基于负相关误差函数的4集成BP神经网络matlab建模与仿真

58 阅读2分钟

1.算法运行效果图预览

(完整程序运行后无水印)

image.png

image.png  

2.算法运行软件版本

MATLAB2022a

 

3.部分核心程序

  `while(Index<=Max_iteration)  

  Index

  jj=1;    

  error2 = zeros(Len,KER);

  while(jj<=Len)        

    for k=1:No;

        d(k)=T(jj); 

    end

    for i=1:NI;

        x(i)=P(jj,i);

    end

    %集成多个BP神经网络

    for bpj = 1:KER     

        for j=1:Nh%BP前向           

            net=0;             

            for i=1:NI               

                net=net+x(i)*W0(i,j,bpj); %加权和∑X(i)V(i)           

            end

            y(j)=1/(1+exp(-net));              

        end

        for k=1:No            

            net=0;             

            for j=1:Nh                 

                net=net+y(j)*W(j,k,bpj);            

            end

            %输出值

            o(k)=1/(1+exp(-net));             

        end

        RRR(jj,1) = round(o);

        %%%%%%%%%%%%%%%%%%%%%%%%%%%%%%%%%%%%%%%%%%%%%%%%%%%%%%%%%%%%%%%%%%%

        errortmp=0.0;        

        for k=1:No             

            errortmp=errortmp+(d(k)-(o(k)))^2;%传统的误差计算方法

        end

        %%%%%%%%%%%%%%%%%%%%%%%%%%%%%%%%%%%%%%%%%%%%%%%%%%%%%%%%%%%%%%%%%%%

        error2(jj,bpj)=0.5*errortmp/No;        

        for k=1:No%BP反向计算         

            yitao(k)=(d(k)-o(k))o(k)(1-o(k));%偏导     

        end

        for j=1:Nh        

            tem=0.0;        

            for k=1:No            

                tem=tem+yitao(k)*W(j,k,bpj);      

            end

            yitay(j)=temy(j)(1-y(j));%偏导   

        end

        for j=1:Nh%权值更新        

            for k=1:No             

                deltaW(j,k,bpj) = Learning_Rate*yitao(k)*y(j);           

                W(j,k,bpj)      = W(j,k,bpj)+deltaW(j,k,bpj);           

            end

        end

        for i=1:NI        

            for j=1:Nh             

                deltaW0(i,j,bpj) = Learning_Rate*yitay(j)*x(i);           

                W0(i,j,bpj)      = W0(i,j,bpj)+deltaW0(i,j,bpj);            

            end

        end

    end

    jj=jj+1;

  end

  %BP训练结束    

  error = sum(mean(error2)); 

  Index = Index+1;

  ERR   = [ERR,error];

end`

 

4.算法理论概述

       基于负相关误差函数(Negative Correlation Learning, NCL)的集成学习方法应用于BP(Backpropagation)神经网络,旨在通过训练多个相互独立且在预测上具有负相关的模型,提高整体模型的泛化能力和稳定性。这种方法结合了神经网络的强大表达能力和集成学习的思想,以提高预测精度和鲁棒性。

 

       集成学习是机器学习领域的一种重要策略,它通过组合多个弱学习器来构建一个强学习器。NCL在集成学习框架下的应用,特别是与BP神经网络结合时,其核心思想是促使每个神经网络模型学习到不同的模式,从而减少整体模型之间的错误相关性。当模型间的预测错误呈现负相关时,即一个模型在某些样本上犯错时,其他模型能在这些样本上正确预测,整个集成系统的错误率会显著降低。

 

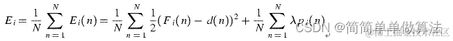
      负相关误差函数的公式:

 

image.png

 

       可知,当λ=0时,后面的惩罚项为0,相当于是网络单独训练,也就是传统的集成方式,当λ取大于0的值时为负相关集成,所以,以下对λ取值分别为0和其他值进行比较.

 

       基于负相关误差函数的集成BP神经网络,通过鼓励模型间预测的负相关性,有效提升了模型的泛化能力。