数列求和(数学)

180 阅读1分钟

等差数列求和公式:1+5+9+13+17=(1+17)*5/2=45 (首项+末项)*项数/2=(a1+an)*n/2.

image.png

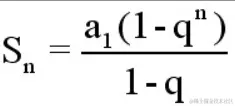
等比数列求和公式:1+3+9+27=1*(3^4-1)/(3-1)=40 首项*(公比的项数次方-1)/(公比-1)=a1*(q^n-1)/(q-1)

image.png