专题十二:卡特兰数

155 阅读3分钟

1 不同的二叉搜索树

1.1 题目链接

96. 不同的二叉搜索树

1.2 题目描述

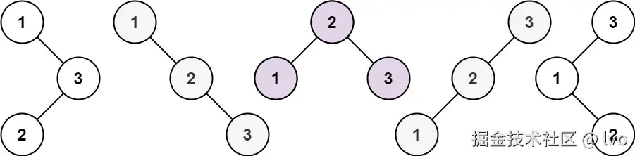
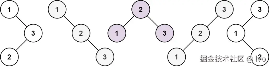
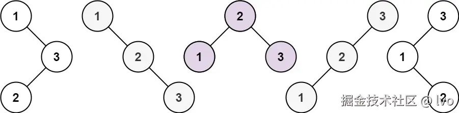
给你一个整数 n ,求恰由 n 个节点组成且节点值从 1 到 n 互不相同的 二叉搜索树 有多少种?返回满足题意的二叉搜索树的种数。

 

示例 1:

输入: n = 3
输出: 5

示例 2:

输入: n = 1
输出: 1

 

提示:

  • 1 <= n <= 19

1.3 解法(动态规划)

算法思路

这道题属于「卡特兰数」的⼀个应⽤,同样能解决的问题还有「合法的进出栈序列」、「括号匹配的括号序列」、「电影购票」等等。如果感兴趣的同学可以「百度」搜索卡特兰数,会有很多详细的介绍。

  1. 状态表⽰:

    • 这道题的状态表⽰就是根据「拆分出相同⼦问题」的⽅式,抽象出来⼀个状态表⽰:
    • 当我们在求个数为 n 的 BST 的个数的时候,当确定⼀个根节点之后,左右⼦树的结点「个数」也确定了。此时左右⼦树就会变成相同的⼦问题,因此我们可以这样定义状态表⽰:
    • dp[i] 表⽰:当结点的数量为 i 个的时候,⼀共有多少颗 BST 。
    • 难的是如何推导状态转移⽅程,因为它跟我们之前常⻅的状态转移⽅程不是很像。
  2. 状态转移⽅程:

    • 对于 dp[i] ,此时我们已经有 i 个结点了,为了⽅便叙述,我们将这 i 个结点排好序,并且编上 1, 2, 3, 4, 5.....i 的编号。
    • 那么,对于所有不同的 BST ,我们可以按照下⾯的划分规则,分成不同的 i 类:「按照不同的头结点来分类」。分类结果就是:
      • i. 头结点为 1 号结点的所有 BST
      • ii. 头结点为 2 号结点的所有 BST
      • iii. ......
    • 如果我们能求出「每⼀类中的 BST 的数量」,将所有类的 BST 数量累加在⼀起,就是最后结果。
    • 接下来选择「头结点为 j 号」的结点,来分析这 i 类 BST 的通⽤求法。
    • 如果选择「 j 号结点来作为头结点」,根据 BST 的定义:
      • i. j 号结点的「左⼦树」的结点编号应该在 [1, j - 1] 之间,⼀共有 j - 1 个结点。
        • 那么 j 号结点作为头结点的话,它的「左⼦树的种类」就有 dp[j - 1] 种(回顾⼀下我们 dp 数组的定义哈);
      • ii. j 号结点的「右⼦树」的结点编号应该在 [j + 1, i] 之间,⼀共有 i - j 个结点。那么 j 号结点作为头结点的话,它的「右⼦树的种类」就有 dp[i - j] 种;
    • 根据「排列组合」的原理可得: j 号结点作为头结点的 BST 的种类⼀共有 dp[j - 1] * dp[i - j] 种!
    • 因此,我们只要把「不同头结点的 BST 数量」累加在⼀起,就能得到 dp[i] 的值:
      • dp[i] += dp[j - 1] * dp[i - j] ( 1 <= j <= i) 。「注意⽤的是 += ,并且 j 从 1 变化到 i 」。
  3. 初始化:

    • 我们注意到,每⼀个状态转移⾥⾯的 j - 1 和 i - j 都是⼩于 i 的,并且可能会⽤到前⼀个的状态(当 i = 1,j = 1 的时候,要⽤到 dp[0] 的数据)。因此要先把第⼀个元素初始化。
    • 当 i = 0 的时候,表⽰⼀颗空树,「空树也是⼀颗⼆叉搜索树」,因此 dp[0] = 1 。
  4. 填表顺序:

    根据「状态转移⽅程」,易得「从左往右」。

  5. 返回值:

    根据「状态表⽰」,我们要返回的是 dp[n] 的值。

1.4 C++算法代码:

class Solution {
public:
    int numTrees(int n) {
        vector<int> dp (n + 1);
        dp[0] = 1;
        for(int i = 1; i <= n; i++)
            for(int j = 1; j <= i; j++)
                dp[i] += dp[i - j] * dp[j - 1];
        return dp[n];
    }
};