力扣-94.二叉树的中序遍历

34 阅读1分钟

给定一个二叉树的根节点 root ,返回 它的 中序 遍历 。

示例 1:

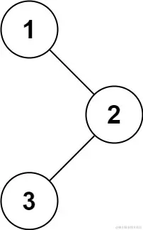
输入: root = [1,null,2,3]
输出: [1,3,2]

示例 2:

输入: root = []
输出: []

示例 3:

输入: root = [1]
输出: [1]

递归

ArrayList<Integer> list = new ArrayList<>();
    public List<Integer> inorderTraversal(TreeNode root) {
        if (root == null)
            return new ArrayList<>();
        if (root.left != null)
            inorderTraversal(root.left); 
        list.add(root.val);
        if (root.right != null)
            inorderTraversal(root.right);
        return list;
    }

迭代

public List<Integer> inorderTraversal(TreeNode root) {
        List<Integer> res = new ArrayList<Integer>();
        Deque<TreeNode> stk = new LinkedList<TreeNode>();//栈
        while (root != null || !stk.isEmpty()) {
            while (root != null) {
                stk.push(root);
                root = root.left;
            }
            root = stk.pop();
            res.add(root.val);
            root = root.right;
        }
        return res;
    }