面试常见考题二叉树,讲解一下递归遍历和非递归(迭代)遍历树

1,244 阅读4分钟

前言

二叉树是面试官非常喜欢考察的数据结构,面试中非常常见,今天来讲解一下二叉树的遍历,深度优先。其中递归遍历方式较为简单,大家可以尝试非递归如何实现。

在数据结构中,树是一种非线性的数据结构。

  • 节点:树中的基本元素,包含数据信息。
  • 根节点:树中最顶层的节点,一棵树只有一个根节点。
  • 子节点:一个节点的直接下属节点。
  • 父节点:一个节点的直接上级节点。
  • 叶子节点:没有子节点的节点。
  • 分支:节点之间的连接关系。
  • 层次:从根节点开始计算,根节点为第一层,根节点的子节点为第二层,以此类推。
  • 树的高度:从根节点到最深叶子节点的最长路径长度(边数)。

用js表示

function TreeNode(val) {
    this.val = val;
    this.left = null;
    this.right = null;
}

二叉树

二叉树是树结构的一种特殊形式。

二叉树是每个节点最多有两个子树的树结构。这两个子树有左右之分,分别被称为左子树和右子树。

  • 节点的度不超过 2,即节点最多有两个分支。
  • 二叉树可以为空,即没有节点。
  • 左子树和右子树也是二叉树。
  • 二叉树具有有序性,即左右子树是有明确区分的。

用js表示

function TreeNode(val) {
    this.val = val;
    this.left = null;
    this.right = null;
}

// 根节点val1
const node = new TreeNode(1)

const node2 = new TreeNode(2)
const node3 = new TreeNode(3)

// 左子节点val2
node.left = node2

// 右子节点val3
node.right = node3

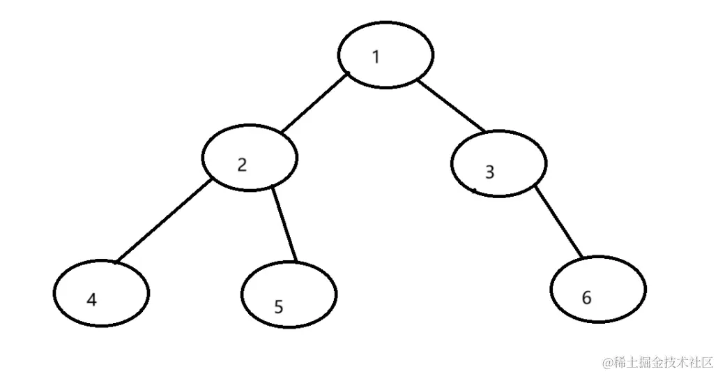
用对象来表示一个二叉树

image.png

const root = {
    val: 1,
    left: {
        val: 2,
        left: {
            val: 4,
            left: null,
            right: null
        }
        , right: {
            val: 5,
            left: null,
            right: null
        }
    },
    right: {
        val: 3,
        left: null,
        right: {
            val: 6,
            left: null,
            right: null
        }
    }
}

二叉树的遍历(深度遍历)

先序遍历(根左右)

先序遍历是二叉树的一种遍历方式,其遍历顺序是先访问根节点,再递归遍历左子树,最后递归遍历右子树。

  1. 访问根节点
  2. 递归地先序遍历左子树
  3. 递归地先序遍历右子树

先序遍历的实现

function preorder(root) {
    if (!root) return;
    console.log(root.val);

    // root.left
    preorder(root.left);
    // root.right
    preorder(root.right);
}

preorder(root)

image.png

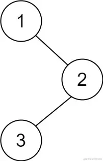
中序遍历(左根右)

其遵循的顺序是“左-根-右”,即先遍历左子树,然后访问根节点,最后遍历右子树。中序遍历常用于二叉查找树(Binary Search Tree, BST),因为它会以升序方式返回树中的元素。

  1. 递归地遍历左子树。
  2. 访问当前节点(根节点)。
  3. 递归地遍历右子树。

中序遍历的实现

function inorder(root) {
    if (!root) return;
    // root.left
    inorder(root.left);
    console.log(root.val);
    // root.right
    inorder(root.right);
}

inorder(root)

image.png

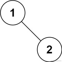
后序遍历(左右根)

其访问顺序遵循“左-右-根”的原则,即先遍历左子树,然后遍历右子树,最后访问根节点。

  1. 递归地遍历左子树。
  2. 递归地遍历右子树。
  3. 访问当前节点(根节点)

后序遍历的实现

function lastorder(root) {
    if (!root) return;
    // root.left
    lastorder(root.left);
    // root.right
    lastorder(root.right);
    console.log(root.val);
}
lastorder(root)

image.png

leetcode145实战 (后序递归遍历)

给你一棵二叉树的根节点 root ,返回其节点值的 后序遍历

 

示例 1:

输入: root = [1,null,2,3]
输出: [3,2,1]

示例 2:

输入: root = []
输出: []

示例 3:

输入: root = [1]
输出: [1]

 

提示:

  • 树中节点的数目在范围 [0, 100] 内
  • -100 <= Node.val <= 100
/**
 * @param {TreeNode} root
 * @return {number[]}
 */
var postorderTraversal = function (root) {
    const res = [];
    const afo = (root) => {
        if (!root) return;
        afo(root.left)
        afo(root.right)
        res.push(root.val)
    }
    afo(root)
    return res;
};

leetcode94实战(中序递归遍历)

给定一个二叉树的根节点 root ,返回 它的 中序 遍历 。

 

示例 1:

输入: root = [1,null,2,3]
输出: [1,3,2]

示例 2:

输入: root = []
输出: []

示例 3:

输入: root = [1]
输出: [1]

提示:

  • 树中节点数目在范围 [0, 100] 内
  • -100 <= Node.val <= 100
/**
 * @param {TreeNode} root
 * @return {number[]}
 */

var inorderTraversal = function (root) {
    const res = []
    const ino = (root) => {
        // 左 中 右
        if (!root) return;
        ino(root.left)
        res.push(root.val)
        ino(root.right)
    }
    ino(root)
    return res;
};

leetcode144实战(附前序非递归遍历)

给你二叉树的根节点 root ,返回它节点值的 前序 **遍历。 示例 1:

输入: root = [1,null,2,3]
输出: [1,2,3]

示例 2:

输入: root = []
输出: []

示例 3:

输入: root = [1]
输出: [1]

示例 4:

输入: root = [1,2]
输出: [1,2]

示例 5:

输入: root = [1,null,2]
输出: [1,2]

提示:

  • 树中节点数目在范围 [0, 100] 内
  • -100 <= Node.val <= 100

进阶: 递归算法很简单,你可以通过迭代算法完成吗?

递归:

/**
 * @param {TreeNode} root
 * @return {number[]}
 */
var preorderTraversal = function(root) {
    const res = [];
    const preo = (root)=>{
        if (!root) return;
        res.push(root.val);
        preo(root.left);
        preo(root.right);
    }
    preo(root)
    return res;
};

非递归实现方式(迭代法)

  • 前序遍历是中左右,如果用栈来存储,因为栈先进后出的特性,就需要先存右再存左
  • 排除空树的情况 leetcode.gif
/**
 * @param {TreeNode} root
 * @return {number[]}
 */
var preorderTraversal = function(root) {
    if (!root) return [];
    const res = []
    const stack = []
    stack.push(root)

    while (stack.length) {
        const cur = stack.pop()
        res.push(cur.val)
        if (cur.right) {
            stack.push(cur.right)
        }
        if (cur.left) {
            stack.push(cur.left)
        }
    }


    return res
};

小结

以上主要讲解了二叉树的深度优先遍历,先序遍历,中序遍历,后序遍历的递归以及非递归的方式做遍历。

事实上二叉树的遍历,除了深度优先遍历先中后序遍历,还有广度优先遍历层序遍历大家可以去leetcode102自行尝试。