc5(i) = f; end plot(SINR,Pc5,'k--','linewidth',2); hold on axis([-9.1,20,0,1]);

legend('PPP BSs No Noise','PPP BSs SNR = 10','Grid N = 24 No Noise','Grid N = 8 SNR=10','Grid N = 24 SNR=10'); xlabel('SINR threshold(Db)'); ylabel('Probability of Coverage'); `

4.本算法原理 蜂窝网络下行链路的覆盖率和速率性能是移动通信网络中的重要指标,对于网络规划和优化具有重要意义。

一、蜂窝网络下行链路模型

   蜂窝网络下行链路是指从基站到用户设备的通信链路。在蜂窝网络中,基站负责向用户设备发送信号,用户设备接收信号并进行处理。下行链路的性能受到多种因素的影响,包括基站发射功率、信道衰落、干扰等。

二、覆盖率性能

   覆盖率是指网络中用户设备能够成功接收到基站信号的概率。覆盖率性能是衡量网络服务质量的重要指标之一。在蜂窝网络中,覆盖率性能受到多种因素的影响,包括基站发射功率、信道衰落、干扰等。

基站发射功率 基站发射功率是影响覆盖率性能的重要因素之一。发射功率越大,覆盖范围越广,但是也会增加干扰和能耗。发射功率需要根据网络需求和覆盖范围进行合理设置。

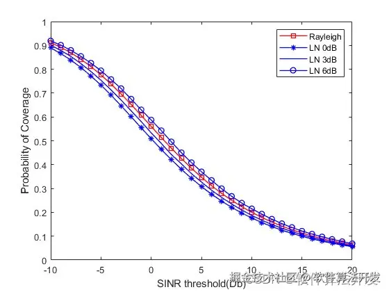
信道衰落 信道衰落是指信号在传播过程中受到的衰减和失真。信道衰落会导致信号质量下降,从而影响覆盖率性能。信道衰落可以通过多种方法进行补偿和抑制,例如采用分集技术、功率控制等。

干扰 干扰是指来自其他信号源的干扰信号对有用信号的干扰。在蜂窝网络中,干扰主要来自于其他基站的同频干扰和其他用户设备的干扰。干扰会导致信号质量下降,从而影响覆盖率性能。干扰可以通过多种方法进行抑制和消除,例如采用频率复用、功率控制等。

三、速率性能

   速率性能是指网络中用户设备能够成功接收到的数据传输速率。速率性能是衡量网络服务质量的重要指标之一。在蜂窝网络中,速率性能受到多种因素的影响,包括信道带宽、信噪比、调制方式等。

信道带宽 信道带宽是指信道能够传输的信号的频率范围。信道带宽越宽,传输速率越高,但是也会增加信号处理的复杂度和能耗。信道带宽需要根据网络需求和传输速率进行合理设置。

信噪比 信噪比是指接收到的有用信号与干扰信号之间的比值。信噪比越高,传输速率越高,但是也会增加信号处理的复杂度和能耗。信噪比可以通过多种方法进行提高,例如采用功率控制、降噪技术等。