如何应用 matrix3d 映射变幻

338 阅读7分钟

如何应用 matrix3d 映射变幻

先上 demo

记得是在 2015 看到过的一个 html5 演示效果, 很惊艳

当时没明白如何实现,现在我会了,做一个类似的:

image

又弄了一个拖动的 demo

image

我数学真的很差

“你好老师!学这个矩阵具体有什么用?”

老师喝着水貌似想了一会儿回答:“考试用”...

说真的, 这是我真实的经历

在校期间数学课上学到矩阵行列式相关的课程时,曾经问过当时的数学老师,学这个做啥用的,老师犹豫了半天给我的

答案是 “考试用”

果然.. 最后我的成绩是不及格

当然不能怪老师,我本来的数学成绩一直也是垫底的

对于我这样的学渣来说,学习不能学以致用就像玩的游戏没有及时正反馈一样的难受

我是真的很难提起兴趣去学

为啥选了前端开发这个坑呢?就是因为代码写了刷新一下浏览器就能看到效果,真实时反馈

直到工作多年以后,学到图形学相关的知识才一知半解

为啥是一知半解呢,因为知道有这个东西,也知道用在哪里,可就是不会用,至少在大部分的前端开发工作上用不到

能在网上找到的相关应用就是 css 中利用 transform 对某个元素进行 旋转,平移,缩放,倾斜等, 这些基础应用都被讲烂了

就像这样:

.box {
    transform-origin:0 0;
    transform: rotate(10deg) translateX(30px)  scale(1.1, 1.1) skew(3deg, 3deg);
}

image

transform 后:

image

但你应该明白它最终是以矩阵形式表达的,八股文中有没有要背的我不知道,毕竟这些知识很多人已经讲过了。当然如果你这都不知道,可能八股还得再八股一下

通过火狐的开发者工具查看 computed 面板中可以看到其实转换成了对应的 matrix

image

结果 matrix:

image

线性变幻 linear transform 包括以下几种

  1. scale 缩放
  2. rotate 旋转
  3. skew 斜切
  4. translate 平移

用矩阵形式表达如下图示:

image

image

这些都可以组合在一起形成 单个 matrix 矩阵实现变幻,

这在之前的我的 "EaselJS 源码分析系列--第二篇" 中有提到过,宽高,旋转,斜切,转换成 matrix 后一次变幻到位

那么它到底是怎么应用 matrix 变幻的呢?

拿上面的例子举例: 实质是对绿色 box 四个坐标 (0,0)、(200,0)、(0,200)、(200,200) 分别点乘了 (Dot product) matrix 矩阵:

matrix(1.07328, 0.247786, -0.13424, 1.0933, 29.5442, 5.20945)

得到新坐标:

(29,5), (244.2002, 54.76665), (2.6962, 223.86945), (217, 273)

image

怎么点乘?

说到点乘简单复习一下大学数学基础知识(看看就行了,你不需要自己算)

2 · 2

image

3 · 3

image

虽然你不用自己算,但 matrix 函数参数得搞明白

注意函数 matrix 参数 a, b, c, d, tx, ty 对应的位置:

matrix(a, b, c, d, tx, ty) 

image

手动计算是不可能的我们可以使用 numeric.js 数学库用于点乘计算:

// 在 numeric.dot 中的位置
numeric.dot([
    [a, c, tx],
    [b, d ty],
    [0, 0, 1]
]
, [0, 0, 1]
)

这是上面四个坐标的计算:

// matrix(1.07328, 0.247786, -0.13424, 1.0933, 29.5442, 5.20945);
// 位置 (0, 0)
const pos1 = numeric.dot([
    [1.07328, -0.13424, 29.5442],
    [0.247786, 1.0933, 5.20945],
    [0, 0, 1]]
    , [0, 0, 1])

// 位置 (200 ,0 )
const pos2 = numeric.dot([
    [1.07328, -0.13424, 29.5442],
    [0.247786, 1.0933, 5.20945],
    [0, 0, 1]]
    , [200, 0, 1])

// 位置 (0, 200) 
const pos3 = numeric.dot([
    [1.07328, -0.13424, 29.5442],
    [0.247786, 1.0933, 5.20945],
    [0, 0, 1]]
    , [0, 200, 1])

// 位置 (200, 200) 
const pos4 = numeric.dot([
    [1.07328, -0.13424, 29.5442],
    [0.247786, 1.0933, 5.20945],
    [0, 0, 1]]
    , [200, 200, 1])

console.log(pos1, pos2, pos3, pos4)

// (29,5), (244.2002, 54.76665), (2.6962, 223.86945), (217, 273)

讲了这么多,虽然看起来很厉害,但这又有什么卵用呢?

再仔细想想,想要仿射变换直接使用 matrix 是符合直觉的

旧坐标 · matrix = 新坐标

所以想要自由就得用到 matrix

“仿射变换”的理论基础

先要进行亿点点线性代数运算

我们现在给四个角(坐标点)对应编号(“旧坐标”):

(x1,y1), (x2,y2) , (x3,y3) , (x4,y4)

目的是将它们映射(变幻)到对应的(“新坐标”):

(u1,v1), (u2,v2) , (u3,v3) , (u4,v4)

即将坐标 (xi, yi) 映射到 (ui, vi)

坐标 (x, y) 被表示为 (kx, ky, k), k 不为 0

在齐次坐标中 (3,2,1) 和 (6,4,2) 都可以表示 (3,2)

image

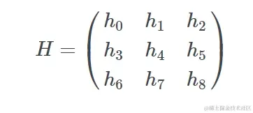
于是我们要求得转置矩阵 H 要满足上面等式中所有已知的角 (xi, yi), (ui, vi)

image

满足 H 的值不是唯一的,举例,给 H 缩放乘以一个常数,结果矩阵依然会映射对应的点(右侧的 ki 也是一样的)

为了简化问题设假定将两边都缩放直到 h8 为 1 (简化问题计算)

然后将乘数乘进去

image

现在将第3行等式代入前两行把 ki 去掉先

image

记住我们要解决的是 hi 所以我们应该尝试先把它们分开来

image

两个等式中 h0..h7 空出缺少的部分用 0 填充 (为何要填充:H 等于 ki 若要等式相等则 H 必须是 h0..h7 完整)

将 h 提出来来,用矩形形式表示就是:

image

由于我们要表示的是四个坐标点的映射,所以我们可以写成这样:

image

至此已经可以了,就是一个 Ah=b 的问题(即矩阵中常见的 Ax=b),可以用线性代数库(比如:numeric.js 的 numeric.solve)来求解 h ,解得的 h 对应的 hi 用于 transform 形变矩阵

image

最后一个小问题,就是 Matrix3d 需要的是 4x4 的矩阵,我们从开始就忽略掉了 z 轴值(由于四个点都在同一个平面,所以 z = 0), 所以把 z 重新映射回矩阵

matrix3d(a, b, 0, 0, c, d, 0, 0, 0, 0, 1, 0, tx, ty, 0, 1)

image

image

这就是最后用于 css 上的 matrix3d 的矩阵

将其应用到 HTML/Javascript 内

创建一个 id 为 box 的 div 作为变化源

创建一个 id 为 targetBox 的 div 作为目标

  1. 创建一个 getPoints 用于获取四个点坐标

    ... 省略获取 targetBox,box 的代码
    
    function getPoints(element){
         const rect = element.getBoundingClientRect();
         return [
             [rect.left, rect.top],
             [rect.left, rect.bottom],
             [rect.right, rect.top],
             [rect.right, rect.bottom],
         ];
     }
    
     const target = getPoints(targetBox)
     const origin = getPoints(box)
    
  2. 分别转换成相对坐标点

    function getFromPoints(points){
     // 映射前四个点相对坐标 
     const result = [];
     const len = points.length;
     for (let k = 0; k < len; k++) {
         let p = points[k];
         result.push({
         x: p[0] - points[0][0],
         y: p[1] - points[0][1]
         });
     }
     /**
         result 
         [
         {x1, y1},
         {x2, y2},
         {x3, y3},
         {x4, y4},
         ]
     */
     return result;
     }
     function getToPoints(origin, target){
         // 映射后四个点相对坐标 
         const result = [];
         for (let k = 0, len = target.length; k < len; k++) {
             p = target[k];
             result.push({
             x: p[0] - origin[0][0],
             y: p[1] - origin[0][1]
             });
         }
         return result;
     }
    
     const from = getFromPoints(origin);
     const to = getToPoints(origin, target);
    
  3. 通过 from 与 to 获取 H

    function getTransform(from, to) {
         var A, H, b, h;
         A = []; // 8x8
         // 四个点的坐标
         for (let i =0 ; i < 4; i++) {
           A.push([from[i].x, from[i].y, 1, 0, 0, 0, -from[i].x * to[i].x, -from[i].y * to[i].x]);
           A.push([0, 0, 0, from[i].x, from[i].y, 1, -from[i].x * to[i].y, -from[i].y * to[i].y]);
         }
         b = []; // 8x1
         for (let i = 0; i < 4; i++) {
           b.push(to[i].x);
           b.push(to[i].y);
         }
         // Solve A * h = b for h
         // 即矩阵中常见的 Ax=b
         // numeric.solve eg:
         // IN> numeric.solve([[1,2],[3,4]],[17,39])
         // OUT> [5,6]
         // https://ccc-js.github.io/numeric2/documentation.html
         h = numeric.solve(A, b);
    
         /**
           解得: h matrix
           [
             h0, h1, 0 h2
             h3, h4, 0 h5
             0,  0, 0, 1
             h6, h7, 0 h8
           ]
         */
         H = [           [h[0], h[1], 0, h[2]],
               [h[3], h[4], 0, h[5]],
               [0, 0, 1, 0],
               [h[6], h[7], 0, 1]
             ];
         return H;
     };
    
     const H = getTransform(from, to);
    
  4. 生成 css 值应用到 div 上

    function getMatrixCSSParameters(H){
         // 获取 css matrix3d(a, b, 0, 0, c, d, 0, 0, 0, 0, 1, 0, tx, ty, 0, 1) 参数
         const result = [];
         for (let i =0; i < 4; i++) {
             const  result1 = [];
             for (let j = 0; j < 4; j++) {
             result1.push(H[j][i].toFixed(20));
             }
             result.push(result1);
         }
         return result.join(',');
     }
    
     div.style.transform = `matrix3d(${getMatrixCSSParameters(H)})`;
    

走了一大圈,现在终于可以实现“仿射变换”了

用上面的代码实现 demo

demo 1 matrix3d 动画变化

github.com/willian1234…

demo 2 matrix3d 四角拖动变化

github.com/willian1234…

直接使用现成的库

我们碰到的问题大概率编程的前辈们都碰到过了

通过搜索后发现“仿射变换” 在 opencv 中有现成的函数

const H = cv.getPerspectiveTransform(from, to);

然后就 github 上找了一下,果然是有人实现了

然后用它提供的函数实现一遍 demo2

github.com/willian1234…


参考资料

developer.mozilla.org/zh-CN/docs/…

angrytools.com/css-generat…

franklinta.com/2014/09/08/…

docs.opencv.org/2.4/modules…

www.zweigmedia.com/RealWorld/t…

ccc-js.github.io/numeric2/

github.com/fccm/getPer…


注:转载请注明出处王二狗Sheldon池中物 (willian12345@126.com)