Deep Learning 深度学习 DAY2

105 阅读3分钟

Pytorch

1.torch语法基本学习

基本上与numpy非常相似

1.1 生成数组 image.png

1.2 shape属性

访问张量(沿每个轴的长度)的形状

image.png

1.3 统计元素个数

image.png

1.4 reshape

重新构造形状

image.png

1.5 zeros ones randn(均值为0、标准差为1的标准高斯分布(正态分布))

1.6 cat(链接数组)

1.7 索引和切片

回顾之前所学的python 线性代数 概率论 高等数学的知识

2.线性神经网络

2.1 生成数据集

def synthetic_data(w, b, num_examples):
    //"""生成y=Xw+b+噪声"""
    X = torch.normal(0, 1, (num_examples, len(w)))
    y = torch.matmul(X, w) + b
    y += torch.normal(0, 0.01, y.shape) //添加噪声
    return X, y.reshape((-1, 1)) //reshape 将y转变成列向量

true_w = torch.tensor([2, -3.4])
true_b = 4.2
features, labels = synthetic_data(true_w, true_b, 1000)

2.2 读取数据集

def data_iter(batch_size, features, labels):
    num_examples = len(features)
    indices = list(range(num_examples))
    # 这些样本是随机读取的,没有特定的顺序
    random.shuffle(indices) //打乱样本的数据
    for i in range(0, num_examples, batch_size):
        //10个样本一组
        batch_indices = torch.tensor(
            indices[i: min(i + batch_size, num_examples)])
        yield features[batch_indices], labels[batch_indices]

2.3 初始化模型

w = torch.normal(0, 0.01, size=(2,1), requires_grad=True)
b = torch.zeros(1, requires_grad=True)

2.4 定义模型

def linreg(X, w, b): 
    """线性回归模型"""
    return torch.matmul(X, w) + b

2.5 定义损失函数

def squared_loss(y_hat, y):  #@save
    """均方损失"""
    return (y_hat - y.reshape(y_hat.shape)) ** 2 / 2  //除2是为了让求导数时前面系数设置为1

2.6 定义优化算法

def sgd(params, lr, batch_size):  #@save
    """小批量随机梯度下降"""
    with torch.no_grad():
        for param in params:
            param -= lr * param.grad / batch_size //找到更好的一组w,b 让Loss尽可能地小
            param.grad.zero_()

2.7 训练

lr = 0.03
num_epochs = 3
net = linreg
loss = squared_loss

for epoch in range(num_epochs):
    for X, y in data_iter(batch_size, features, labels):
        l = loss(net(X, w, b), y)  # X和y的小批量损失
        # 因为l形状是(batch_size,1),而不是一个标量。l中的所有元素被加到一起,
        # 并以此计算关于[w,b]的梯度
        l.sum().backward()
        sgd([w, b], lr, batch_size)  # 使用参数的梯度更新参数
    with torch.no_grad():
        train_l = loss(net(features, w, b), labels)
        print(f'epoch {epoch + 1}, loss {float(train_l.mean()):f}')

以上的方法比较复杂,较为简洁的方法已在nn中实现

3.Softmax回归

多分类问题

3.1 softmax运算

image.png

softmax运算不会改变未规范化的预测𝑜之间的大小次序,只会确定分配给每个类别的概率。

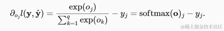
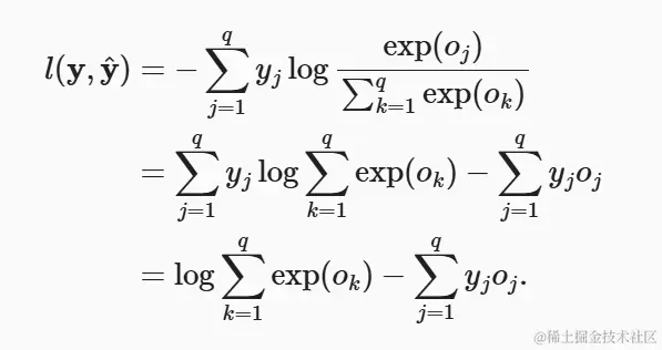
3.2 softmax及其导数

image.png

image.png

4.多层感知机

通过增加层数也就是deep 来找到更好的feature

线性模型比较单调 对数据的变化较为敏感 任何特征的增大都会导致模型输出的增大(如果对应的权重为正), 或者导致模型输出的减小(如果对应的权重为负)

通过在网络中加入一个或多个隐藏层来克服线性模型的限制, 使其能处理更普遍的函数关系类型。 要做到这一点,最简单的方法是将许多全连接层堆叠在一起。 每一层都输出到上面的层,直到生成最后的输出。 我们可以把前𝐿−1层看作表示,把最后一层看作线性预测器。 这种架构通常称为多层感知机(multilayer perceptron)。

image.png

这个多层感知机有4个输入,3个输出,其隐藏层包含5个隐藏单元。 输入层不涉及任何计算,因此使用此网络产生输出只需要实现隐藏层和输出层的计算。 因此,这个多层感知机中的层数为2。 注意,这两个层都是全连接的。 每个输入都会影响隐藏层中的每个神经元, 而隐藏层中的每个神经元又会影响输出层中的每个神经元。

4.卷积神经网络

对于高维感知数据,这种缺少结构的网络可能会变得不实用 卷积神经网络正是将空间不变性(spatial invariance)的这一概念系统化,从而基于这个模型使用较少的参数来学习有用的表示。