高斯算法的原理及其与常规求和方法的区别

410 阅读2分钟

高斯算法的原理

高斯算法的原理源于数学家卡尔·弗里德里希·高斯在他少年时期发现的一种求和方法。当时老师让学生们计算1到100的和,高斯发现了一种快速计算的方法。

高斯注意到,如果将序列的首尾两数相加,结果总是相同的。例如:

[ 1 + 100 = 101 ]
[ 2 + 99 = 101 ]
[ 3 + 98 = 101 ]
...

这样,一共有50对数,每对数的和都是101。因此,1到100的和可以表示为:

Sum = 50 × 101 = 5050

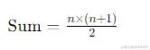
一般化,这个公式可以表示为:

01.png

其中,n 是要计算的最大整数。

常规求和方法

常规求和方法是逐个将每个数相加。这种方法非常直观,适合较小范围的整数求和。对于从1加到100的情况,代码如下:

public class 常规求和 {
    public static void main(String[] args) {
        int sum = 0;
        for (int i = 1; i <= 100; i++) {
            sum += i;
        }
        System.out.println("从1加到100的和是: " + sum);
    }
}

高斯求和算法

利用高斯算法,我们可以快速计算1到100的和,代码如下:

public class 高斯求和 {
    public static void main(String[] args) {
        int n = 100;
        int sum = n * (n + 1) / 2;
        System.out.println("使用高斯公式从1加到100的和是: " + sum);
    }
}

比较与总结

高斯算法和常规求和方法在计算效率和思维方式上有显著区别:

  1. 计算效率

    • 常规方法:时间复杂度为 O(n),即当 n 增加时,计算时间线性增加。例如,计算1到100的和需要进行100次加法操作。
    • 高斯算法:时间复杂度为 O(1),不论 n 多大,计算时间几乎不变。例如,计算1到100的和只需要一次乘法和一次除法操作。
  2. 思维方式

    • 常规方法:基于逐步累加,适合初学者理解和教学目的。代码简单直观,便于理解每一步的计算过程。
    • 高斯算法:基于数学公式,适合快速计算大范围连续整数的和。通过公式一次计算得到结果,高效简洁。

综上所述,高斯算法通过数学公式大大提高了计算效率,适用于需要快速计算连续整数和的情况,而常规求和方法则适合较小范围的和或用于教学目的。选择哪种方法取决于具体的应用场景和需求。