086. 分隔链表

58 阅读2分钟

题目链接

一、题目描述

1. 题目

给你一个链表的头节点 head 和一个特定值 x ,请你对链表进行分隔,使得所有 小于 x 的节点都出现在 大于或等于 x 的节点之前。你应当保留两个分区中每个节点的初始相对位置

2. 示例

image.png

示例 1:

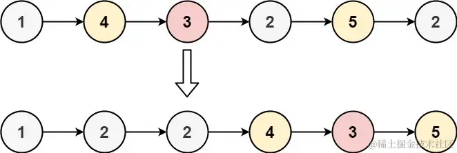
输入:head = [1,4,3,2,5,2], x = 3

输出:[1,2,2,4,3,5]

示例 2:

输入:head = [2,1], x = 2

输出:[1,2]

3. 提示

  • 链表中节点的数目在范围[0, 200]
  • -100 <= Node.val <= 100
  • -200 <= x <= 200

二、代码实现

1. 迭代

1.1 解题思路

这个题不是很难,只要理解题意加上构造两个子链即可完成,链表而不是数组,构建子链不增加空间复杂度。勇敢地构造子链,无需考虑节点交换。

图解如下:

image.png

通过图解,可以了解迭代的大致流程,但是我们在 Java 代码实现时,还需要维护两个对应的指针,用来调整它的 next 指针。

为什么需要这个指针而不是直接使用构造的节点呢?原因是我们在不断的遍历中,指针会不断的下移,当我们合并完成所有的节点时,此时的指针是在最后,这时我们在获取合并后的链表就比较麻烦了。

而用指针代替节点去进行 next 指针的移动,当返回链表时,只需返回节点的 next 即可。

**为什么指针节点增加后,节点链表也会变动呢?**这涉及到引用问题,这里直接引用拷贝的是堆中的内存地址,也就是说指针和对应节点就是一个对象,详情见我的另一篇文章《深拷贝和浅拷贝》

还有一个注意事项,遍历结束后,我们将 large 的 next 指针置空,这是因为当前节点复用的是原链表的节点,而其 next 指针可能指向一个小于 x 的节点,我们需要切断这个引用,否则可能会出现环链表。

image.png

代码实现如下:

class Solution {
    public ListNode partition(ListNode head, int x) {
        //构造两个子链表
        ListNode small = new ListNode(-1);
        ListNode large = new ListNode(-1);

        //构造子链表对应的指针,方便
        ListNode smallPointer = small;
        ListNode largePointer = large;

        while(head != null){
            if(head.val < x){
                smallPointer.next = head;	//追加节点
                smallPointer = smallPointer.next;	//指针后移
            }else{
                largePointer.next = head;	//追加节点
                largePointer = largePointer.next;	//指针后移
            }
            head = head.next;	//指针后移
        }

        //当前节点复用的是原链表的节点,很可能后面还指向一个小于x的节点
        largePointer.next = null;	
        smallPointer.next = large.next;		//链表拼接
        return small.next;
    }
}

1.2 复杂度分析

时间复杂度O(n),其中 n 是链表的长度,需要遍历链表一次。
空间复杂度O(1),定义的变量使用的常数大小空间。