MAT内存检测原理

500 阅读1分钟

1. 支配树

MAT提供了称为 支配树(Dominator Tree) 的对象图。支配树展示的是对象实例间的支配关系。在对象引用图中,所有指向对象B的路径都经过对象A,则认为对象A支配对象B。

image.png

2. 深堆和浅堆

  1. 支配树中对象本身占用的空间称之为浅堆(Shallow Heap)
  2. 支配树中对象的子树就是所有被该对象支配的内容,这些内容组成了对象的深堆(Retained Heap也称之为保留集(Retained Set )。深堆的大小表示该对象如果可以被回收,能释放多大的内存空间。

image.png

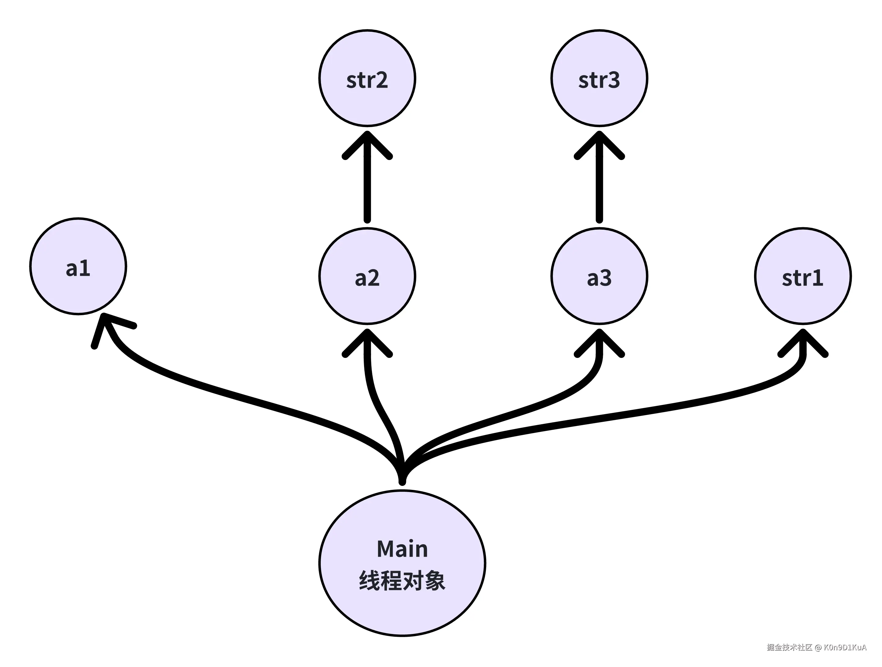
3. 案例

public class Main {
    public static void main(String[] args) {

        TestClass a1 = new TestClass();
        TestClass a2 = new TestClass();
        TestClass a3 = new TestClass();

        String s1 = "str1";
        String s2 = "str2";
        String s3 = "str3";

        a1.list.add(s1);

        a2.list.add(s1);
        a2.list.add(s2);

        a3.list.add(s3);
    }
}


class TestClass {
   public List<String> list;
}

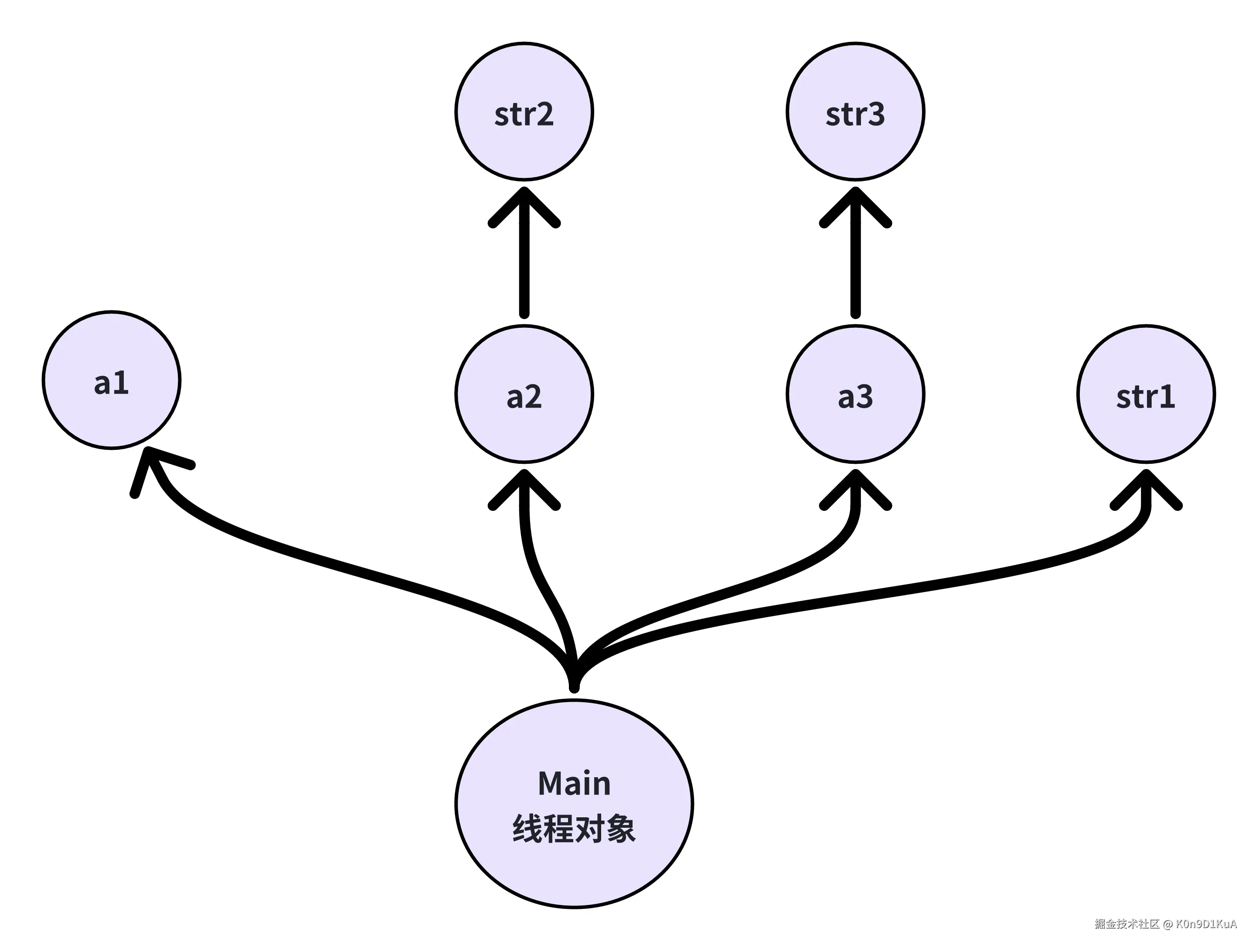
引用链:

ref_chain.png

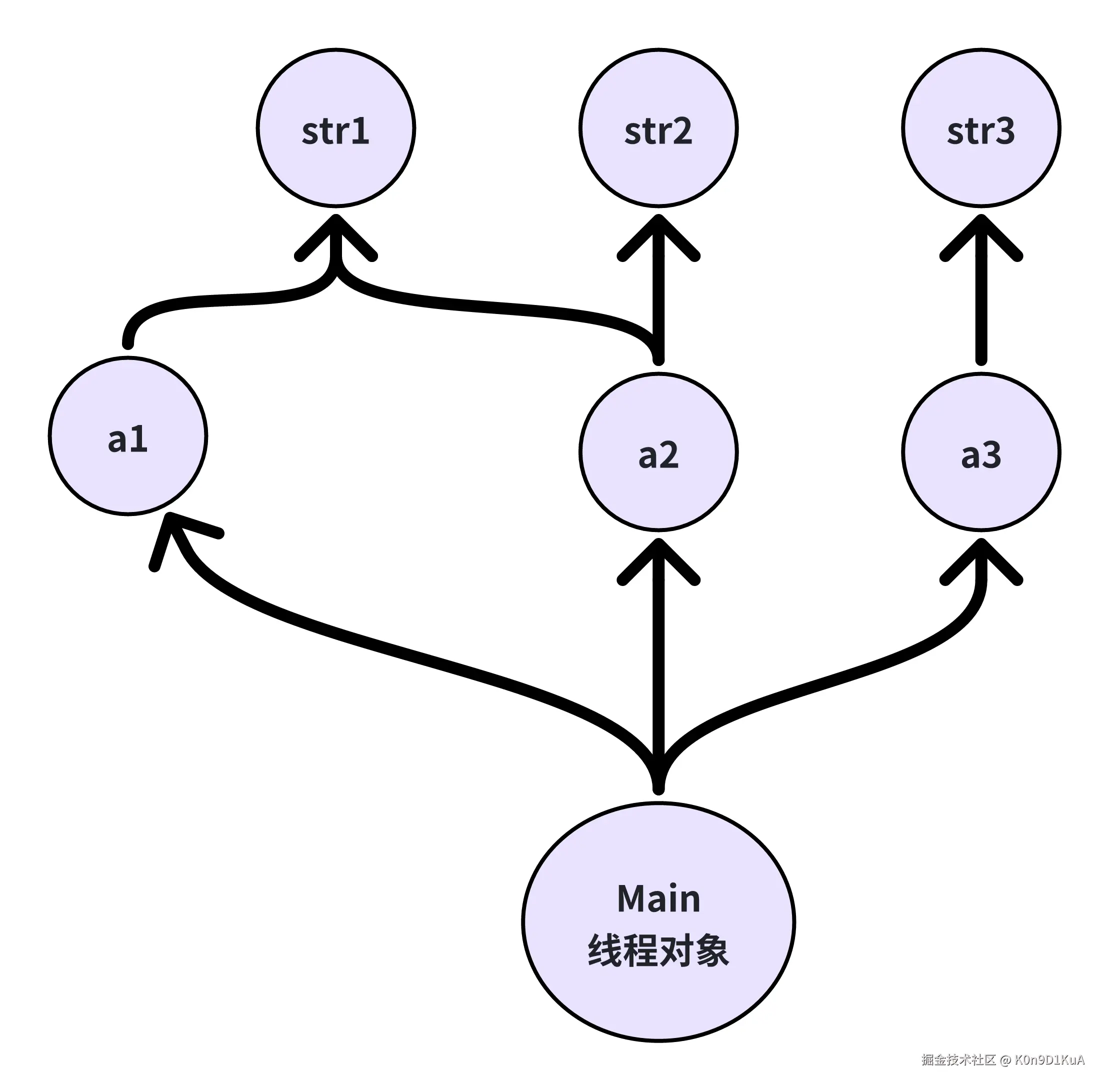
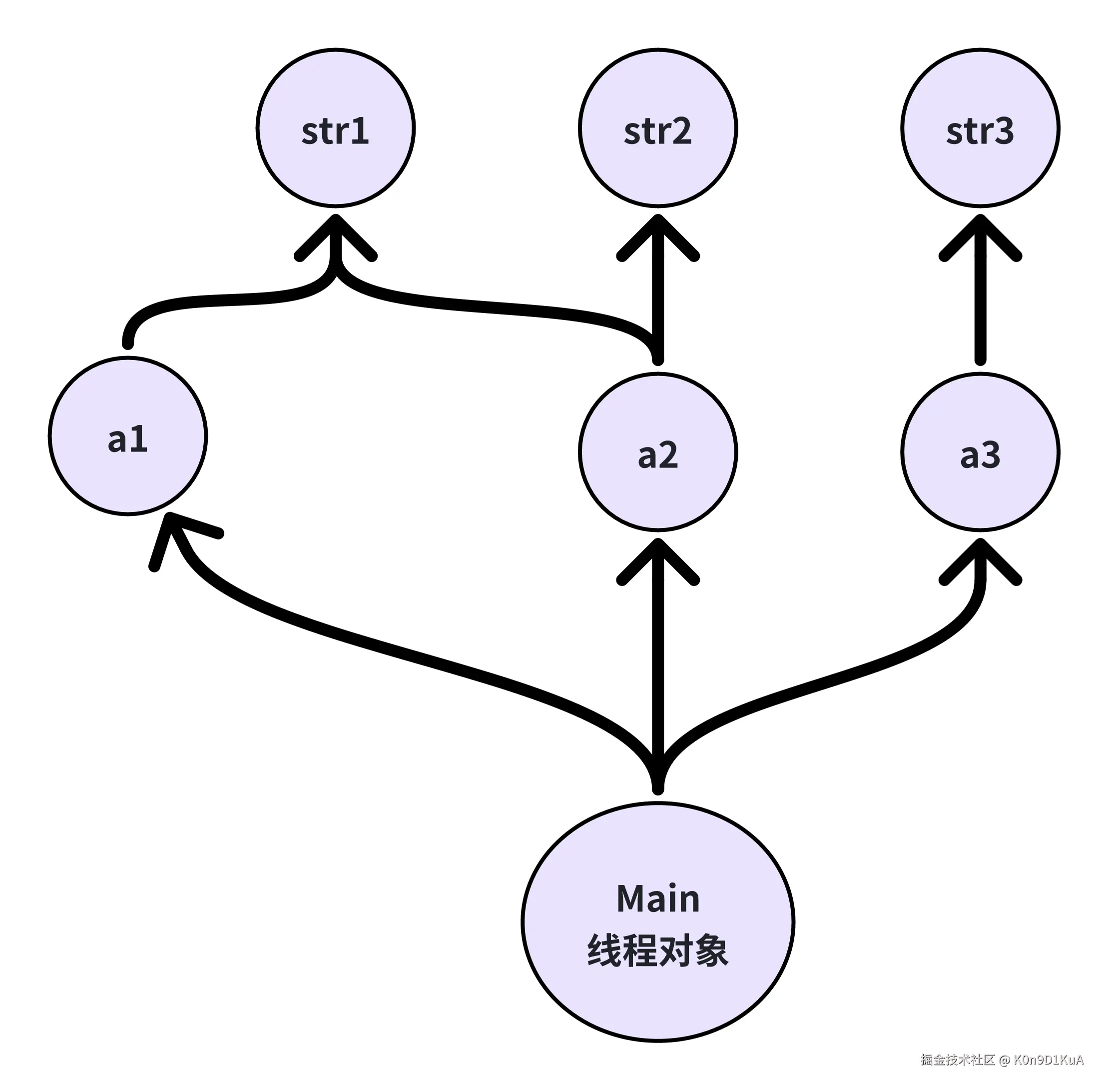
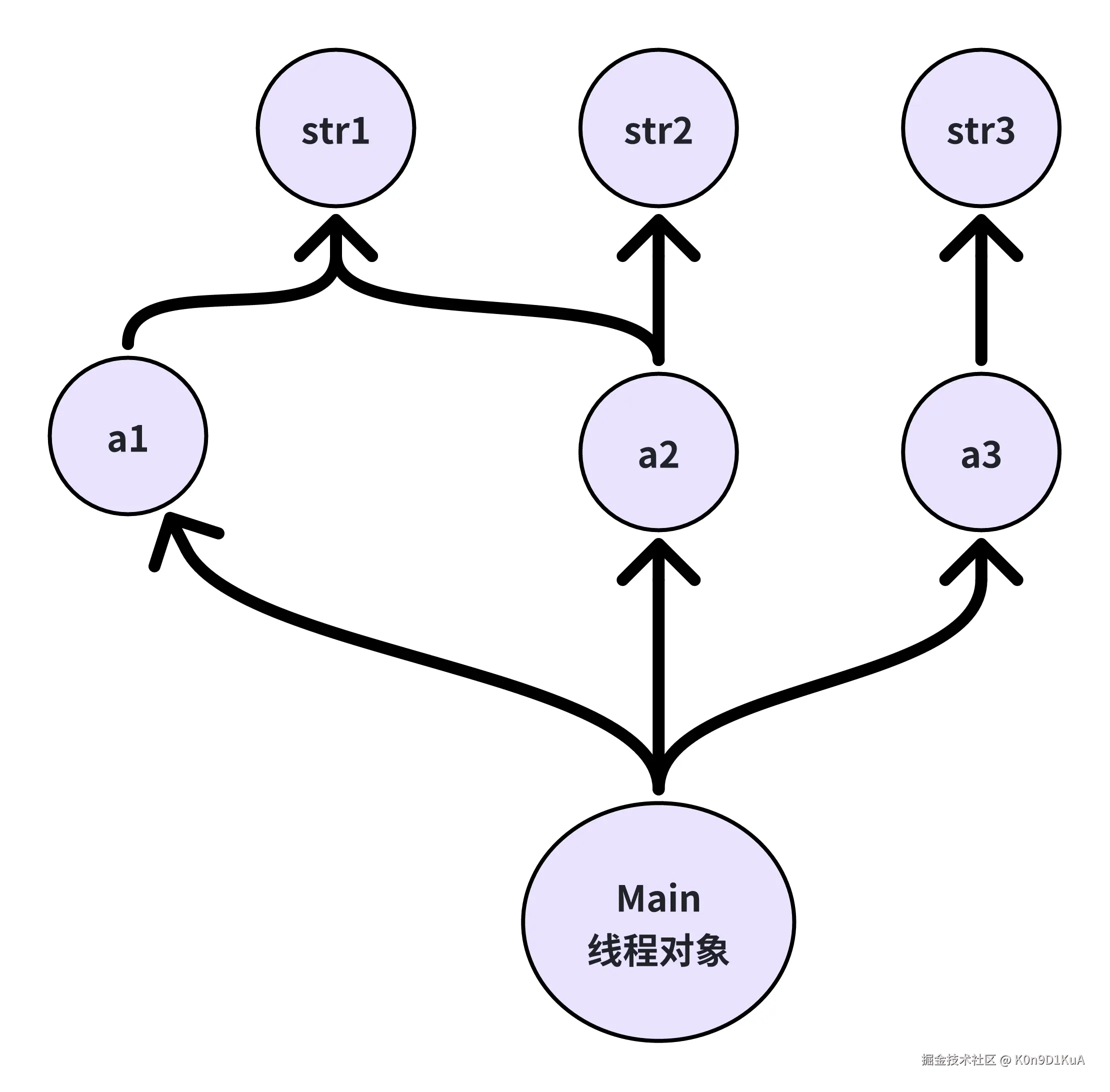
支配树:

tree.png

4. 总结

MAT就是根据支配树,从叶子节点向根节点遍历,如果发现深堆的大小超过整个堆内存的一定比例阈值,就会将其标记成内存泄漏的“嫌疑对象”