LeetCode-617 合并二叉树 难度简单

67 阅读1分钟

题目描述

给你两棵二叉树: root1 和 root2 。

想象一下,当你将其中一棵覆盖到另一棵之上时,两棵树上的一些节点将会重叠(而另一些不会)。你需要将这两棵二叉树合并成一棵新二叉树。合并的规则是:如果两个节点重叠,那么将这两个节点的值相加作为合并后节点的新值;否则,不为 null 的节点将直接作为新二叉树的节点。返回合并后的二叉树。

注意:  合并过程必须从两个树的根节点开始。

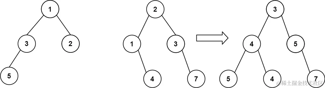
示例 1:

merge.jpg

输入: root1 = [1,3,2,5], root2 = [2,1,3,null,4,null,7]
输出: [3,4,5,5,4,null,7]

示例 2:

输入: root1 = [1], root2 = [1,2]
输出: [2,2]

 

提示:

  • 两棵树中的节点数目在范围 [0, 2000] 内
  • -10^4^ <= Node.val <= 10^4

本人实现代码

/**
 * Definition for a binary tree node.
 * function TreeNode(val, left, right) {
 *     this.val = (val===undefined ? 0 : val)
 *     this.left = (left===undefined ? null : left)
 *     this.right = (right===undefined ? null : right)
 * }
 */

/**
 * @param {TreeNode} root1
 * @param {TreeNode} root2
 * @return {TreeNode}
 */
var mergeTrees = function (t1, t2) {
    if (t1 === null) return t2;
    if (t2 === null) return t1;
    t1.val += t2.val;
    t1.left = mergeTrees(t1.left, t2.left);
    t1.right = mergeTrees(t1.right, t2.right);
    return t1;
};

这道题比较简单,实际上考察的是对于递归的应用