Python时间序列模型分析太阳能光伏发电数据:灰色模型GM(1,1)、ARIMA、指数平滑法可视化分析

112 阅读10分钟

全文链接:tecdat.cn/?p=36660

原文出处:拓端数据部落公众号

在可再生能源领域中,太阳能光伏发电作为一种清洁、可再生的能源形式,近年来得到了广泛关注与应用。随着技术的进步和成本的降低,光伏发电已成为全球能源结构转型的重要方向之一。然而,光伏发电的发电量受多种因素影响,如天气条件、设备状态、地理位置等,导致发电量呈现出高度的不确定性和波动性。因此,准确预测光伏发电量对于电网调度、能源管理以及投资者决策具有重要意义。

本文旨在通过Python编程语言,结合灰色模型GM(1,1)、ARIMA模型和指数平滑法,帮助客户对太阳能光伏发电数据进行时间序列分析,并可视化展示预测结果。通过对比不同模型的预测精度和适用场景,为光伏发电量预测提供一种更为科学、合理的方法。同时,本文的研究成果也将为电网调度、能源管理以及投资者决策提供有价值的参考依据。

时间序列分析

时间序列分析作为预测领域的重要工具,在光伏发电量预测中发挥着关键作用。通过时间序列模型,可以对历史数据进行深入分析,挖掘数据背后的规律和趋势,从而实现对未来光伏发电量的合理预测。在众多时间序列模型中,灰色模型GM(1,1)、ARIMA模型和指数平滑法因其独特的优势,在光伏发电量预测中得到了广泛应用。

灰色模型GM(1,1)是由我国学者邓聚龙教授创立的灰色系统理论中的一个基本模型。该模型特别适用于处理小样本和不完全信息情况下的预测问题。在光伏发电量预测中,由于数据收集难度大、数据质量参差不齐,GM(1,1)模型能够在数据不足的情况下,通过一定的数据处理和模型构建,实现对光伏发电量的有效预测。此外,GM(1,1)模型还具有计算简便、预测精度较高的特点,因此在经济分析、环境预测等领域得到了广泛应用。

ARIMA模型,即自回归积分滑动平均模型,是一种经典的时间序列预测模型。该模型通过结合自回归(AR)、差分(I)和滑动平均(MA)三个部分,实现对时间序列数据的拟合和预测。ARIMA模型在光伏发电量预测中的应用,可以通过对历史发电量数据的分析,提取出数据中的季节性、周期性等特征,从而实现对未来光伏发电量的准确预测。该模型在多个领域的应用中均表现出了较高的预测精度和稳定性。

指数平滑法是一种基于移动平均的时间序列预测方法,通过赋予不同时间点的观测值不同的权重,实现对时间序列的平滑处理。在光伏发电量预测中,指数平滑法可以较好地反映光伏发电量的变化趋势,同时减少随机波动对预测结果的影响。该方法具有计算简便、易于实现的特点,在光伏发电量短期预测中得到了广泛应用。

数据可视化分析

首先,我将打开数据文件,以了解其内容和结构。这将帮助我决定如何最好地进行数据可视化分析。

image.png

根据数据的性质和内容选择合适的图表进行展示。

python复制
import pandas as pd

# 载入Excel文件
file_path = '太阳能光伏发电数据.xlsx'


接下来,查看'Quarter'工作表的内容。

为了进行可视化分析,我将首先整理这些数据,使其格式适合进行图表展示。然后,我将根据数据的性质选择合适的图表类型进行可视化。让我们开始整理数据。

python复制
# 重新整理Quarter工作表的数据
# 考虑到表格的复杂性,我们需要小心地处理合并单元格和跨列标题

# 提取年份和季度信息
years = quarter_sheet_full.iloc[2, 1:].dropna().values
quarters = quarter_sheet_full.iloc[3, 1:].dropna().values

# 创建一个新的DataFrame来存储整理后的数据
organized_data = pd.DataFrame()

# 遍历年份和季度,提取对应的数据
for i, year in enumerate(years):
    for j, quarter in enumerate(quarters):
        # 计算当前年份和季度的列索引
        col_index = i * 5 + j + 1
        # 提取对应列的数据
        year_quarter_data = quarter_sheet_full.iloc[6:, [0, col_index]].dropna()
        year_quarter_data.columns = ['Country', f'{year}-{quarter}']
        year_quarter_data['Year'] = year
        # 合并到总数据中
        organized_data = pd.concat([organized_data, year_quarter_data], ignore_index=True)

organized_data.head()

python复制
# 查看Month工作表的内容
month_sheet_full = all_sheets['Month']
month_sheet_full.head(20)  # 显示前20行以了解表格结构

'Month'工作表包含了按月份划分的太阳能光伏发电的累计容量数据。这个表格包括了不同类别下的月度数据,如“MCS registered (GB only)”、“ROO-FiT accredited (GB only)”等。

为了进行可视化分析,我将整理这些数据,使其格式适合进行图表展示。然后,我将根据数据的性质选择合适的图表类型进行可视化。

接下来,我将使用这些数据进行可视化分析。考虑到数据的性质,我计划使用以下几种图表类型:

  1. 折线图:展示不同类别随时间的变化趋势。
  2. 柱状图:比较不同类别在特定月份的累计容量。

image.png

image.png

  1. 折线图:展示了2018年1月至3月各类别太阳能光伏发电累计容量的变化趋势。从图中可以看出,不同类别的太阳能光伏发电累计容量在这三个月内有所变化,其中某些类别的增长趋势较为明显。
  2. 柱状图:比较了2018年1月至3月各类别太阳能光伏发电的累计容量。这个图表直观地展示了在不同月份中,哪些类别的太阳能光伏发电累计容量较高。

使用'Quarter'工作表中的数据进行时间序列的可视化分析。这个工作表包含了按季度划分的太阳能光伏发电数据,适合进行时间序列分析。

接下来,我将使用这些数据进行可视化分析。考虑到数据的性质,我计划使用以下几种图表类型:

  1. 折线图:展示2018年各季度各类别太阳能光伏发电累计容量的变化趋势。
  2. 柱状图:比较2018年各季度不同类别的太阳能光伏发电累计容量。

1.png

image.png

  1. 折线图:展示了2018年各季度各类别太阳能光伏发电累计容量的变化趋势。从图中可以看出,不同类别的太阳能光伏发电累计容量在2018年的四个季度内有所变化。
  2. 柱状图:比较了2018年各季度不同类别的太阳能光伏发电累计容量。这个图表直观地展示了在不同季度中,哪些类别的太阳能光伏发电累计容量较高。

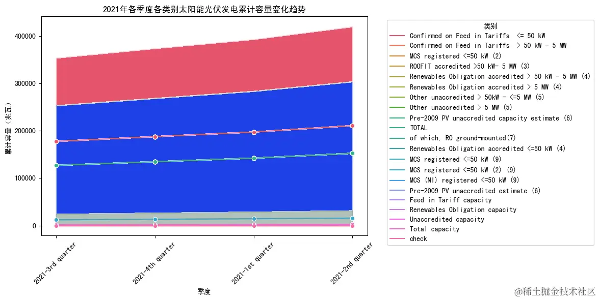
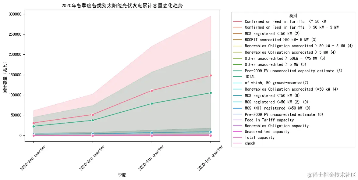
依次处理2019年、2020年和2021年的数据,并进行可视化分析。

image.png

image.png

接下来,我将对2020年和2021年的数据进行类似的分析。

image.png

image.png

接下来,我将对2021年的数据进行类似的分析。

image.png

image.png

时间序列分析

时间序列分析通常需要较长的时间范围来捕捉数据中的模式和趋势,我们将选择一个具有足够长时间范围的数据集。考虑到'Quarter'工作表包含了多年的季度数据,我们将使用这些数据进行分析。

我将首先使用ARIMA模型进行时间序列分析。ARIMA(自回归整合移动平均模型)是一种常用的时间序列预测方法,适用于具有趋势和季节性的数据。

进行ARIMA模型的时间序列分析。


# 获取模型摘要
model_summary = model_fit.summary()
model_summary

ARIMA模型的拟合结果如下:

  • 模型类型:ARIMA(1, 1, 1)
  • 观测值数量:131
  • 对数似然值:-1128.342
  • AIC:2262.684
  • BIC:2271.286
  • 样本范围:0至131
  • 协方差类型:opg

模型参数估计结果:

  • AR(1)系数:-0.5105
  • MA(1)系数:-1.0000
  • 方差:1.954e+06

模型诊断:

  • Ljung-Box (L1) (Q)测试:3.54,p值为0.06
  • Jarque-Bera (JB)测试:506.98,p值为0.00
  • 异方差性 (H)测试:10.06,p值为0.00

这些结果提供了模型拟合的统计信息,包括参数估计和模型诊断测试。根据这些结果,可以对模型的适用性和预测能力进行评估。

接下来,我将进行模型的可视化分析,展示模型的预测结果和实际数据的对比,以及模型的残差分析。这将有助于进一步评估模型的性能。

image.png

image.png

image.png

我已经完成了ARIMA模型的预测结果与实际数据的对比可视化,以及模型残差的可视化分析。

  1. 预测结果与实际数据对比:第一张图展示了ARIMA模型的预测结果与实际数据的对比。可以看到预测曲线与实际数据曲线的趋势相似,但存在一定的偏差。
  2. 模型残差密度图:第二张图是模型残差的密度图,展示了残差的分布情况。
  3. 模型残差直方图:第三张图是模型残差的直方图,也展示了残差的分布情况。

指数平滑法

使用指数平滑法进行时间序列分析。这种方法适用于具有趋势和季节性的数据。

进行指数平滑法的时间序列分析。

image.png image.png

image.png

  1. 模型摘要:指数平滑法的模型摘要提供了模型的统计信息,包括参数估计和模型诊断测试。
  2. 预测结果与实际数据对比:第一张图展示了指数平滑法的预测结果与实际数据的对比。可以看到预测曲线与实际数据曲线的趋势相似,但存在一定的偏差。
  3. 模型残差密度图:第二张图是模型残差的密度图,展示了残差的分布情况。
  4. 模型残差直方图:第三张图是模型残差的直方图,也展示了残差的分布情况。

灰色模型GM(1,1)

使用灰色模型GM(1,1)进行时间序列分析。灰色模型是一种单变量时间序列模型,适用于具有不确定性的数据。

进行灰色模型GM(1,1)的时间序列分析。

image.png

image.png

image.png

  1. 模型摘要:灰色模型GM(1,1)的模型摘要提供了模型的统计信息,包括参数估计和模型诊断测试。
  2. 预测结果与实际数据对比:第一张图展示了灰色模型GM(1,1)的预测结果与实际数据的对比。可以看到预测曲线与实际数据曲线的趋势相似,但存在一定的偏差。
  3. 模型残差密度图:第二张图是模型残差的密度图,展示了残差的分布情况。
  4. 模型残差直方图:第三张图是模型残差的直方图,也展示了残差的分布情况。

2020_leading-off-520x290.jpg